|
Wyjście Spis treści Wstecz Dalej
Autor artykułu |
©2026 mgr Jerzy Wałaszek
|
Zapoznaj się z materiałami podanymi w tym rozdziale. Tutaj powtórzymy jedynie najważniejsze rzeczy.
Materiały występujące w przyrodzie dzielimy na trzy kategorie:
Dokładne zrozumienie działania półprzewodników jest trudne, ponieważ wymaga dobrej znajomości mechaniki kwantowej, a tą opanowuje się dopiero na studiach technicznych. Dlatego podane tutaj informacje należy traktować jako bardzo poglądowe. Nie będziemy się wgłębiać w tajniki i teorię półprzewodników, podamy jedynie najważniejsze i najprostsze do zrozumienia fakty.
Przewodnictwo prądu elektrycznego polega na ruchu nośników ładunków elektrycznych w danym materiale. Jeśli materiał nie posiada swobodnych nośników ładunku, to prąd nie będzie w nim płynął po przyłożeniu napięcia (teoretycznie, w praktyce zawsze jakiś niewielki, mikroskopijny prąd popłynie). Mamy wtedy do czynienia z izolatorem.

Metale posiadają dużo elektronów swobodnych, które pochodzą z ostatniej powłoki elektronowej atomów, zwanej powłoką walencyjną. Elektrony w tej powłoce wykorzystywane są do wiązań ze sobą atomów metalu w siatkę krystaliczną (metale są kryształami). Elektrony swobodne są nośnikami ładunku elektrycznego w metalach. Zatem po przyłożeniu napięcia popłynie prąd elektronowy, którego natężenie określa znane ci już prawo Ohma.

Zwróć uwagę, że elektrony o ładunku ujemnym są przyciągane przez dodatni biegun zasilania. Poruszają się zatem od bieguna ujemnego do dodatniego. Tymczasem zwrot prądu został określony odwrotnie. Wyjaśnienie tego faktu podaliśmy już wcześniej. Kierunek prądu ustalono przed odkryciem jego fizycznej natury (czyli ruchu elektronów). W niczym to nam nie przeszkadza.
Z półprzewodnikami jest nieco inaczej. Atomy półprzewodnika wykorzystują wszystkie elektrony walencyjne do utworzenia siatki krystalicznej. Nie ma zatem swobodnych elektronów. Jednakże w pewnych warunkach może dojść do wybicia elektronu walencyjnego (np. pod wpływem temperatury, która wywołuje drgania atomów w siatce krystalicznej półprzewodnika) i stanie się on swobodnym elektronem, który będzie uczestniczył w przepływie prądu. Jednakże atom półprzewodnika, który utracił elektron walencyjny, staje się jonem dodatnim (ponieważ po utracie ładunku ujemnego jego całkowity ładunek staje się niezrównoważony), czyli otrzymuje ładunek dodatni. Fizycznie jon ten nie może się przemieszczać w półprzewodniku, ponieważ jest uwięziony w siatce kryształu. Jednakże może przechwycić elektron walencyjny, który został wybity z innego atomu siatki. Dojdzie do tzw. rekombinacji ładunków. Schwytany elektron zneutralizuje ładunek dodatni atomu. W efekcie ładunek dodatni zmieni położenie w strukturze półprzewodnika – przemieści się do atomu, który poprzednio stracił elektron walencyjny. Efekt będzie taki sam, jakby ten ładunek się swobodnie przemieszczał.
![]() Dziura: atom z brakującym elektronem walencyjnym |
![]() Inny atom traci elektron walencyjny i staje się nową dziurą |
![]() Dziura przechwytuje elektron i staje się normalnym atomem w sieci |
![]() Efekt rekombinacji: dziura "zmieniła" swoje położenie |
Taki brak elektronu walencyjnego nazywamy dziurą, a ruch ładunków dodatnich nazywamy prądem dziurowym. W półprzewodniku mogą zatem przemieszczać się jednocześnie dwa rodzaje ładunków: elektrony (ujemne) oraz dziury (dodatnie).

W czystym krysztale półprzewodnika liczba dziur odpowiada liczbie elektronów swobodnych i zwykle nie jest duża, dlatego czyste półprzewodniki posiadają względnie dużą oporność elektryczną. Za pomocą wtrąceń obcych atomów do sieci krystalicznej można zwiększyć ilość elektronów (atom domieszki posiada więcej elektronów walencyjnych niż atom półprzewodnika) lub dziur (atom domieszki posiada mniej elektronów walencyjnych od atomu półprzewodnika). Operację taką nazywamy domieszkowaniem. W jej wyniku powstaje półprzewodnik typu n (z nadmiarem elektronów, n - ang. negative) lub typu p (z nadmiarem dziur, p - ang. positive). Domieszkowanie zmniejsza również oporność elektryczną półprzewodnika, ponieważ, mając więcej nośników ładunku, przewodzi on lepiej prąd elektryczny.

Powstałe w ten sposób nośniki nazywa się nośnikami większościowymi: w półprzewodniku p nośnikami większościowymi są dziury, a w półprzewodniku n elektrony.
Powszechnie stosowanymi obecnie półprzewodnikami są krzem, german, arsenek galu, azotek galu, antymonek indu, tellurek kadmu.
Jeśli połączymy ze sobą półprzewodniki typu p i n, to powstanie tzw. złącze p-n, które posiada bardzo ciekawe własności elektryczne. W obszarze styku powstaje różnica w koncentracji nośników większościowych: dla półprzewodnika typu n są to elektrony, a dla półprzewodnika typu p są to dziury.

Powoduje to tzw. dyfuzję nośników, czyli przechodzenie, przenikanie nośników z obszaru o ich większej koncentracji do obszaru o koncentracji mniejszej. Zatem elektrony z półprzewodnika typu n będą dyfundowały do półprzewodnika typu p, a dziury z półprzewodnika typu p będą dyfundowały do półprzewodnika typu n. Po przejściu nośniki będą rekombinowały z nośnikami większościowymi, co spowoduje zmniejszenie ilości tych ostatnich w obszarze złącza, ponieważ każda rekombinacja typu dziura-elektron powoduje neutralizację nośnika ładunku. W efekcie po obu stronach złącza pojawią się obszary o większej koncentracji elektronów w p i dziur w n, czyli odwrotnie niż w pozostałej części tych półprzewodników.

W obszarze styku powstanie tzw. ładunek przestrzenny, który uniemożliwi dalszą dyfuzję nośników większościowych (ładunek dodatni dziur w półprzewodniku n zatrzyma dyfuzję tych dziur z półprzewodnika p, a ładunek ujemny elektronów w p zatrzyma dyfuzję elektronów z n). W obszarze styku powstaje zatem bariera zwana warstwą zaporową, w której praktycznie nie występują nośniki większościowe dla danego półprzewodnika.
Jeśli przyłożymy do półprzewodnika typu p plus napięcia zasilającego, a do półprzewodnika typu n minus, to dziury w p i elektrony w n będą się przemieszczały w kierunku złącza, co spowoduje zmniejszenie bariery potencjału. Jeśli napięcie zasilające będzie większe od tej bariery (np. ponad 0,6V dla półprzewodnika z krzemu), to nośniki większościowe zaczną dyfundować przez barierę i w obwodzie popłynie prąd elektryczny – półprzewodnik staje się przewodnikiem. Złącze p-n będzie spolaryzowane w kierunku przewodzenia.

Jeśli zmienimy biegunowość napięcia zasilającego (do półprzewodnika p przyłożymy minus, a do n plus), to spowoduje ono odpływ nośników większościowych z obszaru złącza i w efekcie powiększenie bariery potencjału. W obwodzie będzie płynął bardzo mały prąd dyfuzyjny – półprzewodnik staje się praktycznie izolatorem. Złącze p-n będzie spolaryzowane zaporowo.

Wynika z tego, że złącze p-n przewodzi prąd tylko w jednym kierunku. Jeśli takie złącze umieścimy w obudowie, na zewnątrz której wyprowadzimy końcówki połączone z każdym z półprzewodników, to powstanie dioda półprzewodnikowa.
Dioda (ang. diode) jest elementem elektronicznym zbudowanym z dwóch warstw półprzewodnika typu p i n, które są ze sobą połączone, tworząc złącze p-n.
W wersji przewlekanej dioda ma postać korpusu zawierającego złącze p-n, z którego wychodzą dwa wyprowadzenia połączone wewnątrz korpusu do półprzewodników typu p i n.
![]() |
![]() |
![]() |
Dioda przewodzi prąd tylko w jednym kierunku, co jest cechą charakterystyczną złącza p-n. Z tego powodu końcówki diody noszą nazwy:
Symbol graficzny diody jest następujący:

Symbol ten odzwierciedla kierunek przepływu prądu elektrycznego (pamiętamy, że prąd w tym znaczeniu jest historycznie ruchem ładunków dodatnich, a nie elektronów!). Zatem, aby przez diodę przepływał prąd, należy do anody doprowadzić napięcie o potencjale wyższym od potencjału katody. Na razie jednak powstrzymaj się z podłączaniem diody do baterii lub zasilacza, gdyż najprawdopodobniej ją spalisz.
Wynika z tego, iż końcówki diody pełnią określone funkcje i zawsze należy je prawidłowo zidentyfikować, aby dioda spełniała swoją funkcję w obwodzie (oporniki lub zwykłe kondensatory można podłączać w jedną lub w drugą stronę i nie wpłynie to na ich działanie, a z diodami już tak prosto nie jest!). Zwykle na obudowie diody w jakiś sposób wyróżnia się katodę, czyli elektrodę ujemną.

Istnieje specjalna grupa diod elektroluminescencyjnych (LED - ang. Light Emitting Diode), które świecą podczas przewodzenia prądu elektrycznego (dokładniej opisujemy je w dalszej części tego rozdziału). W wersji przewlekanej diody LED posiadają przezroczystą obudowę, z której wychodzą dwie elektrody. Katoda jest zwykle krótsza. Dodatkowo na obudowie strona katody oznaczona jest spłaszczonym cokołem.

W razie wątpliwości najlepiej wspomóc się multimetrem. Większość multimetrów posiada funkcję badania ciągłości połączeń (jeśli takiej funkcji nie znajdziesz na swoim multimetrze, to wykorzystaj pomiar oporności). Oznaczana jest najczęściej symbolem diody:

Po włączeniu funkcji dotykamy elektrodami miernika wyprowadzeń diody. Jeśli będzie połączenie, to usłyszymy cichy pisk. W takim przypadku wyprowadzenie diody połączone z elektrodą COM (czarna) jest katodą, a drugie wyprowadzenie jest anodą.
Istnieje wiele różnych rodzajów diod półprzewodnikowych. My najczęściej spotkamy się z trzema typami:
Zajmijmy się jednak sytuacją, gdy dioda przewodzi prąd. Otóż przyjmij do wiadomości, że dioda nie zachowuje się w obwodzie elektrycznym jak zwykły opornik. Napięcie na oporniku zależy od wartości przepływającego przezeń prądu w sposób liniowy, tzn.:

Jeśli prąd wzrośnie dwa razy, to na oporniku odłoży się dwukrotnie większe napięcie. Mówimy, że opornik jest elementem liniowym. Wykres zależności prądu od spadku napięcia na oporniku jest linią prostą:

Z diodą jest inaczej. Po pierwsze, aby dioda zaczęła przewodzić prąd elektryczny, napięcie zewnętrzne musi być wyższe od napięcia bariery potencjału, która tworzy się na styku warstw półprzewodnika p i n. Wartość tego napięcia zależy od materiału półprzewodnika. W zwykłych diodach krzemowych (np. diody prostownicze) napięcie to ma wartość około 0,6V. W diodach LED (świecących) wynosi od 1,8V do 4,5V. Po przekroczeniu napięcia progowego napięcie na diodzie pozostaje mniej więcej takie samo (rośnie nieznacznie wraz ze wzrostem prądu). Wynika z tego, że oporność diody jest zmienna i zależy od przyłożonego do niej napięcia. Mówimy, że dioda jest elementem nieliniowym. Wykres prądu w funkcji spadku napięcia dla diody jest następujący:

Z przedstawionego wykresu wynika, że przy pewnym napięciu wstecznym UR dioda znów zaczyna przewodzić prąd. Dzieje się tak wtedy, gdy zewnętrzne napięcie przekroczy napięcie bariery potencjału w kierunku zaporowym. Wtedy nośniki ładunku zaczną przenikać przez złącze i prąd wzrośnie lawinowo. Dla zwykłej diody oznacza to koniec jej życia, gdyż wzrost prądu zniszczy złącze p-n. Istnieją jednak specjalne diody zwane diodami Zenera, które pracują właśnie w tym punkcie. Zauważ, że napięcie przebicia UR zmienia się niewiele przy dużych zmianach prądu. Własność tę wykorzystuje się w układach stabilizujących napięcie.
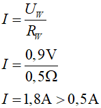
Ważnym parametrem każdej diody jest maksymalny prąd, który może przez nią przepływać w czasie przewodzenia. Załóżmy, że masz diodę prostowniczą o prądzie maksymalnym 0,5A. Podłączasz ją do baterii R6 1,5V, tak aby w obwodzie popłynął prąd. Co się stanie? Popatrz na poniższy schemat:

Bateria jest tutaj oznaczona jako siła elektromotoryczna E oraz opór wewnętrzny RW. Suma spadków napięć oraz sił elektromotorycznych w oczku sieci jest równa zero:

Wzór ten pozwala wyliczyć spadek napięcia na oporności wewnętrznej baterii:

Dla E = 1,5V, UD = 0,6V otrzymujemy:

Oporność wewnętrzna RW typowej baterii R6 wynosi około 0,5Ω. Zatem prąd w obwodzie będzie równy:

Wynika z tego, że prąd przekroczy prawie 4 razy wartość graniczną diody i może ona tego nie wytrzymać. Dlatego nigdy nie sprawdzaj w ten sposób diod (a szczególnie diod LED, chociaż wiem, że to kusi, lecz później kosztuje).
Wykonajmy proste ćwiczenie. Będzie nam potrzebna dowolna dioda prostownicza oraz 3 oporniki o oporności powyżej 200Ω. Na płytce stykowej budujemy następujący układ:
|
Spis elementów:
|
||||||||||||||||||
![]() |
||||||||||||||||||
![]() |
Podłącz do punktu A napięcie +5V z zasilacza i do punktu C masę. Zmierz napięcie pomiędzy punktami B i C. Jeśli oporniki posiadają mniej więcej równą oporność, to na każdym z nich powinien odłożyć się ten sam spadek napięcia i twój wynik pomiaru powinien mieć wartość UCB = 1,6...1,7V (5/3). Teraz naciśnij przycisk (może to zrobić druga osoba w grupie – przycisk może też być zrealizowany przewodem, którym po prostu zwierasz środkowy opornik). Spowoduje to zwarcie środkowego opornika i prąd nie będzie przez niego płynął (popłynie przez styki przycisku). Skoro tak, to teraz napięcie zasilające rozłoży się na dwa oporniki i UBC = 2,5V.
Przełącz masę z punktu C na punkt D. Teraz w obwodzie pojawi się dioda D. Zmierz napięcie UCD. Powinno ono wynieść około 0,6...0,7V dla diody krzemowej (jeśli masz diodę germanową, to napięcie przewodzenia jest niższe – około 0,3V). Naciśnij przycisk i ponownie zmierz napięcie UDC. Czy napięcie to bardzo wzrosło? Jakie wyciągniesz wnioski?
Kolejny przykład demonstruje zastosowanie diod jako tzw. prostownika (ang. rectifier). Cztery diody łączymy ze sobą w tzw. mostek Grätza. Na wyjściu otrzymujemy zawsze napięcie spolaryzowane w określonym kierunku bez względu na polaryzację napięcia wejściowego.

Napięcie wejściowe podłączamy do wejść A i B. Na wyjściu C zawsze będzie (+), a na wyjściu D (–). Poniższe rysunki wyjaśniają, dlaczego tak się dzieje:


Napięcie na wyjściu prostownika jest mniejsze od napięcia wejściowego o około 1,2...1,4V, czyli o spadek napięcia na dwóch diodach. Mostki prostownicze są sprzedawane w postaci gotowych układów. Oczywiście możesz zbudować sobie swój mostek z czterech diod prostowniczych.

Przemysł elektroniczny produkuje diody SMD w różnych obudowach. Rozmiar obudowy zależny jest od maksymalnego prądu przewodzenia diody. Temat ten jest bardzo obszerny i trudno go opisać zwięźle w jednym rozdziale. Najlepszym przewodnikiem będą tutaj dane techniczne od producentów. Poniżej przedstawiamy typowe obudowy diod SMD wraz z ich wymiarami (długość x szerokość x wysokość).
Diody prostownicze
|
|
Diody LED

W naszej praktyce będziemy stosować najczęściej diody LED o obudowach 0603, 0804 i 1206.
Diody elektroluminescencyjne (tzw. LED'y – ang. Light Emitting Diode) wytwarzają światło, gdy przepływa przez nie prąd. W zwykłej żarówce światło powstaje wskutek wysokiej temperatury włókna żarowego. Sprawność żarówki wynosi około 5%, reszta doprowadzonej energii jest tracona na podgrzewanie włókienka. Całość jest umieszczona w bańce próżniowej, ponieważ w zwykłej atmosferze włókno szybko pokryłoby się tlenkami i przepaliło. W diodzie proces wytwarzania światła nie jest związany z temperaturą, lecz z rekombinacją nośników ładunku. W trakcie przechwytywania elektronu na orbitę walencyjną atomu półprzewodnika uwalnia się kwant energii w postaci fotonu. Fotony tworzą strumień światła. W zależności od zastosowanego materiału i domieszek generowane światło posiada różną długość fali, czyli różną barwę. Na przykład:
| arsenek galu | – | światło podczerwone, niewidoczne dla oka (zastosowanie w pilotach TV, myszkach, światłowodach). |
| fosforek galu | – | światło czerwone, zielone, żółte |
| azotek galu | – | światło białe, niebieskie |
Sprawność świetlna diod LED jest bardzo duża w porównaniu z żarówkami i wynosi ponad 60%, zatem 12 razy więcej od żarówki. Wynika z tego, że strumień świetlny żarówki 100W uzyskamy u diody LED o mocy 8W. Drugą zaletą diod LED jest ich długowieczność, teoretycznie mogą świecić ponad 100 lat. Wadą jest cena, niestety dużo wyższa niż cena żarówki.
Diody LED mogą występować w różnej postaci, w zależności od ich zastosowań. Poniżej przedstawiamy najczęściej spotykane konstrukcje:
![]() Diody LED przewlekane |
![]() Diody LED SMD |
![]() Pasek LED |
![]() Wyświetlacz LED |
Jeśli będziesz chciał zastosować diodę LED w swoich układach, to musisz znać jej dwa parametry:
Większość diod LED zaczyna świecić już przy prądzie 1mA...5mA (5 tysięcznych ampera). Zwykle przyjmuje się wartość tego prądu na poziomie 10mA...20mA. Niektóre diody świecą bardzo dobrze już przy prądzie rzędu 2...5mA. Najlepiej jest zawsze sprawdzić to w materiałach producenta danej diody, które bez trudu znajdziesz w Internecie. Jeśli dioda nie musi czegoś oświetlać, to wystarczy dolna granica wartości prądu.
Napięcie pracy diody zależy od jej typu (czyli materiału półprzewodnika). Orientacyjnie napięcia te podaje poniższa tabelka (znów odsyłam do danych producenta):
| Kolor | Napięcie [V] |
| Czerwony | 1,7...2,3 |
| Pomarańczowy | 2,0 |
| Żółty | 2,1 |
| Zielony | 2,2 |
| Niebieski | 3,2 |
| Biały | 3,2 |
Diodę LED podłączamy zawsze z opornikiem ograniczającym prąd. Opornik dobieramy w zależności od napięcia zasilającego oraz od wymaganego prądu pracy diody LED. Na przykład, chcemy w obwodzie umieścić diodę LED świecącą kolorem czerwonym, przez którą ma płynąć prąd 5mA. Napięcie zasilające wynosi 4,5V. Jaki należy zastosować opornik?

Skoro na diodzie w kierunku przewodzenia odłoży się spadek napięcia 1,7V, to reszta napięcia zasilającego musi odłożyć się na oporniku, czyli:

W obwodzie ma płynąć prąd 5mA = 0,005A. Zatem opornik R musi posiadać oporność równą:

Na płytce stykowej zmontuj poniższy układ (zamiast przycisku możesz użyć przewodu, którym będziesz łączył obwód diody czerwonej):
|
Spis elementów:
|
|||||||||||||||||||||
![]() |
|||||||||||||||||||||
![]() |
Gdy podłączysz zasilanie, będzie świeciła dioda niebieska DN. Dioda czerwona DC nie będzie świecić, ponieważ przy rozwartym przycisku nie płynie przez nią żaden prąd. Jeśli teraz naciśniesz przycisk, to dołączysz do obwodu diodę czerwoną. Dioda czerwona zapali się, a niebieska zgaśnie. Dlaczego? Wyjaśnienie leży w wykresie prądowo-napięciowym diody. Dołączenie diody czerwonej wymusi na niej spadek napięcia około 1,8V. Napięcie to również odłoży się na diodzie DN. Jednakże dioda niebieska wymaga napięcia co najmniej 3V, aby popłynął przez nią prąd. Zatem przy włączonej diodzie czerwonej dioda niebieska dostaje zbyt małe napięcie (które nie jest w stanie "przebić" się przez jej barierę potencjału na złączu p-n) i nie świeci. Gdy zwolnisz przycisk, napięcie na diodzie niebieskiej wzrośnie i dioda znów zaświeci. Celowy jest pomiar napięcia na diodzie niebieskiej przy rozwartym i zamkniętym przycisku.
![]() LED 5mm |
![]() LED 3mm |
![]() LED SMD |
Zwykłe diody LED posiadają dwie elektrody: anodę i katodę (krótsza lub znaczona kolorem). W wersji przewlekanej przy katodzie dodatkowo jest spłaszczony cokół, co ułatwia identyfikację tej elektrody, gdy dioda jest wlutowana w płytkę lub posiada przycięte wyprowadzenia. Produkowane są w różnych kolorach świecenia, również w podczerwieni i nadfiolecie. Wersje przewlekane określa się wg średnicy korpusu: najpopularniejsze to 5mm i 3mm.
![]() LED dwukolorowa 5mm |
![]() LED dwukolorowa 3mm |
![]() LED dwukolorowa SMD |
Dwukolorowe diody LED to właściwie dwie diody w jednej obudowie. Najczęściej jedna jest czerwona, a druga zielona. Pozwala to uzyskać trzy różne kolory świecenia: czerwony, zielony i żółty (czerwony + zielony). W wersjach przewlekanych diody są wewnętrznie połączone katodami i dioda posiada trzy wyprowadzenia: anodę czerwoną, wspólną katodę (elektroda środkowa) i anodę zieloną (krótsza elektroda). Dodatkowo cokół jest spłaszczony przy anodzie czerwonej. Spotyka się również inne warianty połączeń, najlepiej sprawdzaj to w materiałach producenta. W wersji SMD katody są rozdzielone i oznaczone kolorem.
![]() LED RGB 5mm |
![]() LED RGB SMD |
![]() LED RGB SMD |
Diody RGB to trzy diody w jednej obudowie: czerwona (ang. R – Red), zielona (ang. G – Green) i niebieska (ang. B – Blue). W wersji przewlekanej z obudowy wychodzą najczęściej cztery elektrody. Diody są wewnętrznie połączone katodami i najdłuższa elektroda jest wspólną katodą (uwaga: spotyka się również wersje ze wspólną anodą – sprawdź w materiałach producenta):

Wersje SMD stosują najczęściej rozdzielone katody (rysunek środkowy) lub wspólną katodę/anodę. Katody są oznaczane kolorem. Informacji szukaj w materiałach producenta.
Diody RGB pozwalają uzyskać światło o różnych kolorach przez kombinację kolorów podstawowych. Regulując jasność świecenia każdej z diod, otrzymujemy całe spektrum barwne. Diodami RGB zajmujemy się szerzej na kursach programowania.
Diody LED często wykorzystuje się w różnego rodzaju wskaźnikach. Typowym przykładem są wskaźniki 7-mio segmentowe stosowane do wyświetlania cyfr:

Segmenty wskaźnika oznacza się zwykle literami od a do g wg poniższego schematu:

Każdy segment jest diodą LED. Cyfry powstają przez odpowiednie zapalenie wybranych segmentów:

Oprócz segmentów cyfr wskaźniki posiadają segment kropki DP (ang. Decimal Point).
Diody LED segmentów mogą być połączone ze sobą katodami (wskaźnik o wspólnej katodzie) lub anodami (wskaźnik o wspólnej anodzie):

Wskaźniki o wspólnej katodzie i anodzie są sterowane w inny sposób. Wspólną katodę podłącza się do masy układu, a segmenty a...g i DP są sterowane wysokimi poziomami logicznymi, tzn. segment się zaświeca przy podaniu napięcia 2,4V:

Wspólną anodę podłącza się do +5V, a segmenty sterowane są stanem niskim:

Do wygodnego sterowania wskaźnikami 7-mio segmentowymi opracowano specjalizowane układy cyfrowe, np. SN7447 i SN7448. Wskaźnikami 7-mio segmentowymi zajmiemy się dokładniej na kursach programowania mikrokontrolerów.
Ciekawym zastosowaniem diod LED są matryce LED. Zawierają one zwykle 64 diody ułożone w 8 wierszy x 8 kolumn:

Matryce mogą zawierać pojedyncze diody LED, dwukolorowe lub RGB.

Łącząc ze sobą wiele takich matryc, tworzy się całe tablice LED, które potrafią wyświetlać nawet obrazy, jak telewizor. Na pewno widziałeś takie tablice na stadionach czy ulicach większego miasta. Mniejsze stosuje się na dworcach, w bankach oraz do reklam.

Diody w matrycy mogą posiadać w wierszu wspólne katody lub anody. Szczegóły jak zwykle znajdziesz w danych producenta. Matrycami LED steruje się sekwencyjnie, wiersz po wierszu. Wykonywane jest to tak szybko, że oko nie dostrzega przełączania wierszy i wydaje się nam, iż cała tablica świeci. Matrycami LED również zajmiemy się na kursie programowania.
Tyrystor (ang. thyristor) nie jest diodą, lecz urządzeniem półprzewodnikowym zbudowanym z 4 naprzemiennych warstw półprzewodnika p i n. Na zewnątrz obudowy wyprowadzone są trzy końcówki: anoda i katoda (jak w diodzie), bramka:

Symbol tyrystora przypomina symbol diody:

Występuje tutaj dodatkowa elektroda bramki (ang. G – Gate).
Tyrystor posiada trzy złącza półprzewodnikowe pomiędzy warstwami p i n:

Załóżmy, że do anody przyłożono wyższe napięcie niż do katody. W takim przypadku złącze Z1 jest spolaryzowane w kierunku przewodzenia, złącze Z2 zaporowo, a złącze Z3 w kierunku przewodzenia. Ponieważ złącze Z2 jest spolaryzowane zaporowo, prąd nie popłynie, aż do momentu, gdy nastąpi przebicie.
Jeśli napięcie przyłożymy odwrotnie, to polaryzacje złącz zmienią się na przeciwne: Z1 zaporowo, Z2 w kierunku przewodzenia, Z3 zaporowo. Prąd również nie popłynie do momentu przebicia tyrystora.
Jednak w pierwszym przypadku przyłożenie do bramki napięcia wyższego od katody o pewną wartość spowoduje spolaryzowanie złącza Z2 w kierunku przewodzenia i prąd popłynie przez tyrystor. Mówimy, że tyrystor został załączony. Prąd będzie płynął nawet wtedy, gdy napięcie zostanie odłączone od bramki. Aby tyrystor się wyłączył, napięcie pomiędzy anodą a katodą musi spaść poniżej określonego progu. Wtedy złącze Z2 znów polaryzuje się zaporowo i prąd przestaje płynąć. Prąd również przestanie płynąć przy wyłączonym napięciu bramki, jeśli spadnie poniżej poziomu prądu wyłączania (parametry te znajdziemy w danych technicznych tyrystora, które są publikowane w sieci przez producentów).
W ten sposób tyrystor może pracować jako sterowany włącznik.
W celu lepszego zrozumienia podstawowych zasad pracy tyrystora, przeanalizujmy poniższy układ:

Gdy układ podłączymy do zasilania U, żarówka Ż nie będzie świeciła, ponieważ tyrystor T jest normalnie w stanie wyłączonym.
Naciskamy przycisk W1. Spowoduje to podanie na bramkę tyrystora napięcia z dzielnika oporowego R1 i R2. Napięcie bramki włączy tyrystor i żarówka zacznie świecić. Przycisk W1 może teraz zostać zwolniony. Tyrystor będzie w stanie włączenia i stan ten będzie przez tyrystor podtrzymywany.
Naciśnięcie przycisku W2 powoduje zwarcie anody tyrystora z jego katodą, a więc zredukowanie napięcia na tyrystorze do zera. Tyrystor się wyłączy. Zwolnienie przycisku W2 spowoduje teraz zgaśnięcie żarówki, ponieważ tyrystor po wyłączeniu przestaje przewodzić prąd. Musi zostać ponownie załączony przyciskiem W1.
Ciekawsze efekty uzyskamy w obwodzie prądu przemiennego, w którym bramka tyrystora będzie sterowana impulsami odpowiednio przesuniętymi w czasie względem napięcia zasilającego:

W takim układzie uzyskamy możliwość płynnej regulacji świecenia żarówki. Impuls bramkowy włącza tyrystor w odpowiednim momencie przebiegu napięcia zasilającego. Gdy napięcie przechodzi przez zero, tyrystor automatycznie się wyłącza. W praktyce tego typu układy powodują duże zakłócenia z uwagi na impulsowy pobór prądu.
Tyrystor pracuje w jednym z trzech trybów:
![]() |
Zespół Przedmiotowy Chemii-Fizyki-Informatyki w I Liceum Ogólnokształcącym im. Kazimierza Brodzińskiego w Tarnowie ul. Piłsudskiego 4 ©2026 mgr Jerzy Wałaszek |
Materiały tylko do użytku dydaktycznego. Ich kopiowanie i powielanie jest dozwolone pod warunkiem podania źródła oraz niepobierania za to pieniędzy.
Pytania proszę przesyłać na adres email:
Serwis wykorzystuje pliki cookies. Jeśli nie chcesz ich otrzymywać, zablokuj je w swojej przeglądarce.
Informacje dodatkowe.