|
Wyjście Spis treści Wstecz Dalej
Autor artykułu |
©2026 mgr Jerzy Wałaszek
|
Wzmacniacz operacyjny (ang. operational amplifier, op-amp) jest to układ elektroniczny, który posiada dwa wejścia oznaczone (+) i (–) oraz wyjście:

Wejście (+) nazywamy wejściem nieodwracającym (ang. non-inverting input), a wejście (–) nazywamy wejściem odwracającym (ang. inverting input). Napięcie na wyjściu idealnego wzmacniacza operacyjnego zależy od współczynnika wzmocnienia napięciowego AU oraz różnicy napięć na wejściu nieodwracającym i nieodwracającym:
![]() |
![]() |
Z podanego wzoru wynika:

Wzmacniacz operacyjny zwykle zasilany jest dwoma napięciami symetrycznymi:

Spowodowane jest to tym, iż zgodnie z podanym wzorem napięcie wyjściowe ma ten sam znak, co różnica napięć wejściowych:

Aby otrzymać na wyjściu napięcie ujemne, wzmacniacz musi być zasilany takim napięciem.
Wzmacniacz operacyjny jest elementem analogowym. Niestety, nie da się całkowicie oddzielić techniki cyfrowej od analogowej, ponieważ obie się wzajemnie uzupełniają. Projektując urządzenia cyfrowe, wcześniej czy później spotkasz wzmacniacze operacyjne, dlatego pożądana jest pewna wiedza na ich temat. Zagadnienie wzmacniaczy operacyjnych jest bardzo obszerne. Tutaj podamy tylko podstawowe informacje.
Do analizy układów ze wzmacniaczem operacyjnym stosujemy następujące założenia:
Założenia te dotyczą tzw. idealnego wzmacniacza operacyjnego, czyli takiego, który nie istnieje. W praktyce są one spełnione tylko do pewnego stopnia: np. oporność wejściowa rzędu megaomów, prąd wejściowy rzędu pikoamperów, wzmocnienie 1000000. Najbardziej zbliżone do ideału są wzmacniacze zbudowane z tranzystorów polowych.
Duże wzmocnienie napięciowe wzmacniacza nie jest specjalnie użyteczne, ponieważ nawet drobne zmiany różnicy napięć wejściowych powodują nasycenie wyjścia i ustalenie się na nim maksymalnego napięcia dodatniego lub ujemnego w zależności od znaku różnicy U(+) i U(–) (własność ta jest wykorzystywana przez komparatory). Dlatego stosowane jest tzw. ujemne sprzężenie zwrotne (ang. negative feedback). Polega ono na tym, iż część sygnału wyjściowego wzmacniacza zwracamy na wejście odwracające. Dokonujemy tego za pomocą opornika podpiętego do wyjścia i do wejścia odwracającego:

Opornik sprzęgający RF wymusza na wejściu odwracającym ten sam potencjał co na wejściu nieodwracającym. Wyjaśnienie jest dosyć proste do zrozumienia. Załóżmy, że wejście (–) ma potencjał wyższy od potencjału wejścia (+). Wtedy na wyjściu pojawia się napięcie ujemne, które poprzez opornik RF zmniejsza potencjał wejścia odwracającego w punkcie A, aż wyrówna się z potencjałem wejścia nieodwracającego. Jeśli mamy sytuację odwrotną, tzn. wejście (–) ma potencjał niższy od potencjału wejścia (+), wtedy na wyjściu pojawi się napięcie dodatnie, które poprzez opornik RF będzie zwiększało potencjał wejścia odwracającego (–) w punkcie A aż wyrówna się z potencjałem wejścia (+). Wynika z tego, iż przy ujemnym sprzężeniu zwrotnym potencjały obu wejść wzmacniacza operacyjnego są sobie równe (w praktyce drobna różnica zawsze istnieje, ale można ją pominąć w obliczeniach).
Ujemne sprzężenie zwrotne zawsze zmniejsza wzmocnienie wzmacniacza, ale przy okazji stabilizuje go, jest zatem pożyteczne.
Przemysł elektroniczny produkuje obecnie olbrzymią liczbę różnorodnych wzmacniaczy operacyjnych. Popularnym wzmacniaczem operacyjnym jest układ μA741:

Układ posiada dwa dodatkowe wejścia równoważące N1 i N2. Dokładne parametry znajdziesz w dokumentacji producenta (μA741 jest produkowany pod różnymi nazwami przez wiele firm elektronicznych). Jest to wzmacniacz oparty na technologii bipolarnej.
Wzmacniacze operacyjne budowane są również z tranzystorów polowych. Popularnym wzmacniaczem tego typu jest układ TL072:

Układ TL072 zawiera dwa wzmacniacze operacyjne o bardzo wysokich parametrach.
Wzmacniacz odwracający (ang. inverting amplifier) daje na wyjściu napięcie o odwrotnym znaku od napięcia wejściowego, czyli o przeciwnej fazie.
Rozważmy następujący układ:

Układ składa się ze wzmacniacza operacyjnego, opornika wejściowego R1, opornika sprzężenia zwrotnego R2. Wejście nieodwracające jest połączone z masą, posiada zatem potencjał 0V. Gdy do wejścia układu przyłożymy napięcie UWE, to popłynie prąd I:

Ponieważ na wejściu odwracającym panuje potencjał 0V (wymusza to sprzężenie zwrotne, jak opisano w poprzednim podrozdziale) równy potencjałowi wejścia nieodwracającego (połączonego z masą), to całe napięcie wejściowe odłoży się na oporniku wejściowym R1. Wynika z tego, iż oporność wejściowa takiego wzmacniacza jest równa wartości opornika R1. Wartość prądu obliczymy ze wzoru:

Teraz stosujemy założenie, że wzmacniacz operacyjny nie pobiera z wejść żadnego prądu. Zatem prąd I dopływający do wejścia odwracającego poprzez opornik R1, musi płynąć dalej poprzez opornik sprzężenia zwrotnego R2 (prąd nie może nagle zniknąć):

Na oporniku R2 odłoży się napięcie równe napięciu wyjściowemu wzmacniacza UWY. Jednocześnie przepływ prądu wywoła spadek napięcia o wartości odwrotnej do napięcia wyjściowego, zatem:

Zwróć uwagę, że zwrot napięcia wyjściowego musi być przeciwny do zwrotu spadku napięcia, inaczej ich suma nie dawałaby zera (jeśli tego nie rozumiesz, wróć do rozdziału o prawach Kirchoffa) – opornik R2 wraz ze wzmacniaczem tworzą zamknięte oczko sieci elektrycznej.
Ze wzoru pierwszego podstawiamy prąd do wzoru drugiego i dokonujemy prostego przekształcenia:

Otrzymaliśmy wzór na współczynnik wzmocnienia napięciowego tego układu wzmacniacza. Jest on ujemny, ponieważ napięcie wyjściowe zawsze ma przeciwny znak do napięcia wejściowego – dlatego układ nosi nazwę wzmacniacza odwracającego. Wzmocnienie napięciowe będzie równe -1, jeśli oba oporniki posiadają tę samą oporność.
Podany powyżej układ wzmacniacza odwracającego może być w bardzo prosty sposób przekształcony w przetwornik prądu na napięcie:

Zgodnie z podanym wcześniej wzorem, napięcie wyjściowe jest równe:

Jest zatem ono proporcjonalne do wartości prądu. Otrzymaliśmy przetwornik prądu w napięcie.
Zastanów się, jak odwrócić polaryzację napięcia wyjściowego.
Wzmacniacz nieodwracający (ang. non-inverting amplifier) daje na wyjściu napięcie o tym samym znaku, co napięcie wejściowe. Otrzymujemy go ze wzmacniacza odwracającego w bardzo prosty sposób:
| Wzmacniacz odwracający: |
![]() |
| Wzmacniacz nieodwracający: |
![]() |
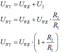
Napięcie wejściowe doprowadzane jest do wejścia nieodwracającego, natomiast wejście odwracające połączone jest z masą poprzez opornik wejściowy R1. Rozważmy ten układ:

Ponieważ stosowane jest ujemne sprzężenie zwrotne poprzez opornik R2, to na wejściu odwracającym jest wymuszane napięcie wejściowe (oba wejścia posiadają taki sam potencjał). Poprzez opornik R1 płynie prąd:

Wzmacniacz operacyjny nie pobiera prądu ze swoich wejść, zatem cały ten prąd musi również płynąć przez opornik R2, wywołując na nim spadek napięcia:


Napięcie wyjściowe wzmacniacza musi być równe sumie spadków napięć na obu opornikach:

A stąd już w prosty sposób wyliczamy współczynnik wzmocnienia napięciowego:

Zwróć uwagę, iż dla wzmacniacza nieodwracającego współczynnik ten jest zawsze większy lub równy 1, czyli napięcie wyjściowe nigdy nie jest mniejsze od napięcia wejściowego.
Jeśli oporność ujemnego sprzężenia zwrotnego będzie równa 0, to otrzymamy tzw. nieodwracający wtórnik napięciowy (ang. non-inverting voltage follower):

Na wyjściu tak skonfigurowanego wzmacniacza operacyjnego panuje napięcie wejściowe, ponieważ sprzężenie zwrotne wymusza na obu wejściach wzmacniacza ten sam potencjał, a wejście odwracające jest zwarte z wyjściem, zatem na wyjściu musi również być ten sam potencjał. Wtórnik napięciowy posiada bardzo dużą oporność wejściową (wzmacniacz operacyjny nie pobiera prądu ze swoich wejść) i bardzo małą oporność wyjściową. Dzięki tym właściwościom może być używany do separacji układów.
Wzmacniacze operacyjne używane są często w charakterze komparatorów dwóch napięć. Wykorzystuje się tutaj fakt, iż napięcie wyjściowe zależy od różnicy napięć na wejściu nieodwracającym i odwracającym:
![]() |
![]() |
Z uwagi na bardzo duże wzmocnienie wzmacniacza operacyjnego
bez pętli ujemnego sprzężenia zwrotnego napięcie wyjściowe jest
równe +Vcc, jeśli
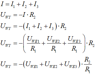
Wzmacniacz sumujący (ang. suming amplifier) posiada kilka wejść, na które podajemy napięcia wejściowe. Napięcie wyjściowe wzmacniacza jest proporcjonalne do sumy jego napięć wejściowych.
Do konstrukcji takiego wzmacniacza wykorzystujemy układ przetwornika prądu na napięcie:

Ujemne sprzężenie zwrotne poprzez opornik R2 wymusza potencjał 0V na wejściu odwracającym (taki sam jak potencjał wejścia nieodwracającego). Pod wpływem napięć wejściowych płyną prądy (założyliśmy, że wszystkie oporniki wejściowe posiadają taką samą oporność – w praktyce oporności mogą być różne):

Prądy te sumują się na wejściu odwracającym. Jednak wejście to nie pobiera prądu, zatem prąd wynikowy musi popłynąć przez opornik sprzężenia zwrotnego R2 do wyjścia wzmacniacza. Na oporniku odkłada się odwrotne napięcie panujące na wyjściu wzmacniacza, zatem:

Napięcie wyjściowe jest proporcjonalne do sumy napięć wejściowych. Otrzymaliśmy zatem wzmacniacz sumujący, tzw. mikser. Tego typu układy wykorzystuje się w przetwornikach cyfrowo/analogowych. Wzmocnienie napięciowe jest równe:

Zwróć uwagę, że układ:

daje na wyjściu napięcie:

Jako ćwiczenie wyznacz współczynniki wzmocnień napięciowych dla poszczególnych wejść, jeśli oporniki wejściowe będą posiadały różne oporności. Wyciągnij wnioski.
Napięcie wyjściowe wzmacniacza różnicowego (ang. differential amplifier) jest proporcjonalne do różnicy napięć wejściowych (napięcie na wejściu nieodwracającym minus napięcie na wejściu odwracającym). Sam wzmacniacz operacyjny jest wzmacniaczem różnicowym. Jednak przy otwartej pętli ujemnego sprzężenia zwrotnego wzmocnienie napięciowe jest tak duże, iż nawet niewielka wartość różnicy powoduje przesterowanie wyjścia. Dlatego stosujemy układ z pętlą ujemnego sprzężenia zwrotnego, którego wzmocnienie jest znacznie mniejsze, lecz stabilne.

Wyznaczmy napięcie wyjściowe U w zależności od napięć wejściowych U1 i U2. Napięcie U1 powoduje przepływ prądu I1 przez oporniki R3 i R4, wywołując na nich spadki napięć U3 i U4:

Pamiętamy, że wzmacniacz operacyjny nie pobiera prądu ze swoich wejść, zatem cały prąd płynie tylko przez oporniki R3 i R4. Oporniki są połączone szeregowo, zatem:

Suma spadków napięć na obu opornikach jest równa napięciu wejściowemu U1:

Spadki napięć wynoszą:

Na wejściu nieodwracającym panuje napięcie U4, a oporniki R3 i R4 tworzą dzielnik napięcia wejściowego U1. Ponieważ wzmacniacz operacyjny posiada pętlę ujemnego sprzężenia zwrotnego poprzez opornik R2, to na wejściu odwracającym panuje to samo napięcie, co na wejściu nieodwracającym, a zatem również jest to U4:

Jeśli teraz przyłożymy do drugiego wejścia napięcie U2, to poprzez opornik R1 popłynie prąd I2 pod wpływem różnicy napięcia U2 i U4. Oznaczmy tę różnicę jako U5:


Wejście odwracające również nie pobiera prądu, zatem cały prąd I2 musi popłynąć poprzez opornik sprzężenia zwrotnego R2. Wywoła on na nim spadek napięcia U6:


Dokonajmy teraz podstawień wstecznych:

Gdy wszystkie oporniki będą miały tę samą oporność R, otrzymamy:

![]() |
Zespół Przedmiotowy Chemii-Fizyki-Informatyki w I Liceum Ogólnokształcącym im. Kazimierza Brodzińskiego w Tarnowie ul. Piłsudskiego 4 ©2026 mgr Jerzy Wałaszek |
Materiały tylko do użytku dydaktycznego. Ich kopiowanie i powielanie jest dozwolone pod warunkiem podania źródła oraz niepobierania za to pieniędzy.
Pytania proszę przesyłać na adres email:
Serwis wykorzystuje pliki cookies. Jeśli nie chcesz ich otrzymywać, zablokuj je w swojej przeglądarce.
Informacje dodatkowe.