|
Wyjście Spis treści Wstecz Dalej
Autor artykułu |
©2026 mgr Jerzy Wałaszek
|
Filtr (ang. filter) jest obwodem, który przepuszcza jedne częstotliwości sygnału, a tłumi inne:

W ten sposób filtr może wydobyć z sygnału pożądane częstotliwości, a usunąć inne, których nie chcemy.
Sygnał sinusoidalny będziemy nazywali sygnałem prostym:

Sygnał złożony jest sumą sygnałów prostych. Załóżmy, iż mamy trzy sygnały proste kolejno o częstotliwościach f, 2f i 4f. Sygnał będący ich sumą posiada następujący przebieg:

Sygnały sinusoidalne sf, s2f i s4f nazywamy sygnałami składowymi sygnału s. Jeśli częstotliwości sygnałów składowych są wielokrotnościami częstotliwości podstawowej, to nazywamy te sygnały harmonicznymi:
Harmoniczne parzyste posiadają parzyste wielokrotności częstotliwości podstawowej: 2f, 4f, 6f, ...
Harmoniczne nieparzyste posiadają nieparzyste wielokrotności częstotliwości podstawowej: 1f, 3f, 5f, ...
Odwiedź tę witrynę:
Filtry pozwalają wzmacniać lub tłumić określone harmoniczne sygnału złożonego. Z tego powodu filtry dzielimy na kilka podstawowych rodzajów, co obrazowo przedstawione jest poniżej:

Filtr dolnoprzepustowy przepuszcza składowe o częstotliwościach niższych od częstotliwości granicznej (ang. cut-off frequency), a tłumi składowe o częstotliwościach powyżej częstotliwości granicznej.

Filtr górnoprzepustowy przepuszcza składowe o częstotliwościach wyższych od częstotliwości granicznej, a tłumi składowe o częstotliwościach poniżej częstotliwości granicznej.

Filtr środkowoprzepustowy przepuszcza składowe o częstotliwościach leżących w pobliżu częstotliwości granicznej, a tłumi składowe o częstotliwościach poniżej i powyżej częstotliwości granicznej. Filtry takie nazywamy również filtrami pasmowoprzepustowymi lub filtrami pasmowymi, ponieważ przepuszczają pewne pasmo częstotliwości, tłumiąc pozostałe.

Filtr środkowozaporowy tłumi składowe o częstotliwościach leżących w pobliżu częstotliwości granicznej, a przepuszcza składowe o częstotliwościach poniżej i powyżej częstotliwości granicznej. Filtry takie nazywamy również filtrami pasmowozaporowymi, ponieważ tłumią pewne pasmo częstotliwości, przepuszczając pozostałe.
Oprócz powyższego podziału filtrów, filtry dzielimy również w zależności od rodzaju użytych elementów lub metody filtrowania:
Filtry pasywne (ang. passive filters) są filtrami zbudowanymi tylko z elementów pasywnych takich jak oporniki, kondensatory i cewki.
Filtry aktywne (ang. active filters) oprócz elementów pasywnych (oporniki, kondensatory, cewki) posiadają również elementy aktywne (tranzystory, wzmacniacze operacyjne).
Filtry analogowe (ang. analog filters) są to filtry pasywne lub aktywne, które przetwarzają sygnały analogowe.
Filtry cyfrowe (ang. digital filters) przetwarzają sygnały cyfrowe, dyskretne.
Filtry tworzą bardzo obszerną gałąź elektroniki. Tutaj zajmiemy się tylko niektórymi typami filtrów oraz niektórymi ich parametrami. Więcej na ten temat znajdziesz w podręcznikach do elektroniki.
Aby dobrze zrozumieć poruszane tutaj zagadnienia, przeczytaj w sekcji teoretycznej rozdziały:
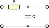
Rozważmy następujący obwód:

Składa się on z opornika R oraz z kondensatora C.
Przyłóżmy do wejścia napięcie przemienne, sinusoidalne (bez harmonicznych) o pewnej częstotliwości f :

Pod wpływem przyłożonego napięcia:

w obwodzie popłynie prąd i

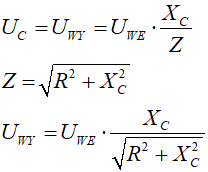
Napięcie wyjściowe jest równe napięciu na kondensatorze. Dla ułatwienia obliczeń załóżmy, iż z wyjścia nie jest pobierany żaden prąd.
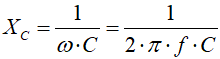
W obwodzie prądu przemiennego kondensator posiada reaktancję pojemnościową, która jest odpowiednikiem oporności dla prądu stałego. Reaktancja kondensatora wyraża się wzorem:

| XC | – reaktancja pojemnościowa kondensatora |
| ω | – pulsacja |
| C | – pojemność kondensatora |
| f | – częstotliwość napięcia |
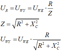
Zwróć uwagę, że reaktancja pojemnościowa zależy od częstotliwości napięcia zasilającego. Dla dużych częstotliwości reaktancja jest mała, przy małych częstotliwościach reaktancja jest duża. Kondensator wraz z opornikiem tworzą tutaj dzielnik napięcia. Przy dużej reaktancji (niska częstotliwość) napięcie na wyjściu jest wysokie, przy małej reaktancji (wysoka częstotliwość) napięcie wyjściowe jest niskie. Otrzymujemy filtr dolnoprzepustowy (ang. low-band filter).
Wykorzystując wzór dla oporowego dzielnika napięcia:


możemy przez analogię zapisać:

| UC | – napięcie na kondensatorze |
| UWY | – napięcie na wyjściu filtra |
| UWE | – napięcie na wejściu filtra |
| XC | – reaktancja pojemnościowa kondensatora |
| Z | – impedancja filtra |
| R | – oporność opornika |
Przykład:
Obliczyć napięcie na wyjściu filtra dolnoprzepustowego w następujących warunkach:| R = 1kΩ C = 47nF UWE = 5V, sinusoidalne bez harmonicznych f = 100Hz; 1kHz, 1MHz. |
Obliczamy reaktancje pojemnościowe dla poszczególnych częstotliwości:

Obliczamy impedancje filtru dla poszczególnych częstotliwości:

Obliczamy napięcia wyjściowe dla poszczególnych częstotliwości:

Wzór:

Posłuży nam teraz do wykonania wykresu napięcia wyjściowego w funkcji częstotliwości. Parametry są następujące:
| R = 1kΩ C = 47nF UWE = 5V f = 1Hz...10MHz |
Wykres wykonamy w Excelu:

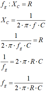
Za częstotliwość graniczną przyjmijmy częstotliwość, dla której wartość reaktancji pojemnościowej XC jest równa oporności R:

Dla powyższego przykładu częstotliwość graniczna wynosi:

Sygnały o częstotliwościach niższych od fg są przepuszczane przez filtr z niewielkim tłumieniem, sygnały o częstotliwościach powyżej fg są tłumione.
Jeśli we filtrze dolnoprzepustowym zamienimy miejscami opornik z kondensatorem, to otrzymamy filtr górnoprzepustowy (ang. high-pass filter):

Filtr ten również możemy potraktować jako dzielnik napięcia. Napięcie wyjściowe jest równe spadkowi napięcia na oporniku R:


| UR | – napięcie na oporniku |
| UWY | – napięcie na wyjściu filtra |
| UWE | – napięcie na wejściu filtra |
| Z | – impedancja filtra |
| R | – oporność opornika |
| XC | – reaktancja pojemnościowa kondensatora |
Przykład:
Obliczyć napięcie na wyjściu filtra górnoprzepustowego w następujących warunkach:| R = 1kΩ C = 47nF UWE = 5V, sinusoidalne bez harmonicznych f = 100Hz; 1kHz, 1MHz. |
Obliczamy reaktancje pojemnościowe dla poszczególnych częstotliwości:

Obliczamy impedancje filtru dla poszczególnych częstotliwości:

Obliczamy napięcia wyjściowe dla poszczególnych częstotliwości:

Wykres napięcia wyjściowego w zakresie częstotliwości 1Hz...1MHz jest następujący (R,C i UWE jak w przykładzie):

Częstotliwość graniczną filtra obliczamy takim samym wzorem jak w filtrze dolnoprzepustowym:

Dla naszego przykładu częstotliwość graniczna wynosi:

Sygnały o częstotliwościach mniejszych od fg są tłumione, a sygnały o częstotliwościach większych od fg są przepuszczane
Filtr środkowoprzepustowy (ang. band-pass filter) można zbudować z dwóch filtrów: górnoprzepustowego i dolnoprzepustowego, połączonych szeregowo:

Sygnał wyjściowy z pierwszego filtra trafia na wejście drugiego. W efekcie przepuszczane są częstotliwości, które jednocześnie przepuszczają oba filtry, tłumione są te, które tłumi jeden z filtrów.

Częstotliwości graniczne powinny być tak dobrane, aby

Filtr środkowoprzepustowy przenosi częstotliwości od fg1 do fg2, a tłumi pozostałe.
Częstotliwości przenoszone przez filtr nazywamy pasmem przenoszenia. Częstotliwość środkową pasma przenoszenia obliczamy jako średnią geometryczną częstotliwości granicznych:

Jest to częstotliwość najmniej tłumiona przez filtr.
Przykład:
Wyznaczyć wartości pojemności kondensatorów w filtrze środkowoprzepustowym, w którym oporniki posiadają oporność 10kΩ, a pasmo przenoszenia jest od 1kHz do 100kHz.Mamy:
| R1 = R2 = 10kΩ fg1 = 1kHz fg2 = 100kHz |

Filtr środkowozaporowy (ang. band-stop filter) można zbudować z dwóch filtrów, dolno- i górnoprzepustowego, połączonych równolegle:

Przepuszczane są częstotliwości, które przepuszcza jeden z filtrów, a tłumione są te, które tłumią oba filtry jednocześnie.

Częstotliwości graniczne powinny spełniać warunek:

Filtr środkowozaporowy tłumi częstotliwości od fg2 do fg1, a przenosi pozostałe.
Częstotliwości tłumione przez filtr nazywamy pasmem tłumienia (ang. band stop). Częstotliwość środkową pasma tłumienia obliczamy jako średnią geometryczną częstotliwości granicznych:

Przedstawione wcześniej filtry nazywamy filtrami pasywnymi pierwszego rzędu (ang. first order passive filters). Jeśli dwa filtry pierwszego rzędu połączymy ze sobą szeregowo, to powstanie filtr drugiego rzędu (ang. second order filter).

Cechą charakterystyczną takiego filtra jest bardziej strome nachylenie zboczy na charakterystykach przenoszenia:

Obliczenia w filtrach wyższych rzędów są dosyć skomplikowane, ponieważ stopnie oddziałują na siebie (na przykład nie możemy tutaj założyć, iż prąd wyjściowy z pierwszego stopnia jest zerowy). Bez dobrego narzędzia typu MathCAD tutaj raczej się nie obejdzie.
Częstotliwość graniczna filtra drugiego rzędu obliczana jest wg wzoru:

Gdzie R1, C1 są elementami pierwszego stopnia, a R2, C2 są elementami stopnia drugiego.
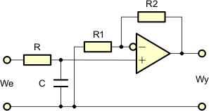
Filtry pasywne posiadają kilka wad. Tłumią sygnał i są wrażliwe na obciążenie, które wpływa na parametry filtra. Dlatego stosuje się w filtrach wzmacniacze tranzystorowe lub operacyjne, które poprawiają parametry wyjściowe. Rozważmy następujący układ:

Układ składa się z filtra dolnoprzepustowego, do wyjścia którego podłączony jest wzmacniacz operacyjny pracujący w układzie wtórnika napięciowego. Wtórnik napięciowy ma wzmocnienie równe 1 i na wyjściu wzmacniacza panuje takie samo napięcie, jak na wejściu nieodwracającym (+). Wzmacniacz operacyjny praktycznie nie pobiera żadnego prądu z wyjścia filtra, dzięki czemu obciążenie na wyjściu układu nie oddziałuje na wyjście filtra.
Jeśli potrzebujemy wzmocnić sygnał wyjściowy z filtra, to stosujemy wzmacniacz nieodwracający:

Układ taki wzmacnia napięcie wyjściowe filtra. Współczynnik wzmocnienia zależy od oporników R1 i R2:

![]() |
Zespół Przedmiotowy Chemii-Fizyki-Informatyki w I Liceum Ogólnokształcącym im. Kazimierza Brodzińskiego w Tarnowie ul. Piłsudskiego 4 ©2026 mgr Jerzy Wałaszek |
Materiały tylko do użytku dydaktycznego. Ich kopiowanie i powielanie jest dozwolone pod warunkiem podania źródła oraz niepobierania za to pieniędzy.
Pytania proszę przesyłać na adres email:
Serwis wykorzystuje pliki cookies. Jeśli nie chcesz ich otrzymywać, zablokuj je w swojej przeglądarce.
Informacje dodatkowe.