|
Wyjście Spis treści Wstecz Dalej
Autor artykułu |
©2026 mgr Jerzy Wałaszek
|
Pojemność elektryczna (ang. capacitance) jest wielkością, która charakteryzuje zdolność do gromadzenia ładunku elektrycznego. Pojemność elektryczną oznaczamy literką C. Jeśli pojemność ciała jest duża, to potrafi ono zgromadzić więcej ładunku elektrycznego. Pojemność elektryczną wykazuje każde ciało fizyczne, w którym można umieścić ładunki, jednakże szczególnie odnosi się ona do elementów elektronicznych zwanych kondensatorami. Istnieje wiele różnych typów kondensatorów. Omówimy je dokładniej w rozdziale o elementach elektronicznych.

Kondensatory płaskie zbudowane są z dwóch metalowych powierzchni (1) zwanych okładkami, które są rozdzielone warstwą dielektryka (2) (materiału nieprzewodzącego prądu elektrycznego). Okładki są połączone z zaciskami wyjściowymi (3), które służą do podłączania kondensatora do obwodu elektrycznego. Ładunek elektryczny Q gromadzi się na okładkach kondensatora, co powoduje powstanie na zaciskach napięcia U. Na schematach elektronicznych kondensatory reprezentujemy poniższym symbolem graficznym:

Rzeczywiste kondensatory przybierają różny wygląd w zależności od przeznaczenia i technologii budowy. Poniżej masz kilka przykładów (więcej na temat kondensatorów znajdziesz w rozdziale o elementach elektronicznych).

Oporność elektryczna R wiąże napięcie U na zaciskach opornika z przepływającym przez ten przewodnik prądem I:

Pojemność elektryczna C wiąże ładunek Q zgromadzony w kondensatorze z napięciem U na jego zaciskach wyjściowych:

Jednostką pojemności elektrycznej jest farad (nazwany na cześć pioniera elektryczności Michaela Faradaya).

Kondensator ma pojemność 1 farada, jeśli zgromadzony w nim ładunek elektryczny o wartości 1 kulomba wywołuje na zaciskach napięcie 1 wolta. Farad jest dużą pojemnością, w praktyce stosuje się jednostki mniejsze:
W ogólnym przypadku obliczenie pojemności elektrycznej kondensatora (lub innego elementu) jest trudne (wymaga zaawansowanego rachunku całkowego). Jednak dla kondensatora płaskiego zbudowanego z dwóch okładek umieszczonych naprzeciwko siebie wzór jest dosyć prosty:
![]()
|
Pomiędzy okładkami kondensatora płaskiego przechowującego ładunek powstaje pole elektryczne. Nie jest to już pole centralne (wybiegające z jednego punktu), lecz pole jednorodne o równoległych liniach sił:

Jednorodność pola ulega zaburzeniu na krawędziach okładek. Wewnątrz pole jest jednorodne, co oznacza, że na każdy ładunek umieszczony w tym polu działa taka sama siła i o tym samym zwrocie, co obrazuje powyższy rysunek. Dla pól elektrycznych definiuje się wielkość zwaną natężeniem pola elektrycznego (ang. electric intensity):

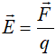
Jest to stosunek siły F działającej na ładunek próbny do wartości tego ładunku. Jednostką jest niuton na kulomb lub wolt na metr.

Nie myl natężenia pola elektrycznego z energią potencjalną. Pierwsza wielkość jest wektorem, a druga skalarem.
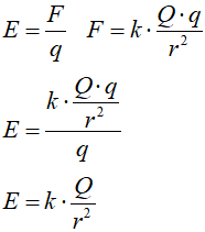
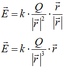
Ponieważ siła jest wektorem (posiada określony zwrot w przestrzeni), również natężenie pola E jest wektorem o takim samym zwrocie, co siła (od ładunku + do ładunku –). Dla pola centralnego wartość natężenia pola elektrycznego w punkcie odległym o r od ładunku Q będącego źródłem pola elektrycznego wynosi:

Wektorowo zapisujemy to następująco:

W polu centralnym natężenie maleje z kwadratem odległości r od źródła pola. W polu jednorodnym wartość natężenia pola elektrycznego jest stała i wynosi:
![]()
|
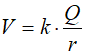
Potencjał w polu centralnym jest zależny od odległości r od źródła pola Q:

Potencjał w polu jednorodnym jest zależny od odległości h od okładki naładowanej dodatnio:
![]()
|
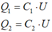
Kondensatory, podobnie jak oporniki można ze sobą łączyć równolegle, szeregowo oraz w sposób mieszany. Załóżmy, że połączyliśmy dwa kondensatory o pojemnościach C1 i C2 równolegle:

Jaka będzie pojemność zastępcza C? Jeśli tak połączone kondensatory włączymy do obwodu z siłą elektromotoryczną, to pod wpływem napięcia U pomiędzy punktami A i B na okładkach kondensatorów zgromadzą się ładunki Q1 i Q2:

Ładunek całkowity tego układu jest sumą ładunków obu kondensatorów. Zatem piszemy:

W połączeniu równoległym pojemność zastępcza jest sumą pojemności poszczególnych kondensatorów. Wzór możemy uogólnić dla dowolnej liczby kondensatorów:

Teraz rozważmy połączenie szeregowe dwóch kondensatorów o pojemnościach C1 i C2. Jaka będzie ich pojemność zastępcza?

Zwróć uwagę, że na okładce + kondensatora nr 1 i na okładce – kondensatora nr 2 panuje ten sam potencjał, ponieważ okładki te są ze sobą połączone elektrycznie. Z tego powodu oba kondensatory przechowują ten sam ładunek Q, jednak napięcia na nich mogą być różne, lecz suma tych napięć musi być równa napięciu U na zaciskach A-B:

W połączeniu szeregowym kondensatorów odwrotność pojemności zastępczej jest równa sumie odwrotności kondensatorów. Wzór daje się łatwo uogólnić na dowolną liczbę kondensatorów połączonych szeregowo:

| Oporniki |
Opór
zastępczy w połączeniu szeregowym:![]() |
Opór
zastępczy w połączeniu równoległym:![]() |
| Kondensatory |
Pojemność zastępcza w połączeniu szeregowym:![]() |
Pojemność zastępcza w połączeniu równoległym:![]() |
Tworzymy obwód elektryczny złożony z SEM E (np. bateria 4,5V), wyłącznika W, opornika o oporności R i kondensatora o pojemności C. Na początku wyłącznik jest rozwarty, co uniemożliwia przepływ prądu elektrycznego. Kondensator nie przechowuje żadnego ładunku.

Zwieramy wyłącznik W. Co się stanie? Spróbujmy dokonać analizy stanu obwodu w punkcie czasu t = 0 (tzn. tuż po zwarciu wyłącznika). Ponieważ kondensator nie zawiera początkowo żadnego ładunku, to:

Na początku na kondensatorze panuje napięcie zerowe. Zgodnie z II prawem Kirchhoffa, suma SEM i spadków napięć w oczku sieci jest równa zero:

W chwili początkowej całe napięcie SEM odkłada się na oporniku R. Pozwoli nam to obliczyć prąd początkowy I0:

Co dalej? Tu zaczynają się dziać ciekawe rzeczy. Przepływający prąd powoduje wzrost ładunku Q w kondensatorze. Gdy ładunek ten wzrasta, to rośnie także napięcie kondensatora UC. Wzrost napięcia kondensatora powoduje obniżenie napięcia UR na oporniku R, a to z kolei wywołuje obniżenie natężenia prądu I. Coraz mniejszy prąd wywołuje mniejsze przyrosty ładunku gromadzącego się w kondensatorze, a zatem również mniejsze przyrosty napięcia UC. Prąd płynący w obwodzie maleje w czasie aż do 0, gdy napięcie kondensatora osiągnie wartość napięcia SEM. Widzisz wyraźnie, że opis matematyczny tego eksperymentu nie jest prosty. Otrzymaliśmy tzw. stan nieustalony obwodu. Aby znaleźć funkcję opisującą napięcie na kondensatorze oraz prąd w obwodzie, musimy sięgnąć do rachunku różniczkowo-całkowego.
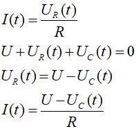
Zgodnie z prawem Ohma prąd I w obwodzie w chwili czasu t jest równy:

Prąd I(t) zależy zatem od napięcia UC(t) na kondensatorze w chwili t. Z kolei napięcie UC(t) na kondensatorze zależy od zgromadzonego w nim ładunku Q(t):

Ładunek Q(t) narasta wraz z przepływem prądu:

Po zróżniczkowaniu otrzymujemy:

Przyrównujemy do siebie równania prądu:

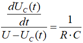
Otrzymaliśmy równanie różniczkowe, które charakteryzuje zachowanie się napięcia na kondensatorze w funkcji czasu t. Zwróć uwagę na mianownik ułamka po prawej stronie równania. Iloczyn R·C często pojawia się w równaniach obwodów elektrycznych zawierających oporniki i kondensatory. Nosi on nazwę stałej czasowej RC obwodu.
Rozwiążemy teraz otrzymane równanie różniczkowe. Najpierw przenosimy wszystkie napięcia na lewą stronę:

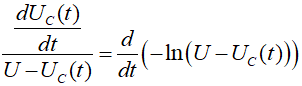
Wyrażenie po lewej stronie jest znaną pochodną:

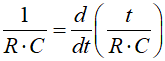
Również prawa strona równania jest prostą pochodną:

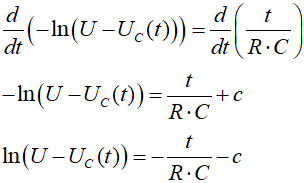
Przyrównujemy do siebie pochodne i całkujemy obustronnie, aby pozbyć się pochodnych (całkowanie jest działaniem odwrotnym do różniczkowania):

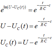
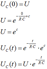
Aby zachować równość po całkowaniu pochodnej musimy dodać stałą c, ponieważ pochodna stałej jest równa 0. Otrzymujemy:

Pozbywamy się logarytmów:

Stałą c wyliczamy na podstawie warunku początkowego dla t = 0, UC = 0:

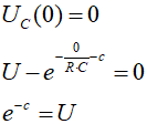
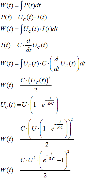
Na koniec otrzymujemy wzór ostateczny dla napięcia na kondensatorze w funkcji czasu:

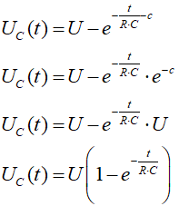
Mając funkcję napięcia na kondensatorze, obliczamy w prosty sposób funkcję prądu:

Poniżej są wykresy napięcia na kondensatorze oraz prądu w obwodzie dla U = 5V, R = 1Ω, C = 1C:
![]() |
![]() |
Z funkcji napięcia w czasie można obliczyć ładunek zgromadzony w kondensatorze:

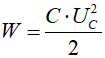
Zgromadzony w kondensatorze ładunek posiada energię, którą można wykorzystać. Wartość tej energii zależy od ilości ładunku. Otrzymamy ją następująco:

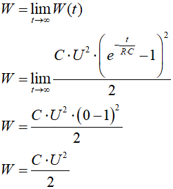
Wartość energii całkowitej dla w pełni naładowanego kondensatora obliczymy z granicy:

Na koniec policzmy napięcie na kondensatorze oraz prąd po czasie t = R·C.

Z tych rachunków wynika końcowy wniosek: kondensator w obwodzie powoduje chwilowy przepływ prądu, który ładuje kondensator. Napięcie na kondensatorze rośnie aż do osiągnięcia wartości napięcia zasilającego obwód. Gdy to nastąpi, prąd w obwodzie przestanie płynąć.
Rozważmy następujący obwód elektryczny:

Obwód tworzy siła elektromotoryczna E, przełącznik W, opornik R oraz kondensator C. W pierwszym etapie ładujemy kondensator prądem I, aż napięcie UC osiągnie wartość napięcia U dostarczanego przez SEM. Wtedy przełączamy przełącznik w pozycję dolną, co powoduje zwarcie kondensatora przez opornik. Co się wtedy będzie działo?
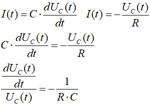
Ponieważ kondensator był naładowany do napięcia U, to tuż po przełączeniu przełącznika W na kondensatorze wciąż utrzyma się napięcie U o takiej samej polaryzacji. Teraz kondensator stanie się siłą elektromotoryczną, która wymusi przepływ prądu w obwodzie w kierunku przeciwnym do poprzedniego. Kierunek napięcia na oporniku również zmieni się na przeciwny. Dla chwili t = 0 możemy zapisać:

Dla chwili t mamy:

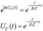
Otrzymaliśmy równanie różniczkowe opisujące napięcie kondensatora w funkcji czasu. Rozwiązujemy je całkując obustronnie:

Pozbywamy się logarytmu:

Teraz obliczamy stałą c z warunku początkowego dla t = 0.

Mając funkcję napięcia na kondensatorze, prąd liczymy ze wzoru:

Poniżej są wykresy napięcia na kondensatorze oraz prądu w obwodzie dla U = 5V, R = 1Ω, C = 1C:
![]() |
![]() |
Policzmy napięcie na kondensatorze oraz prąd po czasie t = RC.

Z tych rachunków wynika końcowy wniosek: jeśli do naładowanego kondensatora podłączymy opornik, to popłynie chwilowy prąd rozładowania kondensatora do momentu, aż napięcie na kondensatorze spadnie do 0V. Kierunek prądu rozładowania jest odwrotny do kierunku prądu ładowania.
Kondensator idealny posiada okładki rozdzielone idealnym izolatorem, czyli materiałem nieprzewodzącym prądu elektrycznego. Prawda jest taka, że takich materiałów nie ma. Izolator cechuje się zawsze pewną opornością R, która może być bardzo duża dla dobrych izolatorów, jednak jest skończona. Powoduje to, że ładunek zgromadzony na okładkach kondensatora powoli ulega samorozładowaniu. Kondensator rzeczywisty przedstawia się jako połączenie równoległe kondensatora idealnego C oraz opornika RW reprezentującego oporność pasożytniczą izolacji:

Napięcie na kondensatorze po upływie czasu t liczymy wg wyżej wyprowadzonych wzorów:

We wzorze tym U oznacza napięcie, które było na kondensatorze w chwili t = 0.

Pojemność kondensatora![]()
|








![]() |
Zespół Przedmiotowy Chemii-Fizyki-Informatyki w I Liceum Ogólnokształcącym im. Kazimierza Brodzińskiego w Tarnowie ul. Piłsudskiego 4 ©2026 mgr Jerzy Wałaszek |
Materiały tylko do użytku dydaktycznego. Ich kopiowanie i powielanie jest dozwolone pod warunkiem podania źródła oraz niepobierania za to pieniędzy.
Pytania proszę przesyłać na adres email:
Serwis wykorzystuje pliki cookies. Jeśli nie chcesz ich otrzymywać, zablokuj je w swojej przeglądarce.
Informacje dodatkowe.