Serwis Edukacyjny
Nauczycieli

w I-LO w Tarnowie
obrazek

  Wyjście       Spis treści       Wstecz       Dalej  

obrazek

Autor artykułu
 mgr Jerzy Wałaszek
Konsultacje:
Wojciech Grodowski
mgr inż. Janusz Wałaszek

©2026 mgr Jerzy Wałaszek

obrazek

Teoria

Macierze

SPIS TREŚCI
Podrozdziały

Macierz

Macierz (ang. matrix) jest prostokątną tablicą, w której zapisujemy liczby lub wyrażenia arytmetyczne zwane elementami lub wyrazami macierzy. Macierz zbudowana jest z n wierszy i m kolumn. Macierze oznaczamy dużymi literami alfabetu, podając w indeksie dolnym liczbę wierszy i kolumn. Poniżej przedstawiamy macierze liczbową i algebraiczną:

Wyrazy macierzy numerujemy za pomocą dwóch indeksów. Pierwszy indeks oznacza numer wiersza, w którym znajduje się dany element. Nazywamy go indeksem wierszowym (ang. row index). Drugi indeks oznacza numer kolumny i nazywamy go indeksem kolumnowym (ang. column index). Na przykład element b3,2 znajduje się w trzecim wierszu i drugiej kolumnie macierzy. Zamiast zapisywania wszystkich elementów macierzy stosuje się w matematyce zapisy skrócone. Na przykład:

Ja jednak będę się starał stosować zapisy bardziej zrozumiałe dla ucznia, choć zajmujące więcej miejsca.

Macierz posiadająca jeden wiersz i jedną kolumnę sprowadza się do zwykłej liczby:

Rozmiar macierzy (ang. matrix size) jest określony przez liczbę jej wierszy i kolumn.

Macierz kwadratowa (ang. square matrix) jest macierzą posiadającą tyle samo wierszy co kolumn:

W macierzy kwadratowej liczba wierszy lub kolumn nazywana jest stopniem macierzy. Powyższa macierz A jest macierzą trzeciego stopnia.

Macierz prostokątna to macierz, która nie jest macierzą kwadratową:

Dwie macierze A i B są równe, jeśli posiadają tyle samo wierszy i kolumn oraz ich wyrazy o tych samych indeksach są sobie równe. Matematycznie zapisujemy to w sposób następujący:

Przekątna główna (ang. main diagonal) macierzy to wszystkie jej wyrazy o równych indeksach wierszowych i kolumnowych:

Antyprzekątna (ang. antidiagonal) jest drugą przekątną macierzy:

Wektor wierszowy (ang. row vector) jest macierzą, która posiada tylko jeden wiersz:

Wektor kolumnowy (ang. column vector) jest macierzą, która posiada tylko jedną kolumnę:

Macierz diagonalna lub przekątniowa (ang. diagonal matrix) jest macierzą kwadratową, której wszystkie wyrazy są zerowe z wyjątkiem wyrazów leżących na głównej przekątnej.

Macierz trójkątna (ang. triangular matrix) jest macierzą kwadratową, której wszystkie wyrazy nad (L, zwana macierzą dolnotrójkątną – ang. lower triangular matrix) lub pod (U, zwana macierzą górnotrójkątną – ang. upper triangular matrix) główną przekątną mają wartość 0:

Macierz zerowa (ang. zero matrix lub null matrix) jest macierzą, której wszystkie elementy mają wartość 0:

Macierz jednostkowa (ang. Identity matrix) jest macierzą kwadratową, której wszystkie wyrazy są równe zero za wyjątkiem wyrazów leżących na głównej przekątnej, które równe są 1:

Macierz transponowana (ang. transpose) powstaje z macierzy A przez zamianę jej wierszy na kolumny, a kolumn na wiersze:

Macierz symetryczna (ang. symmetric matrix) jest macierzą kwadratową, której wyrazy mają własność:

Przykład:

Zauważ, że w macierzy symetrycznej wyrazy przyjmują wartości symetrycznie względem głównej przekątnej. Z tego powodu macierz jest symetryczna, jeśli jej macierz transponowana jest tą samą macierzą:

 


do podrozdziału  do strony 

Działania na macierzach

Ponieważ macierze są rozszerzeniem pojęcia liczby, to można na nich zdefiniować podstawowe operacje arytmetyczne. Warunkiem koniecznym tych operacji jest to, aby sprowadzały się do operacji na zwykłych liczbach dla macierzy posiadających jeden wiersz i jedną kolumnę (takie macierze odpowiadają bezpośrednio liczbom).

Mnożenie macierzy przez skalar

Skalar c jest zwykłą liczbą rzeczywistą. W wyniku mnożenia macierzy A przez skalar c powstaje nowa macierz B o takim samym wymiarze (liczbie wierszy i kolumn) jak macierz A. Każdy element macierzy B jest iloczynem odpowiadającego mu elementu macierzy A przez skalar c. Na przykład:

Operacja mnożenia macierzy przez skalar jest działaniem przemiennym:

Dodawanie macierzy

Obie macierze muszą posiadać tę samą liczbę wierszy i kolumn. W wyniku dodania macierzy A i B otrzymujemy macierz C o takich samych wymiarach jak dodawane macierze. Każdy element macierzy C jest sumą odpowiadających mu elementów macierzy A i B. Na przykład:

Operacja dodawania macierzy jest działaniem przemiennym:

Dodanie macierzy zerowej nie zmienia wartości elementów macierzy A:

Odejmowanie macierzy

Obie macierze muszą posiadać tę samą liczbę wierszy i kolumn. W wyniku odejmowania macierzy A i B otrzymujemy macierz C o takich samych wymiarach jak odejmowane macierze. Każdy element macierzy C jest różnicą odpowiadających mu elementów macierzy A i B. Na przykład:

Operacja odejmowania macierzy jest operacją nieprzemienną:

Odjęcie macierzy zerowej nie zmienia wartości elementów:

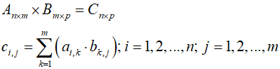
Mnożenie macierzy

Operacja mnożenia jest bardziej skomplikowana. Macierz B musi posiadać tyle wierszy, ile kolumn ma macierz A. W wyniku mnożenia macierzy A przez macierz B powstaje macierz C, która posiada tyle wierszy, ile ma macierz A, oraz tyle kolumn, ile ma macierz B. Każdy element macierzy C jest sumą iloczynów kolejnych wyrazów z wiersza macierzy A, który odpowiada wierszowi wyrazu z macierzy C, przez kolejne elementy z kolumny macierzy B, która odpowiada kolumnie wyrazu z macierzy C. Brzmi zawile, lecz zasada jest prosta. Aby ją zrozumieć, zastosujemy prosty schemat postępowania. Załóżmy, iż mamy macierze A3×4 i  B4×5 o następującej zawartości:

Wynikiem mnożenia dwóch macierzy jest nowa macierz, która posiada tyle wierszy, ile wierszy miała macierz A oraz tyle kolumn, ile kolumn miała macierz B. W naszym przypadku macierz ta będzie posiadała rozmiar 3 × 5, ponieważ macierz A posiada 3 wiersze, a macierz B posiada 5 kolumn. Zatem:

obrazek

Oznaczmy tę macierz jako C3×5. Po lewej stronie macierzy C umieszczamy macierz A, natomiast macierz B umieszczamy ponad macierzą C.

Obliczamy element c1,1 jako sumę iloczynów kolejnych elementów wiersza 1 macierzy A przez elementy kolumny 1 macierzy B:

                4 3 2 1 2  
                3 4 5 6 7  
                8 9 8 7 6  
                5 4 3 2 1  
  1 2 3 4       54   ?   ?   ?   ?  
  5 6 7 8       ? ? ? ? ?  
  9 8 7 6       ? ? ? ? ?  

c1,1 = (1 × 4) + (2 × 3) + (3 × 8) + (4 × 5) = 4 + 6 + 24 + 20 = 54

Wynika z tego fakt, iż macierz A  musi posiadać w wierszu tyle samo elementów, co macierz B w kolumnie. Zatem rozmiary tych macierzy nie mogą być dowolne, lecz muszą spełniać prosty warunek:

Podobnie obliczamy element c1,2 jako sumę iloczynów kolejnych elementów wiersza 1 macierzy A przez elementy kolumny 2 macierzy B:

                4 3 2 1 2  
                3 4 5 6 7  
                8 9 8 7 6  
                5 4 3 2 1  
  1 2 3 4       54 54   ?   ?   ?  
  5 6 7 8       ? ? ? ? ?  
  9 8 7 6       ? ? ? ? ?  

c1,2 = (1 × 3) + (2 × 4) + (3 × 9) + (4 × 4) = 3 + 8 + 27 + 16 = 54

Operację tę kontynuujemy aż do wyliczenia wszystkich elementów w wierszu 1 macierzy C:

                4 3 2 1 2  
                3 4 5 6 7  
                8 9 8 7 6  
                5 4 3 2 1  
  1 2 3 4       54 54 48 42 38  
  5 6 7 8       ? ? ? ? ?  
  9 8 7 6       ? ? ? ? ?  

c1,3 = (1 × 2) + (2 × 5) + (3 × 8) + (4 × 3)  = 2 + 10 + 24 + 12 = 48
c1,4 = (1 × 1) + (2 × 6) + (3 × 7) + (4 × 2) = 1 + 12 + 21 +   8 = 42
c1,5 = (1 × 2) + (2 × 7) + (3 × 6) + (4 × 1) = 2 + 14 + 18 +   4 = 38

Po wyliczeniu wiersza 1 macierzy C rozpoczynamy obliczanie elementów wiersza 2. Działania wykonujemy wg tego samego schematu – sumujemy iloczyny kolejnych elementów wiersza macierzy A przez kolejne elementy kolumny macierzy B.

                4 3 2 1 2  
                3 4 5 6 7  
                8 9 8 7 6  
                5 4 3 2 1  
  1 2 3 4       54 54 48 42 38  
  5 6 7 8       134 134 120 106 102  
  9 8 7 6       ? ? ? ? ?  

c2,1 = (5 × 4) + (6 × 3) + (7 × 8) + (8 × 5) = 20 + 18 + 56 + 40 = 134
c2,2 = (5 × 3) + (6 × 4) + (7 × 9) + (8 × 4) = 15 + 24 + 63 + 32 = 134
c2,3 = (5 × 2) + (6 × 5) + (7 × 8) + (8 × 3) = 10 + 30 + 56 + 24 = 120
c2,4 = (5 × 1) + (6 × 6) + (7 × 7) + (8 × 2) =   5 + 36 + 49 + 16 = 106
c2,5 = (5 × 2) + (6 × 7) + (7 × 6) + (8 × 1) = 10 + 42 + 42 +   8 = 102

Na koniec wyliczamy ostatni wiersz macierzy C według tego samego schematu postępowania:

                4 3 2 1 2  
                3 4 5 6 7  
                8 9 8 7 6  
                5 4 3 2 1  
  1 2 3 4       54 54 48 42 38  
  5 6 7 8       134 134 120 106 102  
  9 8 7 6       146 146 132 118 122  

c3,1 = (9 × 4) + (8 × 3) + (7 × 8) + (6 × 5) = 36 + 24 + 56 + 30 = 146
c3,2 = (9 × 3) + (8 × 4) + (7 × 9) + (6 × 4) = 27 + 32 + 63 + 24 = 146
c3,3 = (9 × 2) + (8 × 5) + (7 × 8) + (6 × 3) = 18 + 40 + 56 + 18 = 132
c3,4 = (9 × 1) + (8 × 6) + (7 × 7) + (6 × 2) =   9 + 48 + 49 + 12 = 118
c3,5 = (9 × 2) + (8 × 7) + (7 × 6) + (6 × 1) = 18 + 56 + 42 +   6 = 122

Rachunek skończony. Możemy zapisać:

Mnożenie dowolnej macierzy przez macierz jednostkową nie zmienia wartości elementów:

Możemy mnożyć kilka macierzy:

Jeśli są to macierze kwadratowe, to muszą posiadać ten sam stopień. Jeśli są to macierze prostokątne, to ich wymiary muszą spełniać odpowiednie warunki:

Macierz wynikowa posiada tyle wierszy, ile miała ich pierwsza macierz, oraz tyle kolumn, ile miała ich ostatnia macierz.

Mnożenie macierzy nie jest przemienne:

Mnożenie macierzy jest łączne:

Mnożenie macierzy jest rozdzielne względem dodawania:

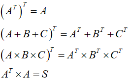
Transpozycja macierzy

Transpozycja macierzy polega na zamianie wierszy z kolumnami. Operację oznaczamy literką T w indeksie górnym. Transpozycja macierzy posiada następujące własności:

Transpozycja macierzy transponowanej daje macierz nietransponowaną.

Transpozycja sumy macierzy jest sumą ich transpozycji.

Transpozycja iloczynu macierzy jest iloczynem ich transpozycji.

Iloczyn macierzy transponowanej przez jej macierz podstawową daje macierz symetryczną.

Potęgowanie macierzy

Dla macierzy kwadratowej potęgowanie o wykładniku naturalnym definiujemy jako iloczyn:

 


do podrozdziału  do strony 

Wyznacznik macierzy

Wyznacznik (ang. determinant) macierzy jest funkcją, która przyporządkowuje macierzy kwadratowej o elementach rzeczywistych pewną liczbę rzeczywistą, której wartość jest związana ze wszystkimi elementami macierzy. Jeśli macierz jest stopnia 1 (posiada tylko jeden element), to wartość wyznacznika jest równa wartości elementu:

Inaczej stosujemy odpowiednie metody obliczania wyznacznika. Jedną z nich (niepraktyczną dla większych macierzy) jest metoda Laplace'a:

A macierz kwadratowa stopnia n
i wybrany wiersz macierzy, wg którego dokonujemy rozwinięcia Laplace'a
j kolejne numery kolumn w macierzy A
ai,j element macierzy A leżący w i-tym wierszu i w j-tej kolumnie
Mi,j minor elementu ai,j macierzy A

We wzorze pojawia się nowy element: minor Mi,j, który jest wyznacznikiem podmacierzy (macierzy zawartej w macierzy A) powstałej po  skreśleniu z macierzy A wiersza i-tego oraz kolumny j-tej.

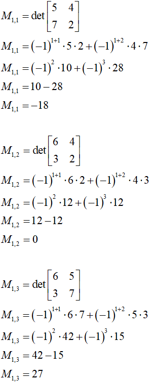
Przykład:

Mamy macierz A:

Minory tej macierzy są następujące:


 

 

 

 

 

 

 

 

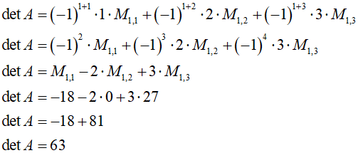
Wzór na obliczanie wyznacznika macierzy jest wzorem rekurencyjnym, ponieważ występują w nim minory, które rekurencyjnie wyliczamy tym samym wzorem. Dla przykładu policzymy rozwinięciem Laplace'a wyznacznik macierzy:

Do wyznaczenia wartości rozwinięcia Laplace'a wybierzemy pierwszy wiersz, w którym są elementy: 1, 2 i 3. Dla każdego z tych elementów określamy odpowiednie minory:

Obliczamy wartości minorów, czyli wyznaczniki odpowiednich podmacierzy:

Gdy obliczymy minory, obliczamy wyznacznik macierzy głównej:

Obliczanie wyznacznika metodą rozwinięcia Laplace'a jest bardzo pracochłonne i nie jest dzisiaj stosowane. Ręcznie też raczej wyznaczników się nie liczy. Ja wykorzystuję do tego celu aplikację MathCAD. W sieci znajdziesz strony z tzw. kalkulatorem wyznaczników, które wykonają dla ciebie odpowiednie obliczenia. Warto jednak poznać wzory obliczania wyznaczników macierzy drugiego i trzeciego stopnia:

Wyznacznik macierzy drugiego stopnia jest różnicą iloczynu wyrazów na przekątnej głównej i iloczynu wyrazów na antyprzekątnej.

Do obliczania wyznacznika macierzy trzeciego stopnia ma zastosowanie tzw. schemat Sarrusa. Zasada jest następująca:

Mamy macierz trzeciego stopnia, której wyznacznik liczymy:

Z prawej strony dopisujemy dwie pierwsze kolumny:

Sumujemy iloczyny wyrazów wzdłuż linii niebieskich. Od sumy odejmujemy iloczyny wyrazów wzdłuż linii czerwonych:


Jeśli macierz A jest macierzą trójkątną, to jej wyznacznik jest równy iloczynowi elementów na głównej przekątnej. A jeśli któryś z tych elementów jest równy zero, to bez liczenia wiemy, że wyznacznik ma też wartość 0.

Własności wyznacznika macierzy

Warto sobie zapamiętać poniższe własności wyznaczników macierzy:

Wyznacznik z n-tej potęgi macierzy A jest równy n-tej potędze wykładnika z A:

Wyznacznik macierzy transponowanej jest równy wyznacznikowi macierzy wejściowej:

Wyznacznik iloczynu macierzy jest równy iloczynowi ich wyznaczników:

Jeśli macierz posiada wiersz lub kolumnę zerową, to jej wyznacznik jest równy zero.

Jeśli macierz posiada dwa identyczne wiersze/kolumny, to jej wyznacznik jest równy zero.

Jeśli wiersz/kolumna macierzy powstaje jako kombinacja liniowa innych wierszy/kolumn, to jej wyznacznik jest równy zero.

Zamiana miejscami dwóch wierszy/kolumn powoduje zmianę znaku wyznacznika na przeciwny.

Jeśli elementy wiersza/kolumny przemnożymy przez liczbę c, to wyznacznik tej macierzy również pomnoży się przez c.

Zastosowanie wyznaczników

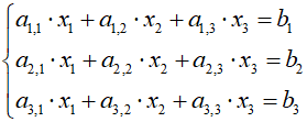
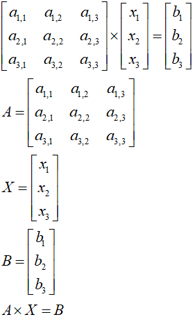
Wyznaczniki są stosowane do rozwiązywania układów równań liniowych (przy niezbyt dużej liczbie niewiadomych). Korzysta się tutaj z metody Cramera.

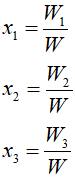
Załóżmy, że mamy układ 3 równań liniowych z 3 niewiadomymi:

Układ ten można zapisać w postaci macierzowej:

Rozwiązanie otrzymujemy następująco: Najpierw obliczamy wyznacznik macierzy A. Jeśli jest on różny od 0, to obliczamy 3 wyznaczniki macierzy A, w których kolejno zastąpiono kolumnę 1, 2 i 3 przez wektor kolumnowy B:

Poszukiwane niewiadome obliczamy ze wzorów:

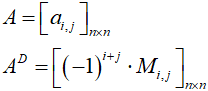
Macierz dopełnień

Macierz dopełnień powstaje z macierzy wejściowej przez zastąpienie wszystkich jej elementów ich minorami (minor elementu jest wyznacznikiem podmacierzy powstałej z macierzy A przez usunięcie z niej wiersza i kolumny, w których znajduje się dany element) pomnożonymi przez (-1) do potęgi równej sumie numeru wiersza i kolumny elementu.

Taki element nosi nazwę dopełnienia algebraicznego elementu macierzy wejściowej.

Na przykład, dla macierzy trzeciego stopnia wygląda to następująco:







Jak widzisz, obliczanie macierzy dopełnień jest żmudne i łatwo tu o pomyłkę. W praktyce wykorzystuje się kalkulatory macierzowe, dostępne w Internecie lub aplikacje w rodzaju MathCAD.

Macierz odwrotna

Macierz A jest macierzą odwracalną, jeśli istnieje taka macierz B, iż zachodzi:

Jeśli takiej macierzy nie ma, to macierz A jest macierzą nieodwracalną.

Macierz B nazywamy macierzą odwrotną do macierzy A, co zapisujemy jako:

Ponieważ macierz odwrotna pojawia się często w rachunku macierzowym, warto znać metodę jej obliczania (jednak praktycznie proponuję skorzystać z kalkulatorów rachunku macierzowego, których jest mnóstwo w Internecie). Obliczamy ją wg wzoru:

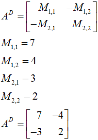
Najpierw obliczamy wyznacznik macierzy A. Jeśli jest równy 0, to macierz A nie posiada macierzy odwrotnej (we wzorze mamy dzielenie przez jej wyznacznik). W przeciwnym razie obliczamy macierz dopełnień, transponujemy ją i wszystkie jej elementy mnożymy przez odwrotność wykładnika macierzy A. Dla przykładu policzmy macierz odwrotną macierzy drugiego stopnia (łatwe obliczenia):

Ponieważ wyznacznik tej macierzy jest różny od zera, to istnieje macierz odwrotna. Obliczamy macierz dopełnień:

Macierz dopełnień transponujemy:

Obliczamy macierz odwrotną:

Sprawdzamy:

 


do podrozdziału  do strony 

Podsumowanie

Mnożenie macierzy przez skalar

obrazek

Dodawanie macierzy

obrazek

Odejmowanie macierzy

obrazek

Mnożenie macierzy

obrazek

Wyznacznik macierzy

A macierz kwadratowa stopnia n
i wybrany wiersz macierzy, wg którego dokonujemy rozwinięcia Laplace'a
j kolejne numery kolumn w macierzy A
ai,j element macierzy A leżący w i-tym wierszu i w j-tej kolumnie
Mi,j minor elementu ai,j macierzy A

Macierz dopełnień

Macierz odwrotna

obrazek

Więcej na temat macierzy i ich zastosowań znajdziesz w osobnych artykułach: "Struktury danych" i "Metody numeryczne".


do podrozdziału  do strony 

Zespół Przedmiotowy
Chemii-Fizyki-Informatyki

w I Liceum Ogólnokształcącym
im. Kazimierza Brodzińskiego
w Tarnowie
ul. Piłsudskiego 4
©2026 mgr Jerzy Wałaszek

Materiały tylko do użytku dydaktycznego. Ich kopiowanie i powielanie jest dozwolone pod warunkiem podania źródła oraz niepobierania za to pieniędzy.
Pytania proszę przesyłać na adres email: i-lo@eduinf.waw.pl
Serwis wykorzystuje pliki cookies. Jeśli nie chcesz ich otrzymywać, zablokuj je w swojej przeglądarce.

Informacje dodatkowe.