|
Wyjście Spis treści Wstecz Dalej
Autor artykułu |
©2026 mgr Jerzy Wałaszek
|
Czujnik (ang. sensor) jest elementem, który przetwarza określoną wielkość fizyczną w wielkość elektryczną, np. w napięcie, prąd, opór, itp. W ten sposób dana wielkość może zostać odczytana przez układ elektroniczny. Czujniki wykorzystuje się w robotyce, układach zabezpieczających oraz w wielu innych urządzeniach. Np. w telefonach komórkowych montowane są czujniki położenia, które reagują na wychylenia telefonu, np. w celu przełączania ekranu z trybu pionowego w poziomy.
![]() |
![]() |
![]() |
Czujnik dotyku (ang. touch sensor) pozwala wykryć dotknięcie palcem.
Czujniki takie mogą być
stosowane w zastępstwie przycisków. Zwykle buduje się je na bazie specjalizowanego
układu scalonego

Układ czujnika posiada trzy wyprowadzenia:
| GND | – | masa |
| VCC | – | zasilanie 5V |
| SIG | – | wyjście. |
Gdy pole dotykowe nie jest dotykane palcem, na wyjściu SIG
panuje stan niski, około 0,3VCC. Gdy pole zostanie dotknięte,
Zasada działania opiera się na zmianie pojemności pola dotykowego pod wpływem dotknięcia go palcem. Powoduje to zmianę częstotliwości generatora w układzie sterującym, która jest wykrywana i układ odpowiednio wysterowuje wyjście SIG. Czułość można regulować pojemnością kondensatora C1 – im mniejsza ta pojemność tym większa czułość na dotyk.
Czujnik nie posiada części mechanicznych, nie wymaga żadnego nacisku, wystarcza sam dotyk.
Koszt czujnika wynosi
Prosty czujnik dotykowy możesz wykonać we własnym zakresie z dwóch tranzystorów npn, np. BC547 lub 2N2222:

Dwa tranzystory tworzą
wzmacniacz prądowy. Wzmocnienie
wzmacniacza jest równe iloczynowi wzmocnień poszczególnych
tranzystorów (około 200 x 200 = 40000).
Dotknięcie palcem pól stykowych powoduje ich zwarcie poprzez
skórę. Przez bazę pierwszego tranzystora popłynie prąd, który
odblokuje tranzystor,
Czujnik światła (ang. light sensor) reaguje na światło. Wykonuje się go wykorzystując element foto-elektryczny, np. fotorezystor/fotoopornik (ang. photoresistor):

Światło składa się z cząstek zwanych fotonami. Fotorezystor wykonany jest z materiału, który zmienia swoją oporność elektryczną pod wpływem oświetlenia. Oporność zależy od ilości elektronów (lub innych ruchomych nośników ładunków) w materiale. Fotony uderzając w atomy materiału powodują wybijanie z nich elektronów, dlatego przy oświetleniu maleje oporność.
Dokładne dane techniczne fotooporników znajdziesz w materiałach producentów, które są dostępne w sieci.
Na schematach elektrycznych fotooporniki przedstawiane są symbolami:
![]() |
![]() |
Poniższy układ jest przykładem zastosowania fotoopornika do wykrywania braku oświetlenia:

Fotoopornik FR wraz z opornikiem 1k tworzą dzielnik napięcia,
który steruje bazą pierwszego tranzystora.
Jeśli fotoopornik FR zostanie oświetlony odpowiednio mocnym
strumieniem światła, to jego oporność spadnie. Wtedy wzrośnie
napięcie na bazie pierwszego tranzystora i zacznie on przewodzić
prąd na swoim złączu kolektor-emiter. W efekcie baza drugiego
tranzystora zostanie wysterowana niskim napięciem ze złącza
kolektor-emiter pierwszego tranzystora
(0,2...0,4V). Drugi tranzystor zostanie zablokowany i przestanie przewodzić prąd na złączu kolektor-emiter.
Jeśli zechcesz wykrywać obecność oświetlenia, to zmieniasz konfigurację dzielnika napięcia z fotoopornikiem:

Opornik 100k należy tak dobrać, aby przy braku oświetlenia na bazie pierwszego tranzystora było napięcie powyżej 0,7V
(tranzystor wymusi 0,7V, jeśli dzielnik będzie
dawał napięcie nieco wyższe). W takiej konfiguracji
pierwszy tranzystor przewodzi i zwiera bazę drugiego
tranzystora
do masy (wymusza napięcie poniżej 0,6V).
Drugi tranzystor jest zablokowany, nie przewodzi prądu
Gdy fotoopornik FR zostanie oświetlony, zmaleje jego
oporność,
Jako elementy światłoczułe stosuje się również fotodiody (ang. photodiodes):
![]() |
![]() |
![]() |
Na schematach posiadają one symbol:

Fotodioda pracuje spolaryzowana zaporowo. Gdy nie jest oświetlana, nie przewodzi prądu. Przy oświetleniu fotodioda zaczyna przewodzić prąd w kierunku zaporowym. Fotodiody reagują na różne długości fal świetlnych. Np. fotodiody reagujące na podczerwień stosowane są w sterowaniu za pomocą pilotów. Cechą charakterystyczną takich fotodiod jest czarna obudowa, która nie przepuszcza światła widzialnego, lecz podczerwone.
Przykładowy schemat układu wykorzystującego fotodiodę jest następujący:

Fotodioda FD jest wpięta zaporowo i gdy nie pada na nią
światło, nie przewodzi prądu. Z tego powodu na bazie pierwszego
tranzystora panuje niskie napięcie i tranzystor jest
zablokowany. Skoro tak, to na bazę drugiego tranzystora dostaje
się napięcie poprzez
Gdy na fotodiodę FD padnie odpowiednio
intensywny strumień światła, zacznie ona przewodzić w kierunku
zaporowym, co spowoduje wzrost napięcia na bazie pierwszego
tranzystora, który zacznie przewodzić i zwierać bazę drugiego
tranzystora do masy. Drugi
tranzystor przestanie przewodzić prąd
Kolejnym elementem światłoczułym jest fototranzystor (ang. phototransistor):

Obudowa fototranzystora jest przezroczysta i umożliwia oświetlanie strumieniem świetlnym obszaru bazy. W efekcie światło pełni podobną rolę jak prąd bazy - steruje prądem przepływającym przez złącze kolektor-emiter. Gdy baza jest nieoświetlona, tranzystor nie przewodzi prądu. Przy oświetleniu bazy tranzystor przewodzi prąd. Fototranzystory mogą mieć wyprowadzoną końcówkę bazy (do sterowania nim jak zwykłym tranzystorem) lub jej brak. Fototranzystory są zwykle bardziej czułe na światło od fotodiod.
Na schematach elektronicznych fototranzystory posiadają symbole:
| npn | pnp |
![]() |
![]() |
Przykładowy schemat z fototranzystorem:

Jak widzisz, schemat jest praktycznie taki sam jak dla
fotodiody. Działanie również jest podobne. Gdy na bazę
fototranzystora FT nie pada światło, nie przewodzi on prądu
Gdy na bazę fototranzystora FT padnie strumień światła, to zacznie on przewodzić prąd na złączu kolektor-emiter, co spowoduje wzrost napięcia bazy pierwszego tranzystora. Pierwszy
tranzystor zacznie przewodzić prąd na swoim złączu
kolektor-emiter
Czujników światła nie musisz budować samodzielnie od podstaw. Przemysł elektroniczny produkuje gotowe moduły (szukaj ich pod hasłem "arduino"), które są bardzo łatwe do zastosowania w projektach:
![]() |
![]() |
Czujnik temperatury (ang. temperature sensor) przetwarza temperaturę na napięcie. Zwykle
posiada trzy wyprowadzenia i wygląda jak tranzystor. Dla przykładu opiszemy popularny


Do końcówki

Napięcie wyjściowe zależy liniowo od temperatury: w zakresie
od 2...150°C napięcie zmienia się
10mV x 25 = 250mV = 0,25V.
Ponieważ wyjście jest analogowe, pomiaru należy dokonywać przy pomocy odpowiedniego przetwornika A/C. Mikrokontrolery w większości posiadają taką możliwość.
Istnieje również możliwość odczytywania ujemnych temperatur. W takim przypadku wyjście OUT należy podpiąć poprzez opornik do ujemnego napięcia zasilania:

W takim obwodzie otrzymamy możliwość pomiaru temperatur w zakresie
| T[°C] | U[mV] |
| -55 | -550 |
| 25 | +250 |
| 150 | +1500 |
Przy budowie różnego rodzaju robotów przydają się czujniki mierzące odległość do przeszkody. Bardzo popularne są ultradźwiękowe czujniki zbliżeniowe (ang. ultrasonic proximity sensors), które można kupić za kilka złotych:

Zasada działania takiego czujnika jest następująca:
Czujnik posiada 4 końcówki sygnałowe. Do VCC doprowadzasz napięcie zasilające +5V, do GND
doprowadzasz masę 0V. Pomiar rozpoczyna się po podaniu na wejście Trig impulsu dodatniego (o stanie logicznym 1)
trwającego przynajmniej 10µs. Czujnik posiada
nadajnik (T) i odbiornik (R)
fal ultradźwiękowych. Po wyzwoleniu impulsem na wejściu Trig czujnik generuje 8 impulsów o częstotliwości 40kHz
(niesłyszalne dla człowieka) przez nadajnik. Jeśli na drodze wygenerowanej fali ultradźwiękowej
znajdzie się odpowiednio duża przeszkoda, to fala zostanie od niej odbita i wróci z powrotem, gdzie odbierze ją odbiornik.
Na wyjściu Echo pojawi się wtedy dodatni impuls o stanie logicznym 1, którego czas trwania jest równy czasowi od momentu wygenerowania impulsów
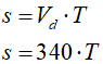
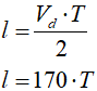
do momentu odebrania ich z powrotem po odbiciu od przeszkody. Oznaczmy ten czas przez T. Fala ultradźwiękowa pokonuje w tym czasie odległość
od czujnika do przeszkody oraz z powrotem od przeszkody do czujnika. W powietrzu dźwięk
rozchodzi się z prędkością około

Faktyczna odległość od przeszkody jest o połowę mniejsza (fala musi przejść tam i z powrotem):

Czujnik pozwala na pomiar odległości od kilku centymetrów
Produkowane są również czujniki ultradźwiękowe z uproszczonym sterowaniem:

Wyprowadzenie SIG pełni jednocześnie rolę wyprowadzeń Trig i Echo poprzedniego czujnika. Ponieważ sygnał echa nigdy nie pojawia się równocześnie z sygnałem wyzwalania, sterowanie wygląda następująco:
Na wejście SIG podaje się impuls dodatni o czasie trwaniaCzujniki zbliżeniowe na podczerwień
(ang. infrared proximity sensors) umożliwiają wykrycie
przeszkody znajdującej się w odległości do około

Czujnik zawiera dwie
diody: LED emitującą światło w zakresie
podczerwieni i fotodiodę odbierającą ten zakres fal świetlnych.
Gdy przeszkoda zostaje oświetlona światłem diody LED, ulega ono
odbiciu i trafia do fotodiody. Wtedy na wyjściu OUT
pojawia się stan
Obie diody muszą być odpowiednio osłonięte, aby światło z diody LED nie trafiało bezpośrednio na fotodiodę.
Stosowane są również laserowe czujniki zbliżeniowe (ang. laser proximity sensors):

Zasada działania jest identyczna jak dla czujników na
podczerwień: źródłem światła jest dioda laserowa. Gdy promień
lasera trafi w przeszkodę, zostaje rozproszony i jego część
trafia do fotodiody reagującej na światło lasera. Wtedy na wyjściu DOUT pojawia się stan
![]() |
Zespół Przedmiotowy Chemii-Fizyki-Informatyki w I Liceum Ogólnokształcącym im. Kazimierza Brodzińskiego w Tarnowie ul. Piłsudskiego 4 ©2026 mgr Jerzy Wałaszek |
Materiały tylko do użytku dydaktycznego. Ich kopiowanie i powielanie jest dozwolone pod warunkiem podania źródła oraz niepobierania za to pieniędzy.
Pytania proszę przesyłać na adres email:
Serwis wykorzystuje pliki cookies. Jeśli nie chcesz ich otrzymywać, zablokuj je w swojej przeglądarce.
Informacje dodatkowe.