|
Wyjście Spis treści Wstecz Dalej
Autor artykułu |
©2026 mgr Jerzy Wałaszek
|
Logarytmy pojawiają się na matematyce w szkole średniej, jednak uczniowie ich bardzo nie lubią. Być może dlatego, iż wymagają pewnego myślenia. Logarytmy wymyślono ponad 400 lat temu. W sumie nie wiadomo, kto jako pierwszy dokonał tego odkrycia, gdyż wielu ówczesnych matematyków zajmowało się tą dziedziną. Za ojca logarytmów przyjmuje się zwykle angielskiego uczonego Johna Napiera. Co to zatem jest ten logarytm i do czego miał służyć?
Wypiszmy dwa ciągi liczbowe. U góry ciąg kolejnych liczb od 0. Na dole ciąg potęg, np. liczby 2:
| 0 | 1 | 2 | 3 | 4 | 5 | 6 | 7 | 8 | 9 | 10 |
| 1 | 2 | 4 | 8 | 16 | 32 | 64 | 128 | 256 | 512 | 1024 |
Zwróć uwagę na pewną szczególną cechę tej tabelki:
Weźmy dwie potęgi liczby 2, np. 23 = 8 i 26 = 64:
| 0 | 1 | 2 | 3 | 4 | 5 | 6 | 7 | 8 | 9 | 10 |
| 1 | 2 | 4 | 8 | 16 | 32 | 64 | 128 | 256 | 512 | 1024 |
Pomnóżmy je przez siebie:
Zaznaczmy ten wynik w naszej tabelce:
| 0 | 1 | 2 | 3 | 4 | 5 | 6 | 7 | 8 | 9 | 10 |
| 1 | 2 | 4 | 8 | 16 | 32 | 64 | 128 | 256 | 512 | 1024 |
Zapiszmy teraz to samo działanie tak:
| 8 = 23 64 =
26 8 · 64 = 23 · 26 = 512 = 29 = 23+6 |
Co z tego wynika? Mnożeniu liczb z dolnego rzędu odpowiada dodawanie liczb z górnego rzędu. Można zastąpić operację mnożenia przez operację dodawania! Jak? Jeśli mamy pomnożyć przez siebie dwie liczby w dolnym rzędzie, to najpierw znajdujemy dla nich w tej samej kolumnie wykładniki potęgowe. Wykładniki dodajemy do siebie i otrzymujemy wykładnik wynikowy. Teraz w kolumnie tego wykładnika odczytujemy liczbę z dolnego rzędu i mamy wynik mnożenia.
Po co tyle zachodu? Odpowiedź jest prosta: dodawanie jest dużo łatwiejsze i szybsze od mnożenia! To właśnie zauważyli matematycy w XVII wieku.
Zastosowań jest więcej. Na przykład chcesz szybko policzyć trzecią potęgę liczby 8. Odczytujesz dla niej wykładnik z górnego wiersza 3. Wykładnik mnożysz przez 3 i otrzymujesz 9. Dla 9 czytasz liczbę z dolnego wiersza: 512. Jest ona wynikiem potęgowania:
| 83 = (23)3 = 23·3 = 29 = 512 |
Tutaj zastąpiliśmy skomplikowaną operację potęgowania prostszym mnożeniem. Idźmy dalej. Chcesz policzyć pierwiastek kwadratowy z liczby 1024. Odczytujesz dla niej wykładnik 10. Wykładnik dzielisz przez 2 i dostajesz 5. W kolumnie wykładnika 5 odczytujesz liczbę z dolnego wiersza: 32. Jest to pierwiastek kwadratowy z 1024!

Znów skomplikowaną operację pierwiastkowania zastąpiliśmy prostszym dzieleniem.
Oczywiście nasza tabelka ma wiele wad: nie pozwala odczytywać wartości pośrednich, gdyż potęgi są liczbami całkowitymi. Niedogodności te usuwa tzw. suwak logarytmiczny, którym jeszcze kilkadziesiąt lat temu posługiwali się niemal wszyscy inżynierowie (sam korzystałem z takiego suwaka w szkole średniej – wtedy nie było kalkulatorów kieszonkowych, komórek ani komputerów, a ludzie byli znacznie mądrzejsi – niedowiarkom pokazuję książkę do "Zajęć z elektrotechniki w szkole podstawowej" Witolda Kozaka, szczeny ludziom opadają, a tak właśnie było zanim "lepsze" zniszczyło "dobre").

Cóż to zatem są te "logarytmy"? Definicja jest bardzo prosta, ale wymaga pełnego zrozumienia:
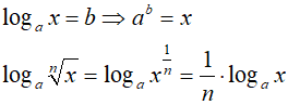
Logarytmem przy podstawie a różnej od 0 i 1 dodatniej liczby x jest taki wykładnik potęgowy b, że podstawa a podniesiona do potęgi b daje w wyniku liczbę x. Zapisujemy tę definicję następująco:

Podstawą logarytmów jest wybrana liczba dodatnia i różna od 1 (wszystkie potęgi 1 są równe 1, zatem 1 nie nadaje się na podstawę logarytmów). Jeśli podstawa jest równa 2, to mamy do czynienia z logarytmem dwójkowym. Aby policzyć logarytm z danej liczby x, należy sobie odpowiedzieć na pytanie: do jakiej potęgi muszę podnieś 2, aby otrzymać x. Jeśli uda ci się znaleźć odpowiedź, to policzysz logarytm, który jest właśnie tym wykładnikiem. Oto kilka przykładów prostych logarytmów dwójkowych:

Jeśli podstawą jest liczba 10, to mamy logarytm dziesiętny (podstawy 10 nie zapisujemy zwykle przy symbolu logarytmu):

Często podstawą logarytmów jest specjalna stała matematyczna e. Liczba e jest niewymierna, tzn. nie da się jej zapisać w postaci skończonego ułamka. Jej przybliżona wartość to 2,71828182... Logarytmy o podstawie e nazywamy logarytmami naturalnymi i oznaczamy je symbolem ln lub loge:

Dlaczego akurat taką dziwną wartość przyjęto za podstawę logarytmów? Istnieje kilka powodów. Stała ta pojawia się w wielu miejscach w matematyce. Jeśli ci to nie daje spokoju, przeczytaj artykuł w Wikipedii.
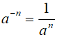
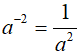
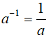
Aby dobrze zrozumieć operacje na logarytmach, musisz nauczyć się kilku podstawowych faktów z arytmetyki potęg:

Na ich podstawie można wyprowadzać następne:

Mnożenie potęg:

Przy mnożeniu potęg wykładniki się dodają. To właśnie zauważono w XVII wieku i na tej własności oparto budowę logarytmów.
Potęgowanie potęg:

Dzielenie potęg:

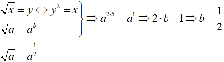
Pierwiastek kwadratowy:

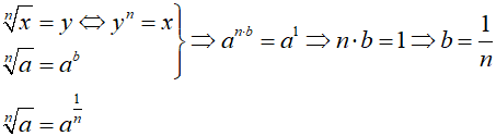
W podobny sposób wyprowadzamy wzór na pierwiastek dowolnego stopnia:

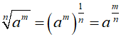
Zwróć uwagę, że otrzymaliśmy wykładniki ułamkowe, które odnoszą się do pierwiastków. Na koniec bardzo ważny wzór, który definiuje wymierne wykładniki potęgowe:

Arytmetyka logarytmów w rzeczywistości jest arytmetyką potęg, ponieważ logarytmy są wykładnikami potęgowymi. Zatem wszystkie zapisane powyżej własności odnoszą się również do logarytmów. Oto kilka przykładów:
| Własność potęg | Własność logarytmów | |
![]() |
![]() |
|
![]() |
![]() |
|
![]() |
![]() |
|
![]() |
![]() |
|
![]() |
![]() |
|
![]() |
![]() |
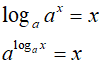
Przez logarytmowanie liczby x rozumiemy znajdowanie takiego wykładnika potęgowego b, że:

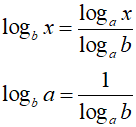
Jeśli taki wykładnik istnieje, to mówimy, że jest on logarytmem przy podstawie a z liczby x.
Wyprowadzimy teraz kilka ważnych wzorów, które powinieneś nauczyć się na pamięć. Będziemy rozważać algorytmy przy podstawie a, która jest dodatnia (czyli większa od zera) oraz różna od 1. Czy potrafiłbyś uzasadnić to założenie?
Najpierw kilka rzeczy oczywistych, które wynikają bezpośrednio z definicji logarytmu:

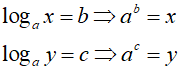
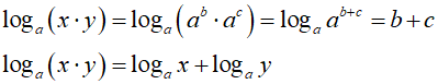
Mamy dwie dodatnie liczby x i y. Załóżmy, iż znamy ich logarytmy:

Logarytm iloczynu tych liczb jest równy:



Ze wzoru tego wynika bezpośrednio wzór na logarytm pierwiastka:

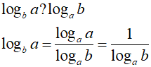
Zadanie jest następujące. Znamy logarytm przy podstawie a z liczby x. Chcemy przeliczyć ten logarytm na logarytm o podstawie b. Zapiszmy:

W jakiej zależności są ze sobą logarytmy:


Powyższe wzory ułatwiają obliczanie wartości algorytmów (w sumie w dzisiejszych czasach można do tego celu wykorzystać kalkulator, arkusz kalkulacyjny lub aplikację MathCAD, lecz czasem przydają się działania algebraiczne na logarytmach, gdy musimy przekształcać wzory). Poniżej przykłady obliczania wartości logarytmów:


Równanie logarytmiczne jest równaniem, gdzie niewiadoma x jest w jakiś sposób powiązana z logarytmem. Na przykład:

Równanie rozwiązujemy za pomocą podanych powyżej własności potęg i logarytmów:

Inny przykład:

Jeśli przeraża cię samodzielne rozwiązywanie równań logarytmicznych, zainwestuj w program MathCAD (tutaj alternatywa dla biednych studentów). Ja z tego narzędzia korzystam przy wszelkich obliczeniach matematycznych, nie mam po prostu czasu na żmudne wyprowadzanie rozwiązań. Jednak zanim zaczniesz korzystać z takich pomocy, powinieneś wiedzieć, co liczysz. Inaczej łatwo o pomyłkę (MathCAD obliczenia wykona, ale mózgu ci nie zastąpi).






![]() |
Zespół Przedmiotowy Chemii-Fizyki-Informatyki w I Liceum Ogólnokształcącym im. Kazimierza Brodzińskiego w Tarnowie ul. Piłsudskiego 4 ©2026 mgr Jerzy Wałaszek |
Materiały tylko do użytku dydaktycznego. Ich kopiowanie i powielanie jest dozwolone pod warunkiem podania źródła oraz niepobierania za to pieniędzy.
Pytania proszę przesyłać na adres email:
Serwis wykorzystuje pliki cookies. Jeśli nie chcesz ich otrzymywać, zablokuj je w swojej przeglądarce.
Informacje dodatkowe.