|
Wyjście Spis treści Wstecz Dalej
Autor artykułu |
©2026 mgr Jerzy Wałaszek
|
Generator (ang. generator) w technice cyfrowej jest układem, który tworzy cyklicznie ciąg impulsów:

Na wyjściu generatora pojawiają się naprzemiennie stany niskie i wysokie. Sygnał z generatora może być w różny sposób wykorzystywany: do odliczania czasu przez zliczanie impulsów, do synchronizacji sieci cyfrowych, do synchronizacji transmisji danych, itp.
Generowane impulsy posiadają kilka istotnych parametrów:

Poziomy sygnału (ang. signal levels) muszą odpowiadać poziomom logicznym przyjętym w technice cyfrowej: 0 – 0...0,8V, 1 – 2...5V.
Krawędź narastająca (ang.rising edge lub positive edge) jest chwilowym przebiegiem sygnału, gdy zmienia on swój poziom logiczny z niskiego 0 na wysoki 1.
Krawędź opadająca (ang. falling edge lub negative edge) jest chwilowym przebiegiem sygnału, gdy zmienia on swój poziom logiczny z wysokiego 1 na niski 0.
Stromość krawędzi określa szybkość zmiany sygnału, którą wyraża się w woltach na sekundę (częściej w woltach na mili- lub mikrosekundę). Ideałem byłaby krawędź pionowa, czyli zmiana natychmiastowa. Jednakże w praktyce nie da się tego osiągnąć z powodu różnych opóźnień występujących w rzeczywistych układach generatorów. Również przejście od krawędzi do poziomu nie jest zwykle ostre, lecz przebiega po pewnym łuku. Dodatkowo mogą pojawić się różnego rodzaju zakłócenia, które deformują kształt sygnału:
Sygnał idealny![]() |
Sygnał rzeczywisty![]() |
Zjawiska takie mogą powodować różne niepożądane efekty w układach cyfrowych. Na przykład inwerter (bramka NOT) daje na wyjściu sygnał o odwrotnej wartości logicznej niż sygnał wejściowy:

Jest to prawda w stanie ustalonym, gdy sygnał wejściowy ma poziom odpowiadający poziomowi logicznemu 0 lub 1. Co jednak się dzieje, gdy sygnał wejściowy ma wartość pośrednią? Wtedy stan wyjścia nie jest określony i może dojść do wzbudzenia bramki, czyli wygenerowania serii niepożądanych impulsów:

Z tego powodu w generatorach dąży się do tego, aby zbocza generowanych impulsów były odpowiednio strome. Innym rozwiązaniem jest zastosowanie bramek z tzw. wejściami Schmitta. Cechują się one tym, iż poziomy przełączania różnią się od siebie (to tzw. histereza), dzięki temu nie występuje wzbudzanie się, nawet przy bardzo wolnozmiennych sygnałach wejściowych.
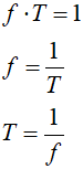
Okres (ang. period) jest czasem, w którym wartość sygnału ulega powtórzeniu. Okres można mierzyć pomiędzy dwoma kolejnymi krawędziami narastającymi lub opadającymi. Oznaczamy go dużą literą T.
Częstotliwość (ang. frequency) jest liczbą okresów sygnału przypadającą na 1 sekundę. Pomiędzy częstotliwością i okresem występuje prosty związek:

Jednostką częstotliwości jest herc o symbolu Hz . Sygnał ma częstotliwość jednego herca, jeśli w ciągu jednej sekundy występuje jeden okres sygnału. Częściej stosowane są większe jednostki:
MHz – megaherc, 1000 kiloherców, 1000000 herców, czyli milion okresów na sekundę
GHz – gigaherc, 1000 megaherców, 1000000000 herców, czyli miliard okresów na sekundę
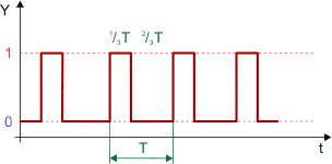
Wypełnienie (ang. duty cycle) jest to stosunek czasu trwania stanu 1 sygnału do czasu jego okresu. Wypełnienie podaje się w procentach:
![]() |
![]() |
![]() |
![]() |
![]() |
Sygnał o wypełnieniu 0% to sygnał stały (nie zmienia się w czasie) o poziomie logicznym 0. Sygnał o wypełnieniu 50% to sygnał, w którym czas trwania stanu wysokiego 1 wynosi połowę okresu. Sygnał o wypełnieniu 100% to sygnał stały o poziomie logicznym 1.
Istotnym parametrem sygnału jest również kształt impulsów, np:
![]() przebieg sinusoidalny |
![]() przebieg prostokątny |
![]() przebieg trójkątny |
W technice cyfrowej najczęściej spotkasz się z przebiegami prostokątnymi, lecz czasem stosowane są również generatory przebiegów o innych kształtach impulsów.
Ogólnie tematyka generatorów jest bardzo skomplikowana i obszerna. Dlatego w tym artykule opiszemy jedynie najprostsze generatory cyfrowe.
Najprostszy generator cyfrowy da się skonstruować z trzech (ogólniej: z nieparzystej liczby większej od 1) bramek NOT w poniższym układzie:

Działanie tego generatora opiera się na tym, iż sygnał wyjściowy bramki nie zmienia się natychmiast po zmianie sygnału wejściowego, lecz po pewnym, krótkim czasie propagacji, czyli przejścia (kilka nonosekund). Łączenie wyjścia układu z jego wejściem nazywamy sprzężeniem zwrotnym (ang. feedback). Tutaj sprzężenie zwrotne sprawia, iż układ ten nie może osiągnąć stanu stabilnego. Rozważmy jego działanie.
Załóżmy, że na wyjściu Y panuje stan logiczny 0. Stan ten przenosi się na wejście pierwszej bramki poprzez sprzężenie zwrotne:

Po czasie propagacji pierwszej bramki na jej wyjściu pojawia się stan 1, który trafia na wejście bramki środkowej:

Po czasie propagacji bramki środkowej na jej wyjściu pojawia się stan 0, który trafia na wejście ostatniej bramki:

Po czasie propagacji trzeciej bramki na jej wyjściu pojawia się stan 1, przeciwny do poprzedniego stanu 0:

Stan wyjściowy 1 trafia na wejście pierwszej bramki poprzez sprzężenie zwrotne i rozpoczyna się proces odwrotny. Po czasie propagacji pierwszej bramki na jej wyjściu wystąpi stan 0:

Po czasie propagacji środkowej bramki na jej wyjściu pojawi się stan 1:

Po czasie propagacji trzeciej bramki na jej wyjściu pojawi się stan 0:

Wróciliśmy do sytuacji początkowej. Wynika z tego, iż sygnał na wyjściu Y będzie się cyklicznie zmieniał z 0 na 1 i z 1 na 0 co około 3 czasy tp i nigdy się nie ustabilizuje.
Bramki mają zwykle różny czas propagacji z 0 na 1 i z 1 na 0. Na przykład:
| Opis parametru | 5404 | 7404 | 74LS04 | 74S04 | 74AC04 | 74ACT04 | 74HC04 | 74HCT04 | Jednostka | |
| tPLH | Czas propagacji z 0 na 1 | 12...22 | 12...22 | 9...15 | 3...5 | 1...10 | 1...9 | 8...24 | 13...25 | ns |
| tPHL | Czas propagacji z 1 na 0 | 8...15 | 8...15 | 10...15 | 3...5 | 1...9,5 | 1...8,5 | 8...24 | 8...19 | ns |
Poza tym występuje tutaj duży rozrzut parametrów nawet w tej samej serii układów cyfrowych. Z tego powodu opisany generator nie może być użyty w zastosowaniach wymagających stałej i określonej częstotliwości generowanych impulsów. Dla podstawowej serii SN7404 czas propagacji wynosi średnio około 10ns. Okres będzie wynosił zatem:
Otrzymamy generator o częstotliwości około 16,6MHz.
W ramach ćwiczeń zbudujemy opisany wyżej generator na płytce stykowej. Użyjemy do tego celu układu SN7404, który zawiera 6 bramek NOT:

Spis elementów
|
||||||||||||||||||||||||
![]() |
||||||||||||||||||||||||
![]() |
Gdy włączysz zasilanie, to będzie się świeciła tylko jedna z dwóch diod LED, ponieważ generator nie pracuje przy rozwartym włączniku. Gdy naciśniesz przycisk, obwód sprzężenia zwrotnego zostanie zamknięty i generator rozpocznie generację impulsów. W efekcie diody LED będą się zaświecały naprzemiennie, lecz tak szybko, że okiem tego nie można zauważyć. Będzie się nam wydawało, że naraz świecą obie diody (nie mogą naraz się świecić obie diody przez czas dłuższy od czasu propagacji sygnału przez bramkę, ponieważ na wyjściu ostatniej bramki panuje stan przeciwny do stanu na wejściu). Jasność świecenia diod spada, ponieważ nie świecą one ciągle, tylko przez połowę każdego okresu generatora. Gdy zwolnisz przycisk, to znów będzie zaświecona tylko jedna dioda LED (która i dlaczego?).
Opornik 1k (może być większy, np. 4,7k) służy do ustawienia stanu wysokiego 1 na wejściu pierwszej bramki generatora, gdy przycisk nie jest wciśnięty. Ma to znaczenie dla układów SN74HC04 i SN74HCT04, które są zbudowane z tranzystorów polowych i posiadają bardzo dużą oporność wejściową. Bez tego opornika bramki wzbudzają się nawet z powodu zbliżenia palca do układu scalonego. Gdy generator zbudujesz na zwykłych układach TTL, np. SN7404 lub SN74LS04, opornik ten można pominąć, ale przeszkadzać nie będzie.
Prezentowany wyżej generator tworzy ciąg impulsów o zbyt dużej częstotliwości, aby można było je zaobserwować okiem. Dlatego skonstruujemy kolejny generator o niskiej częstotliwości. Do tego celu użyjemy kondensatora i opornika.
Przypomnijmy: kondensator zbudowany jest z dwóch przewodników rozdzielonych od siebie za pomocą izolatora. Gdy do tych przewodników doprowadzimy napięcie elektryczne, to zaczną się na nich gromadzić ładunki elektryczne, które wytworzą pomiędzy przewodnikami napięcie elektryczne rosnące wraz z przybywaniem ładunków aż do osiągnięcia wartości napięcia zasilającego. W trakcie ładowania kondensatora płynie przez niego chwilowy prąd o coraz mniejszym natężeniu:
![]() ![]() |
Nie wgłębiając się w szczegóły teoretyczne, powiedzmy, że czas osiągnięcia przez kondensator stanu nasycenia jest proporcjonalny do iloczynu RC, gdzie R to oporność opornika, a C jest pojemnością kondensatora. Parametr ten nazywamy stałą czasową (więcej na ten temat znajdziesz w rozdziale o pojemności). Opór wyrażamy w omach, a pojemność w faradach. Im większy opór czy pojemność tym czas ten jest dłuższy.
Jeśli naładowany kondensator zewrzemy poprzez opór, to nastąpi zjawisko odwrotne – rozładowanie kondensatora:
![]() ![]() |
Znów popłynie przez chwilę prąd. Rozładowanie powoduje spadek napięcia na kondensatorze w miarę ubywania ładunków elektrycznych. Proces ten zakończy się, gdy kondensator zostanie całkowicie rozładowany. Czas rozładowania również jest proporcjonalny do iloczynu RC. Zwróć uwagę, że przy rozładowywaniu napięcie na oporniku R ma zwrot przeciwny i jest równe co do wartości napięciu na kondensatorze. Wynika to z II prawa Kirchoffa.
Rozważmy teraz bardzo prosty generator zbudowany z dwóch bramek NOT, opornika i kondensatora. Podane tutaj wyjaśnienie jest jedynie przybliżone (w rzeczywistości należałoby omówić tzw. bramki zlinearyzowane, które zachowują się jak wzmacniacze odwracające), lecz wystarczające do zrozumienia zasady działania tego generatora.
![]() |
W bardzo dużym uproszczeniu bramkę NOT możemy potraktować jak przełącznik. Na poniższym rysunku mamy schematy zastępcze bramki NOT dla wyjściowych stanów logicznych 1 oraz 0.
![]() |
Gdy na wejściu bramki NOT występuje stan logiczny 0, to na jej wyjściu pojawia się stan logiczny 1. Możemy ten stan potraktować tak, jakby wyjście zostało połączone "przełącznikiem" do napięcia około 3,3V (dla układów HCT będzie to 4,9V). Gdy na wejściu bramki NOT mamy stan 1, to na jej wyjściu pojawia się stan 0, co odpowiada zwarciu wyjścia do masy (z uwagi na spadki napięć wewnątrz układu napięcie w tym stanie nie jest równe 0V, lecz wynosi około 0,8V, a dla HCT 0,1V).
Wróćmy do naszego generatora. Załóżmy, że kondensator C jest rozładowany i na wejściu pierwszej bramki panuje stan 0. Wtedy na jej wyjściu musi być stan 1, a na wyjściu drugiej bramki musi być stan 0. Schemat zastępczy tego układu masz poniżej:
![]() |
W takim układzie kondensator zaczyna się ładować poprzez opornik R z wyjścia pierwszej bramki. Napięcie na kondensatorze rośnie. Jednocześnie napięcie to pojawia się na wejściu pierwszej bramki w punkcie A. Linią czerwoną zaznaczyliśmy na wykresie poziom napięcia, który spowoduje przełączenie pierwszej bramki w stan przeciwny, tzn. na jej wejściu pojawi się stan 1 z kondensatora, na wyjściu pojawi się stan 0, co z kolei wymusi stan 1 na wyjściu drugiej bramki. Układ zmieni konfigurację:
![]() |
Ponieważ kondensator jest naładowany w kierunku poprzedniej polaryzacji napięcia, to przy przełączeniu bramek napięcie na kondensatorze doda się do napięcia wyjściowego bramki drugiej i w efekcie nastąpi chwilowy skok napięcia w punkcie A. Kondensator zacznie się rozładowywać poprzez opornik R, a następnie będzie się ładował napięciem przeciwnym. Proces ten spowoduje stopniowe obniżanie się napięcia w punkcie A aż do momentu, gdy osiągnie ono poziom przełączania bramki pierwszej, który zaznaczyliśmy na wykresie przerywaną linią. Układ znów zmieni konfigurację na przeciwną:
![]() |
Ponieważ w momencie przełączenia kondensator jest naładowany odwrotnym napięciem, to nastąpi chwilowy spadek napięcia w punkcie A poniżej 0V. Teraz kondensator najpierw rozładuje się poprzez opornik R, a następnie zacznie się ładować napięciem wyjściowym bramki pierwszej. Napięcie w punkcie A będzie rosło aż osiągnie poziom przełączania bramki pierwszej. Wtedy cały cykl się powtórzy i generator zacznie generować naprzemiennie stany 0 i 1 na swoim wyjściu. Okres generatora zależy od użytych elementów R i C oraz parametrów bramek NOT. Nie będziemy go wyliczać, ponieważ jest to dosyć skomplikowane (nasz model jest jedynie bardzo dużym uproszczeniem, które pozwala zrozumieć zasadę działania tego generatora, w rzeczywistości diabeł tkwi w szczegółach).
Jako ćwiczenie zbuduj na płytce stykowej generator wg poniższego schematu:
Spis elementów
|
||||||||||||||||||||||||
![]() |
||||||||||||||||||||||||
![]() |
Częstotliwość generowanych impulsów zależy od pojemności kondensatora oraz oporu opornika. Dla 100µF powinno to być około 2Hz. W generatorze zastosowany jest układ SN74LS04. Zamiast niego można również stosować układy SN7404, SN74HC04 lub SN74HCT04. Jeśli stosujesz zwykły układ SN7404 (obecnie dosyć trudny do zdobycia), to możesz mieć kłopoty ze startem generatora. W takim przypadku zmniejsz opornik linearyzujący bramkę NOT z 1k na 270...470Ω (poeksperymentuj z różnymi wartościami).

W kolejnym ćwiczeniu zbudujemy prosty licznik dwójkowy, w którym wykorzystamy opisany powyżej generator. Wynik będzie podawany w postaci binarnej za pomocą czterech diod LED.
![]() SN7493 – 4-bitowy licznik binarny ![]() |
Spis elementów
|
||||||||||||||||||||||||||||||
![]() |
||||||||||||||||||||||||||||||
![]() |
Układ działa następująco:
Generator zbudowany na bramkach NOT generuje cyklicznie impulsy, które są podawane na wejście zegarowe CKA licznika SN7493. Licznik jest skonfigurowany do zliczania impulsów zegarowych z wejścia w układzie 4-ro bitowym. Każde ujemne zbocze sygnału na wejściu CKA powoduje zmianę stanu licznika. Liczba zliczonych impulsów widoczna jest w postaci binarnej na diodach LED.
Prosty generator przebiegu prostokątnego można wykonać na pojedynczej bramce NOT z wejściem Schmitta, np. układ SN7414 zawiera 6 takich inwerterów:

Wejście Schmitta cechuje się tzw. histerezą. Przełączenie bramki następuje przy innych wartościach progowych na zboczach narastających i opadających sygnału. Dlatego dla układów z wejściami Smitta nie podaje się napięć wejściowych dla stanu 0/1 lecz napięcia progowe przełączania bramki, np.:
| Opis parametru | SN5414 | SN7414 | SN74LS14 | SN74HC14 | SN74HCT14 | Jednostka | |
| VT+ | Napięcie progowe zbocza narastającego | 1,5...2 | 1,5...2 | 1,4...1,9 | (0,35...0,7)VCC | (0,26...0,4)VCC | V |
| VT- | Napięcie progowe zbocza opadającego | 0,6...1,1 | 0,6...1,1 | 0,5...1 | (0,23...0,5)VCC | (0,1...0,26)VCC | V |
| VH | Histereza: VT+ – VT- | 0,4...0,8 | 0,4...0,8 | 0,4...0,8 | (0,1...0,36)VCC | (0,08...0,12)VCC | V |
Z tabelki wynika, że bramka NOT typu SN7414 przełączy swoje wyjście w stan 0, gdy zbocze narastające sygnału wejściowego osiągnie poziom 1,6V. Aby wyjście bramki znalazło się w stanie 1, sygnał wejściowy musi spaść do poziomu około 0,8V. W ten sposób unikamy wzbudzeń bramki Schmitta, gdy napięcie wejściowe przyjmuje wartości pośrednie, co może mieć miejsce przy zwykłej bramce:

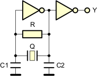
Rozważmy działanie następującego układu:

Układ zawiera bramkę NOT z wejściem Schmitta, opornik R oraz kondensator C.
Załóżmy, że początkowo kondensator nie jest naładowany. W takim przypadku napięcie na nim jest równe 0V, co jest poniżej dolnego progu przełączania bramki Schmitta. Dlatego na jej wyjściu B pojawi się stan logiczny 1, czyli napięcie około 3,3V:

Napięcie w punkcie B spowoduje ładowanie kondensatora poprzez opornik R. W rezultacie napięcie punktu A zacznie wzrastać. Gdy osiągnie górny próg przełączania bramki Schmitta, około 1,6V, jej wyjście przyjmie stan logiczny 0, czyli około 0,4V:

W tej konfiguracji kondensator zacznie się rozładowywać poprzez opornik R. W efekcie napięcie w punkcie A będzie spadało, aż osiągnie dolny próg przełączania bramki Schmitta, około 0,8V. Wtedy na wyjściu B pojawi się stan 1, czyli 3,3V:

Kondensator ponownie zacznie się ładować i napięcie w punkcie A będzie wzrastało aż do osiągnięcia górnego progu przełączania bramki Schmitta:

Od tego momentu kondensator będzie cyklicznie ładowany i rozładowywany. Otrzymamy generator przebiegu prostokątnego. Wypełnienie wynosi około 33% z uwagi na wpływ parametrów bramki na proces ładowania/rozładowywania kondensatora:

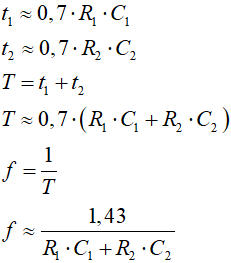
Częstotliwość generowanego przebiegu zależy od wartości R, C oraz parametrów bramki. Wzór przybliżony:

Opornik R powinien mieć oporność w zakresie od 100Ω do 1kΩ. Kondensator powinien mieć pojemność od 1nF do 1000µF. Otrzymamy wtedy zakres częstotliwości od około 1Hz do 1MHz (im większa pojemność kondensatora tym mniejsza częstotliwość przebiegu).
W generatorach zbudowanych z bramek trudno regulować wypełnienie przebiegu wyjściowego. Wady tej nie posiadają generatory budowane z przerzutników monostabilnych. Opiszemy taki generator na przykładzie układu SN74121, który zawiera pojedynczy przerzutnik monostabilny:
![]() ![]() |
Przerzutnik SN74121 posiada 3 wejścia wyzwalające: A1, A2, B (wejście Schmitta z histerezą), dwa przeciwstawne wyjścia Q i Q oraz trzy wejścia, które pozwalają podłączyć zewnętrzny opornik i kondensator regulujący czas trwania impulsu wyjściowego: Rext, Cext, Rint. Sposób konfiguracji tych wyjść z elementami wpływa następująco na czas impulsu wyjściowego:
Wewnątrz układu znajduje się opornik wewnętrzny o oporności około 2kΩ podłączony do końcówek 9 i 11. Opornik ten można wykorzystać lub całkowicie pominąć przy generacji impulsu wyjściowego (oporność R jest w kΩ, pojemność C jest w pF, czas t w ns)
![]() ![]() ![]() ![]() ![]() ![]() ![]() ![]() |
Tabelka funkcyjna dla przerzutnika SN74121 jest następująca:
| Wejścia | Wyjścia | |||
| A1 | A2 | B | Q | Q |
| 0 | X | 1 | 0 | 1 |
| X | 0 | 1 | 0 | 1 |
| X | X | 0 | 0 | 1 |
| 1 | 1 | X | 0 | 1 |
| 1 | ↓ | 1 |
![]() |
![]() |
| ↓ | 1 | 1 |
![]() |
![]() |
| ↓ | ↓ | 1 |
![]() |
![]() |
| 0 | X | ↑ |
![]() |
![]() |
| X | 0 | ↑ |
![]() |
![]() |
Przerzutnik SN74121 generuje impuls na wyjściu Q przy opadającym zboczu sygnału na jednym z wejść A1 lub A2 (lub na obu jednocześnie), jeśli pozostałe wejścia są w stanie wysokim, lub przy narastającym zboczu na wejściu B, jeśli jedno z wyjść A1 lub A2 ma stan 0.
Do wykonania generatora będą nam potrzebne dwa przerzutniki SN74121:

Układ ten działa następująco:
Gdy zostanie włączone zasilanie, to kondensator C (około 10µF) zacznie się ładować poprzez opornik R (1...2kΩ). Napięcie na kondensatorze C rośnie aż osiągnie próg przełączania wejścia Schmitta. Wtedy drugi SN74121 wygeneruje impuls o czasie trwania określonym przez R2 i C2. Gdy impuls się zakończy na wyjściu Q pojawi się narastające zbocze, które wyzwoli impuls w przerzutniku nr 1. Czas trwania tego impulsu określają elementy R1 i C1. Gdy impuls się zakończy, to jego opadające zbocze wyzwoli następny impuls w przerzutniku nr 2 i cykl zacznie się powtarzać:

Generatory budowane w oparciu o bramki lub przerzutniki monostabilne nie odznaczają się wysoką stabilnością generowanych przebiegów. Spowodowane jest to różnymi czynnikami: rozrzutem parametrów układów cyfrowych, zmianą parametrów przy zmianie napięcia zasalającego lub temperatury pracy, itp.
Tam, gdzie generowany przebieg musi odznaczać się wysoką stabilnością (np. przy dokładnych pomiarach czasu) korzysta się z generatorów kwarcowych.
Podstawowym elementem takiego generatora jest tzw. rezonator kwarcowy (ang. crystal oscillator):


Jest to element piezoelektryczny, który wykorzystuje drgania rezonansowe tworzącego go kryształu do wytworzenia przebiegu elektrycznego o wysokiej stabilności częstotliwości. Rezonatory kwarcowe (w skrócie: kwarce) na schematach elektrycznych przedstawiane są poniższym symbolem:

W Eagle kwarce zdefiniowano w bibliotece crystal.lbr.
Efekt piezoelektryczny polega na wytwarzaniu napięcia elektrycznego pod wpływem odkształceń mechanicznych kryształu. Jeśli do kryształu kwarcu zostanie w odpowiedni sposób przyłożone napięcie elektryczne, to odkształci się on mechanicznie. Gdy napięcie zostanie usunięte, kryształ pod wpływem naprężeń mechanicznych powstałych przy odkształceniu powróci do swojego stanu poprzedniego, wytwarzając przy tym napięcie piezoelektryczne. W ten sposób zachowuje się on podobnie do obwodu RLC i wykonuje drgania przy swojej częstotliwości rezonansowej. Zastosowanie kryształu polega na odczycie tworzonego napięcia, wzmocnieniu go i podaniu z powrotem do kryształu, co powoduje podtrzymanie drgań. Częstotliwość rezonansowa drgań zależy od wymiarów i kształtu kryształu.
Generatory kwarcowe wykorzystują rezonatory w charakterze filtrów wpiętych w obwód sprzężenia zwrotnego. Kwarc wzmacnia sygnały o częstotliwościach zbliżonych do jego częstotliwości rezonansowej, a tłumi wszystkie inne. Po krótkiej chwili sprzężenie powoduje, iż w generatorze powstaje przebieg o częstotliwości równej częstotliwości rezonansowej kryształu kwarcu.
Istnieje wiele rozwiązań generatorów kwarcowych. Mogą one być budowane w oparciu o tranzystory, bramki lub przerzutniki. Jednym z częściej stosowanych jest generator Pierce'a, ponieważ potrzebuje on niewiele elementów:

Generator Pierce'a tworzy inverter NOT, opornik R, kwarc Q oraz dwa kondensatory C1 i C2. Drugi inwerter służy do odseparowania obwodu generatora od wyjścia i w pewnych przypadkach można go pominąć. Opornik R wpięty jest w pętlę sprzężenia zwrotnego inwertera i powoduje jego linearyzację, czyli przekształca bramkę NOT we wzmacniacz odwracający (sygnał wyjściowy ma fazę przeciwną do sygnału wejściowego, stąd nazwa "odwracający"). Zagadnieniem linearyzacji bramek cyfrowych nie zajmuję się w tym artykule. Kwarc Q wraz z dwoma kondensatorami C1 i C2 tworzy tzw. filtr π, który cechuje się tym, iż przepuszcza wąskie pasmo częstotliwości wokół częstotliwości rezonansowej. W efekcie w układzie tym powstają drgania o częstotliwości kwarcu, ponieważ opornik wymusza niestabilność inwertera, a filtr tłumi drgania poza częstotliwością rezonansową.
Z kwarcami spotkasz się przy mikrokontrolerach, w których stosowany jest zwykle generator Pierce'a.
Dzielnik częstotliwości (ang. frequency divider) jest układem stosowanym w technice cyfrowej do podziału częstotliwości generatora, np. z częstotliwości 16MHz potrzebujemy otrzymać częstotliwość 4MHz, musimy zatem podzielić częstotliwość 16MHz przez 4.
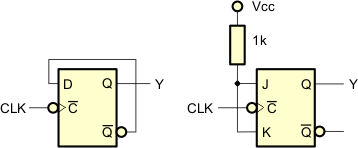
Dzielniki konstruuje się z przerzutników typu T, które zmieniają swój stan na przeciwny przy każdym impulsie zegarowym. Przerzutnik T łatwo buduje się z przerzutników D lub J-K:

Stan przerzutnika zmienia się przy opadającym zboczu sygnału CLK:

Sygnał na wyjściu Y ma połowę częstotliwości sygnału na wejściu CLK. Dodatkowo wypełnienie wynosi dokładnie 50% i nie zależy od wypełnienia sygnału wejściowego.
Otrzymaliśmy dzielnik przez 2. Łącząc ze sobą kaskadowo dzielniki przez 2 możemy otrzymać dalsze podziały przez 4, 8, 16...:

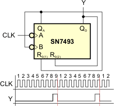
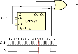
Jak widzisz, dzielnik częstotliwości jest zwykłym licznikiem dwójkowym. Jeśli zastosujemy licznik modulo n, to otrzymamy dzielnik częstotliwości przez n. Do tego celu najlepiej jest wykorzystać gotowy licznik, np. SN7493:

Na przykład dzielnik przez 9:

Gdy licznik doliczy do 8, kolejny impuls na wejściu CLK spowoduje jego wyzerowanie. W efekcie na wyjściu QD będą pojawiały się impulsy co każde 9 impulsów CLK, zatem częstotliwość tych impulsów będzie równa fCLK/9. Zwróć uwagę, że wypełnienie impulsów wyjściowych nie jest równe 50%. Jest to typowe dla dzielników o module n nie będącym potęgą liczby 2. Można w prosty sposób zaprojektować sieć logiczną korzystającą ze wszystkich wyjść licznika, która da na wyjściu sygnał o wypełnieniu zbliżonym do 50%:
| n | QD | QC | QB | QA | Y |
| 0 | 0 | 0 | 0 | 0 | 0 |
| 1 | 0 | 0 | 0 | 1 | 0 |
| 2 | 0 | 0 | 1 | 0 | 0 |
| 3 | 0 | 0 | 1 | 1 | 0 |
| 4 | 0 | 1 | 0 | 0 | 1 |
| 5 | 0 | 1 | 0 | 1 | 1 |
| 6 | 0 | 1 | 1 | 0 | 1 |
| 7 | 0 | 1 | 1 | 1 | 1 |
| 8 | 1 | 0 | 0 | 0 | 1 |
Przez mniej więcej połowę stanów licznika wyjście Y ma być w stanie 0, a przez resztę w stanie 1. Prosta analiza tabelki pokazuje, że tak będzie, jeśli:

Sieć wygląda zatem następująco:

W handlu można spotkać gotowe dzielniki częstotliwości, np:
Z dzielnikami częstotliwości spotkasz się przy programowaniu mikrokontrolerów.
Układ NE555 jest prawdopodobnie jednym z najpopularniejszych układów scalonych stosowanych przez elektroników. Jest on dostępny w sprzedaży od roku 1972. Ma zatem już ponad pół wieku. W tym przypadku nie jest to żadną wadą, to ogromna zaleta! Przez ten czas opracowano dla niego dziesiątki tysięcy różnych zastosowań. Dlatego warto go poznać i stosować w swoich projektach.
Zacznijmy od tego, co jest w środku.
Układ NE555 oryginalnie budowany był z tranzystorów bipolarnych, obecnie stosuje się tranzystory polowe. Schemat wewnętrzny jest następujący:

Układ NE555 zawiera dzielnik napięcia zasilającego zbudowany z 3 oporników R, dwa komparatory napięcia CMP1 i CMP2, przerzutnik S-R, inwerter wyjściowy NOT oraz tranzystor T. Aby zrozumieć działanie tego układu, musimy wyjaśnić funkcję dwóch komparatorów, ponieważ reszta elementów powinna być ci znana (jeśli nie, to cofnij się do poprzednich rozdziałów tego artykułu).

Oporniki R o tej samej oporności tworzą dzielnik napięcia zasilającego. W punkcie A panuje napięcie 2/3 Vcc (około 3,3V dla VCC = 5V). W punkcie B jest napięcie równe 1/3 Vcc (około 1,6V). Komparatory są układami, które porównują poziomy napięć na swoich wejściach. Komparator posiada dwa wejścia: nieodwracające (+) i odwracające (–):

Napięcie wyjściowe komparatora zależy od różnicy napięć na wejściu nieodwracającym i odwracającym. Jeśli różnica jest dodatnia (tzn. napięcie U(+) jest wyższe od napięcia U(-)), to na wyjściu napięcie zbliżone jest do napięcia zasilającego. Możemy przyjąć, że posiada ono wysoki poziom logiczny 1. Jeśli różnica tych napięć jest ujemna (tzn. napięcie U(+) jest niższe od napięcia U(-)), to na wyjściu napięcie zbliżone jest do 0V. Możemy przyjąć, że ma niski poziom logiczny 0.
Przyjrzyj się połączeniu wejść komparatorów z dzielnikiem napięcia:

Gdy napięcie na wejściu THRES (ang. threshold = próg) przekroczy 3,3V (zakładamy, że NE555 jest zasilany napięciem 5V, inaczej poziomy należy odpowiednio przeliczyć), to na wyjściu komparatora CMP1 pojawi się poziom 1. Gdy na wejściu TRIG (ang. trigger = wyzwolenie) napięcie spadnie poniżej 1,6V, to na wyjściu komparatora CMP2 pojawi się poziom 1.
Wyjścia komparatorów połączone są z wejściami przerzutnika S-R.

Przypomnijmy tabelkę stanów tego przerzutnika:
| S | R | Q | Q |
| 1 | 0 | 1 | 0 |
| 0 | 1 | 0 | 1 |
| 0 | 0 | Qn-1 | Qn-1 |
| 1 | 1 | 0 | 0 |
Wynika z niej, że wyjście Q zostanie ustawione na 0, gdy sygnał z CMP2 będzie miał poziom 1, a na 1, gdy sygnał z CMP1 będzie miał poziom 1. W przypadku, gdy napięcia wyjściowe komparatorów mają poziom 0, przerzutnik S-R pamięta swój poprzedni stan. Przerzutnik może być w dowolnej chwili zerowany stanem niskim na wejściu RESET. Po wyzerowaniu wyjście Q przyjmuje stan 1.
Do wyjścia przerzutnika podłączony jest inwerter NOT oraz baza tranzystora T:

Inwerter odwraca poziom logiczny, dając na wyjściu stan 0, gdy wyjście Q jest w stanie 1, a stan 1, gdy wyjście Q jest w stanie 0. Gdy wyjście Q jest w stanie 0, tranzystor jest zablokowany. Gdy wyjście Q przyjmie stan 1, tranzystor przechodzi w stan przewodzenia.
Tyle odnośnie wewnętrznych elementów NE555. Ich przeznaczenie stanie się jasne po zapoznaniu się z kilkoma typowymi układami aplikacyjnymi.
Układ NE555 produkowany jest w obudowie DIL-8 oraz w wersjach SMT:
![]() |
![]() |
Układ wyprowadzeń jest następujący:

W Eagle układ NE555 znajdziesz w bibliotece linear.lbr. Znaczenie końcówek jest następujące:
| GND | – | masa zasilania |
| TRIG | – | wejście wyzwalające. Gdy napięcie na tym wejściu spadnie poniżej 1/3 Vcc, zostaje ustawiony przerzutnik S-R. |
| OUT | – | wyjście z inwertera.
Inwerter ma obciążalność do 200mA w zależności od modelu układu NE555. Gdy przerzutnik S-R jest ustawiony, na wyjściu inwertera pojawia się stan 1. Gdy przerzutnik S-R jest wyzerowany, na wyjściu OUT pojawia się stan 0. |
| RESET | – | stan niski zeruje przerzutnik S-R. |
| CONT | – | wejście sterujące poziomami
przełączania układu NE555. Jest ono połączone z dzielnikiem napięcia oraz wejściem odwracającym pierwszego komparatora. Przyłożenie napięcia do tego wejścia powoduje zmianę poziomów przełączania dla wejść TRIG i THRES. Zwykle nie jest wykorzystywane. W takich przypadkach podpina się do niego i do masy kondensator 10nF, który ma za zadanie stabilizować napięcia dzielnika przy przełączaniu przerzutnika, czyli służy do eliminacji zakłóceń. |
| THRES | – | gdy napięcie na tym wejściu przekroczy 2/3 Vcc, przerzutnik S-R zostaje wyzerowany. |
| DISCH | – | wyjście rozładowujące. Gdy przerzutnik
jest wyzerowany, wyjście to jest połączone z masą poprzez tranzystor. Gdy przerzutnik jest ustawiony, tranzystor nie przewodzi. |
| Vcc | – | napięcie zasilające układ 4,5...16V |
Istnieje również wersja NE556, która zawiera dwa układy NE555 wewnątrz jednej obudowy:

W Eagle układ NE556 znajdziesz również w bibliotece linear.lbr.
Układ NE555 może pracować w trzech standardowych trybach pracy.
W trybie astabilnym układ NE555 generuje ciąg impulsów, których wypełnienie może być regulowane:

Obwód składa się z układu NE555, dwóch oporników R1, R2, kondensatora C oraz
kondensatora przeciwzakłóceniowego 10nF
wpiętego pomiędzy wyjście CONT a masę GND.
Przerysujmy ten schemat, tak aby zawrzeć w nim strukturę
wewnętrzną NE555, co pozwoli nam wyjaśnić jego działanie:

Na początek wyjaśnijmy działanie kondensatora 10nF, który jest wpięty pomiędzy wejście CONT a masę GND. W stanie ustalonym jego obecność jest zbędna. Jednak przy przełączeniach przerzutnika mogą występować chwilowe zakłócenia napięcia zasilającego dzielnik z 3 oporników R. Może to powodować lekkie zakłócenia napięć odniesienia 2/3 Vcc i 1/3 Vcc, z których korzystają komparatory CMP1 i CMP2. Takie zakłócenia w pewnych sytuacjach mogą zaburzać pracę układu. Dzięki kondensatorowi 10nF napięcie w punkcie podziałowym dzielnika jest stabilizowane.
Przejdźmy teraz do pozostałej części obwodu. Mamy tutaj dwa oporniki R1 i R2 połączone szeregowo z kondensatorem C. Wejścia TRIG i THRES pobierają napięcie z kondensatora. Wyjście DISCH jest podłączone pomiędzy oporniki R1 i R2. Rozważmy krok po kroku działanie tego obwodu.
Włączamy zasilanie Vcc. Kondensator C jest jeszcze nienaładowany. Występuje na nim napięcie 0V, które przenosi się na wejścia TRIG i THRES. W takim stanie na wyjściu komparatora CMP1 jest stan 0, ponieważ jego wejściowe napięcie różnicowe jest ujemne:

Z kolei wejściowe napięcie różnicowe komparatora CMP2 jest dodatnie:

Na wyjściu komparatora CMP2 pojawi się zatem stan 1. Stany wyjściowe komparatorów sterują wejściami S i R przerzutnika. ponieważ R = 0 i S = 1, to przerzutnik zostanie ustawiony i na jego wyjściu Q pojawi się stan 0 (jest to wyjście komplementarne, tzn. ma zawsze stan przeciwny do stanu przerzutnika). Inwerter zmieni ten stan na przeciwny i na wyjściu OUT wystąpi napięcie zbliżone do VCC. Baza tranzystora T jest sterowana z wyjścia Q przerzutnika S-R. Ponieważ wyjście to jest w stanie niskim, tranzystor zostaje zatkany i nie przewodzi na złączu kolektor-emiter. Zatem wyjście DISCH w tym stanie nie wpływa na stan obwodu (możemy je potraktować jak przerwę). Tuż po włączeniu zasilania w obwodzie wystąpi następująca konfiguracja napięć:

Idziemy dalej. Kondensator C zaczyna się ładować poprzez oporniki R1 i R2. Napięcie na kondensatorze wzrasta. Gdy przekroczy 1/3 VCC na wyjściu komparatora CMP2 napięcie zmieni się na 0V, ponieważ jego napięcie różnicowe będzie wtedy ujemne:

Stan układu SN555 nie zmieni się, ponieważ przerzutnik S-R pamięta swój stan 1 dla takiej kombinacji stanów wejściowych. Kondensator C ładuje się zatem dalej, aż napięcie przekroczy na nim próg 2/3 VCC. Wtedy zadziała komparator CMP1 i na jego wyjściu pojawi się napięcie zbliżone do VCC. Wyjście komparatora CMP1 steruje wejściem zerującym R przerzutnika, który zostanie wyzerowany. Na wyjściu komplementarnym Q przerzutnika pojawi się napięcie około VCC, a inwerter zamieni je na 0V na wyjściu OUT. Z kolei baza tranzystora T zostanie wysterowana i tranzystor zacznie przewodzić na złączu kolektor-emiter, zwierając wyjście DISCH do masy. Napięcie na wyjściu DISCH spadnie w pobliże 0V:

Na wykresie wygląda to następująco:

Od tego momentu wyjście DISCH zwiera kondensator C do masy poprzez opornik R2. Kondensator zaczyna się rozładowywać i napięcie na nim spada. Gdy spadnie poniżej 1/3Vcc, zadziała komparator CMP2 (jego napięcie różnicowe stanie się dodatnie) i ustawi przerzutnik. Konfiguracja napięć w układzie NE555 zmieni się:

Tranzystor ponownie zostanie zablokowany i wyjście DISCH przestanie zwierać kondensator do masy poprzez opornik R2. Na wyjściu OUT pojawi się napięcie zbliżone do VCC:

Czas rozładowania kondensatora zależy od jego pojemności C oraz od oporności opornika R2 (wpływ tranzystora T pomijamy dla prostoty). W tym czasie wyjście OUT jest w stanie niskim. Wzór jest następujący:

Pojemność w faradach, oporność w ohmach.
Zwróć uwagę, że na czas rozładowania kondensatora wyjście DISCH zwiera opornik R1 do masy, zatem odkłada się na nim praktycznie całe napięcie zasilające VCC. Aby opornik nie uległ uszkodzeniu, musi mieć moc większą od pobieranej, czyli:

Gdy tranzystor T zostaje zablokowany przez przerzutnik S-R, wyjście DISCH przestaje zwierać kondensator C przez opornik R2 do masy. Kondensator zaczyna się ponownie ładować poprzez oporniki R1 i R2 i napięcie na nim wzrasta. Gdy przekroczy 2/3VCC zadziała komparator CMP1 i wyzeruje przerzutnik. Konfiguracja napięć w NE555 ulegnie ponownej zmianie:


Czas ładowania kondensatora zależy od pojemności C oraz sumy oporności R1 i R2. W tym czasie na wyjściu OUT jest stan wysoki.

Zwróć uwagę, że od tego momentu obwód zaczyna wykonywać cykle ładowania/rozładowania kondensatora. Otrzymujemy generator:

Na wyjściu powstaje ciąg impulsów prostokątnych. Czas trwania impulsu wynosi tHIGH. Czas przerwy pomiędzy impulsami wynosi tLOW. Czasy te nie są równe, ponieważ kondensator rozładowuje się poprzez R2, a ładuje poprzez R1 + R2, zatem czas przerwy jest krótszy od czasu impulsu. Aby uzyskać wypełnienie zbliżone do 50%, należy zastosować opornik R1 o oporności znacznie mniejszej od R2 – pamiętaj o ograniczeniach co do mocy opornika R1. Częstotliwość impulsów wyjściowych wynosi:

Pierwszy impuls tuż po włączeniu zasilania ma czas trwania dłuższy od czasu trwania pozostałych impulsów, ponieważ kondensator ładuje się od poziomu 0V, a później od 1/3VCC.
Jeśli prześledziłeś dokładnie i zrozumiałeś pracę układu NE555 w trybie astabilnym, to tryb monostabilny będzie dla ciebie bardzo prosty. W trybie tym generowany jest impuls o zadanym czasie trwania w odpowiedzi na impuls wyzwalający. Obwód monostabilny wygląda następująco:

Obwód składa się z układu NE555, opornika R, kondensatora C i kondensatora przeciwzakłóceniowego 10nF. Przerysujmy ten schemat, tak aby znalazła się na nim struktura wewnętrzna układu NE555, co ułatwi nam wyjaśnienie jego działania:

Załóżmy, że wewnętrzny przerzutnik S-R jest wyzerowany. W takim przypadku na jego wyjściu komplementarnym Q jest napięcie równe w przybliżeniu Vcc. Inwerter odwraca to napięcie i na wyjściu OUT mamy napięcie równe około 0V. Z kolei napięcie z wyjścia Q przerzutnika S-R steruje bazą tranzystora T i powoduje, że przewodzi on na złączu kolektor-emiter, a w konsekwencji wyjście DISCH jest zwarte do masy. Napięcie na kondensatorze jest równe 0V, ponieważ zostaje on zwarty do masy poprzez wyjście DISCH. Napięcie z kondensatora trafia na wejście THRES komparatora CMP1, a ponieważ jest ono niższe od 2/3VCC, to na wyjściu komparatora jest 0V. Dodatkowo załóżmy, że na wejściu W obwodu panuje napięcie wyższe od 1/3VCC. Wtedy na wyjściu komparatora również mamy 0V. Takie napięcia z obu komparatorów utrzymują niezmienny stan przerzutnika S-R:

Stan ten jest stabilny.
Teraz załóżmy, że na wejściu W obwodu pojawia się napięcie niższe od 1/3VCC (np. 0V). Napięcie to trafia na wejście TRIG układu NE555. Zadziała komparator CMP2 i na jego wyjściu pojawi się napięcie równe około VCC. Spowoduje to ustawienie przerzutnika S-R. Na wyjściu Q pojawi się 0V. Inwerter zamieni to na napięcie VCC na wyjściu OUT. Z kolei na bazie tranzystora T napięcie spadnie, tranzystor zostanie zatkany i przestanie przewodzić na złączu kolektor-emiter. Wyjście DISCH przestanie być zwarte do masy i nie będzie wpływało na obwód zewnętrzny. Skoro tak, to kondensator C zacznie się teraz ładować poprzez opornik R i napięcie będzie na nim rosło:


Stan 0V na wejściu W powinien trwać bardzo krótko. Gdy napięcie to wróci do poziomu większego od 1/3VCC, stan układu się nie zmieni,, kondensator wciąż będzie się ładował i napięcie na nim będzie rosło:


W pewnym momencie napięcie na kondensatorze UC przekroczy próg 2/3VCC. Zadziała komparator CMP1 i na jego wyjściu pojawi się napięcie VCC. Spowoduje to wyzerowanie przerzutnika S-R. Na wyjściu Q pojawi się napięcie VCC, które inwerter zmieni w 0V na wyjściu OUT. Baza tranzystora ponownie zostanie wysterowana wysokim napięciem z wyjścia Q przerzutnika S-R i tranzystor zacznie przewodzić na złączu kolektor-emiter, co spowoduje zwarcie wyjścia DISCH z masą. Kondensator zostanie zwarty z masą i szybko się rozładuje poprzez tranzystor T. Napięcie na wejściu THRES będzie wynosiło 0V i na wyjściu komparatora CMP1 również pojawi się 0V. Stan wyzerowania przerzutnika S-R zostanie utrzymany. Układ przełączy się w stan stabilny:


Z naszych rozważań wynika następujący wniosek: obwód posiada jeden stan stabilny, w którym na wyjściu OUT panuje napięcie 0V. Podanie krótkiego ujemnego impulsu na wejście TRIG wytrąca obwód ze stanu stabilnego i na wyjściu OUT pojawia się napięcie zbliżone do VCC. W tym czasie ładowany jest kondensator przez opornik R aż napięcie na kondensatorze przekroczy próg przełączania wejścia THRES. Wtedy obwód wraca z powrotem do stanu stabilnego. Czas trwania impulsu na wyjściu OUT zależy od pojemności C kondensatora oraz oporności R opornika:

Jednostki to sekundy, farady i omy.
W trybie bistabilnym układ NE555 pracuje jako zwykły przerzutnik S-R. Obwód nie wymaga dodatkowych elementów (za wyjątkiem kondensatora przeciwzakłóceniowego 10nF):

Wyjście DISCH nie jest wykorzystywane. Wejście THRES jest na stałe połączone z masą, co blokuje komparator CMP1:

Działanie jest następujące:
Gdy napięcie na wejściu S spadnie poniżej 1/3VCC zostaje ustawiony wewnętrzny przerzutnik S-R i na wyjściu Y pojawia się napięcie równe około VCC. Powrót napięcia na wejściu S powyżej 1/3VCC nie zmienia stanu układu NE555.
Gdy napięcie na wejściu R zostanie sprowadzone do poziomu masy, wewnętrzny przerzutnik S-R zostanie wyzerowany i na wyjściu Y pojawi się napięcie około 0V.
Wyjście DISCH może w tym trybie pełnić rolę wyjścia Y z otwartym kolektorem (w stanie niskim zwarte do masy, w stanie wysokim niepodłączone).
Ilość zastosowań układu NE555 jest naprawdę imponująca. Dlatego zainwestuj w zrozumienie zasad jego pracy.
Przemysł elektroniczny produkuje gotowe układy scalone, która zawierają w sobie kompletny generator sygnału cyfrowego o określonej częstotliwości.

Najczęściej wykonuje się je w obudowie metalowej, która pełni rolę ekranu chroniącego wewnętrzny obwód przed zewnętrznymi polami elektromagnetycznymi, które mogłyby zakłócać jego pracę.
Zwróć uwagę, że jeden z narożników obudowy jest ostry. W ten sposób oznacza się nóżkę nr 1 (widok z boku i od spodu):
![]() |
1 – NC 7 – GND 8 – Wyjście 14 – +5V |
Dziwna numeracja pochodzi stąd, iż rozstaw nóżek odpowiada obudowie DIL-14 dla układów scalonych.
Końcówka 1 nie jest wykorzystywana (zwykle łączy się ją z masą), zasilanie podłączasz do końcówek 7 (masa 0V) i 14 (+5V), czyli tak jak do typowego układu scalonego DIL-14. Generowany sygnał pobierasz z wyjścia 8.
Istnieją również wersje SMT generatorów scalonych:

Tutaj pole nr 1 posiada ścięty narożnik. Numeracja jest następująca:
![]() |
1 – EN 2 – GND 3 – Wyjście 4 – +5V |
Pole nr 1 uaktywnia generator. Stan wysoki powoduje pojawienie się impulsów na polu nr 3. Stan niski blokuje wyjście nr 3. Zwykle zostawia się je niepodłączone lub podłączone do +5V. Zasilanie podłączasz do pól 2 (masa 0V) i 4 (+5V). Sygnał generatora pobierasz z pola nr 3.
Informacja o częstotliwości generowanych impulsów znajduje się na obudowie generatora:

Dokładne parametry znajdziesz w danych technicznych opublikowanych w sieci przez producenta układu.
![]() |
Zespół Przedmiotowy Chemii-Fizyki-Informatyki w I Liceum Ogólnokształcącym im. Kazimierza Brodzińskiego w Tarnowie ul. Piłsudskiego 4 ©2026 mgr Jerzy Wałaszek |
Materiały tylko do użytku dydaktycznego. Ich kopiowanie i powielanie jest dozwolone pod warunkiem podania źródła oraz niepobierania za to pieniędzy.
Pytania proszę przesyłać na adres email:
Serwis wykorzystuje pliki cookies. Jeśli nie chcesz ich otrzymywać, zablokuj je w swojej przeglądarce.
Informacje dodatkowe.