|
Wyjście Spis treści Wstecz Dalej
Autor artykułu |
©2026 mgr Jerzy Wałaszek
|
Magnetyzm (ang. magnetism) jest kolejną własnością materii. Jest to ogół zjawisk związanych z polami magnetycznymi i ich oddziaływaniami. Pole magnetyczne powstaje wokół poruszających się ładunków elektrycznych oraz ciał stałych zwanych magnesami. Mamy wtedy do czynienia zarówno z polem elektrycznym ładunku jak polem magnetycznym, które powstaje przy jego ruchu. Przez pole magnetyczne będziemy rozmieć przestrzeń, w której występują oddziaływania magnetyczne. Magnetyzm jest dziedziną bardzo obszerną i trudną. Tutaj podamy tylko kilka podstawowych faktów. Resztę zdobędziesz przerabiając dobry kurs fizyki.
Człowiek bardzo dawno temu zetknął się z magnesami naturalnymi. Ludy starożytne używały ich do określania kierunków magnetycznych Ziemi. Ziemia sama jest olbrzymim magnesem. Skąd się bierze pole magnetyczne w magnesach? Według dzisiejszych teorii pochodzi z ruchów ładunków elektrycznych na poziomie subatomowym. Ciała magnetyczne posiadają zawsze dwa bieguny magnetyczne. Jeśli takie ciało podzielimy na dwie części to wciąż otrzymamy dwa ciała o dwóch biegunach (istnienie cząstek o jednym biegunie magnetycznym, tzw. monopoli, przewiduje teoria kwantowa, jednakże dotąd ich nie spotkano). Co więcej, bieguny te będą przeciwne oraz będą posiadały równą siłę przyciągania. To jedna z podstawowych różnic w porównaniu z polem elektrycznym. Pole magnetyczne jest polem biegunowym, a linie sił tworzą krzywe zamknięte.

Przez biegun magnetyczny będziemy rozumieć ten punkt przestrzeni, w którym oddziaływania magnetyczne są najsilniejsze. Pole magnetyczne daje się łatwo zaobserwować. Na magnes sztabkowy kładziemy kartkę papieru i posypujemy ją drobnymi opiłkami żelaznymi. Żelazo jest materiałem magnetycznym i reaguje na pole magnetyczne. Opiłki ustawią się wzdłuż linii pola magnetycznego wytwarzanego przez magnes (czasem należy kartką delikatnie potrząsnąć):

Bieguny magnetyczne (ang. magnetic poles) oznaczamy zgodnie z biegunami Ziemi. Otrzymały one nazwy odpowiednio: biegun północny (N - ang. North) i południowy (S - ang. South). Jeśli weźmiemy dwa magnesy i spróbujemy zbliżyć do siebie ich bieguny, to okaże się, że (podobnie jak ładunki elektryczne) bieguny jednoimienne odpychają się, a bieguny różnoimienne przyciągają się:

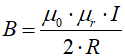
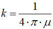
Dla magnesów obowiązuje prawo Coulomba, które posiada podobną formę jak dla ładunków elektrycznych:
![]() |
|
F – siła przyciągania lub odpychania
się biegunów magnetycznych k – współczynnik proporcjonalności qm – moc bieguna magnetycznego d – odległość pomiędzy biegunami magnetycznymi |
Zgodnie z tym prawem, siła magnetyczna maleje do kwadratu odległości pomiędzy biegunami magnesów. Stała k wyraża się wzorem:
![]() |
| μ – przenikalność magnetyczna ośrodka |
Zwykle podaje się względną przenikalność magnetyczną:
![]() |
|
μr
– przenikalność magnetyczna ośrodka względem
przenikalności próżni μ0 – przenikalność magnetyczna próżni |
Wzór na siłę magnetyczną przyjmuje postać:

Względna przenikalność magnetyczna jest liczbą bezwymiarową (jednostki pozostałych wielkości magnetycznych podamy dalej w tym rozdziale). W zależności od wartości μr materiały dzielimy na:
Pole magnetyczne jest obszarem przestrzeni, w którym pojawiają się siły magnetyczne. Siły te oddziałują na ciała paramagnetyczne (szczególnie na ferromagnetyki) oraz na ruchome ładunki elektryczne. Co więcej, okazało się, że źródłem pola są właśnie ładunki ruchome. Do opisu pola magnetycznego stosujemy pojęcie wektora indukcji magnetycznej, który określamy za pomocą siły działającej na poruszający się ładunek elektryczny:

We wzorze tym siła jest wektorem, który powstaje jako iloczyn wektorowy prędkości ładunku i indukcji pola magnetycznego. Iloczyn wektorowy jest zawsze prostopadły do mnożonych wektorów. Powstającą siłę nazywamy siłą Lorentza. Indukcja magnetyczna wyznacza linie pola magnetycznego.
Zwrot wektora siły określamy stosując regułę lewej dłoni (reguła Fleminga):
Lewą dłoń ustawiamy, tak aby wektor indukcji był skierowany do jej wnętrza, a palce wskazywały kierunek i zwrot wektora prędkości ładunku elektrycznego. Wtedy kciuk wskaże zwrot wektora siły:
Wartość siły liczymy wg wzoru:

Gdzie kąt α jest kątem pomiędzy wektorem prędkości a wektorem indukcji magnetycznej. Siła magnetyczna jest największa, jeśli wektor prędkości ładunku elektrycznego jest prostopadły do wektora indukcji magnetycznej. Oznaczmy tę siłę przez Fmax. Wtedy wartość indukcji (moduł wektora indukcji magnetycznej) obliczymy wg wzoru:

A stąd otrzymujemy jednostkę indukcji magnetycznej:

Jednostkę indukcji magnetycznej nazwano teslą (T) od nazwiska znanego wynalazcy pochodzenia serbskiego, Nikola Tesli. Jedna tesla jest indukcją pola magnetycznego, które na ładunek elektryczny 1 kulomba poruszający się prostopadle do linii pola magnetycznego z prędkością jednego metra na sekundę oddziałuje z siłą jednego niutona.
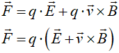
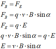
Pod pojęciem pola elektromagnetycznego rozumiemy jednoczesne występowanie w tym samym obszarze przestrzeni pola elektrycznego oraz pola magnetycznego. Na ładunek elektryczny znajdujący się w polu elektromagnetycznym działają dwie siły: jedna pochodząca od pola elektrycznego, a druga pochodząca od pola magnetycznego:

W fizyce uważa się, że pole magnetyczne jest odmianą pola elektrycznego, ponieważ istnieją pomiędzy nimi ścisłe zależności – często używa się terminu pole elektromagnetyczne (ang. electro-magnetic field).
Oprócz indukcji magnetycznej często przy opisie pól magnetycznych korzysta się z natężenia pola magnetycznego. Indukcję i natężenie łączy prosty wzór:
![]() |
– wektor indukcji magnetycznejμ0 – przenikalność magnetyczna próżni μr – względna przenikalność magnetyczna ośrodka – wektor natężenia pola magnetycznego |
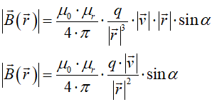
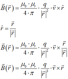
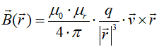
Określmy teraz pole magnetyczne, które wytwarza poruszający się w próżni ładunek elektryczny. Indukcję magnetyczną w punkcie P obliczamy ze wzoru:

![]() |
– wektor indukcji magnetycznejμ0 – przenikalność magnetyczna próżni μr – względna przenikalność magnetyczna ośrodka q – ładunek elektryczny
– wektor prędkości ładunku elektrycznego
– wektor położenia – wersor położenia |
Wektor indukcji magnetycznej jest zawsze prostopadły do wektorów prędkości i położenia, co wynika bezpośrednio z iloczynu wektorowego. Wokół poruszającego się ładunku elektrycznego powstaje wirowe pole magnetyczne: dla stałego modułu r i kąta α pomiędzy wektorami prędkości i położenia moduł indukcji magnetycznej jest stały:

Wynika z tego
również wniosek, że dla danego modułu wektora położenia moduł
wektora indukcji magnetycznej przyjmuje największą wartość, gdy
wektor położenia
jest prostopadły do wektora prędkości
indukcja przyjmuje wartość 0

Kierunek linii pola magnetycznego (do których są styczne wektory indukcji magnetycznej) ustalamy regułą prawej dłoni: Zwijamy prawą dłoń i kciukiem wskazujemy kierunek prędkości ruchu ładunku. Zwinięte palce wskażą zwroty wektorów indukcji.
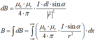
Jeśli przez przewodnik płynie prąd elektryczny, to ruch ładunków wywołuje wokół tego przewodnika pole magnetyczne. Aby wyprowadzić wzór na wartość indukcji w dowolnym punkcie przestrzeni wokół takiego przewodnika, musimy posłużyć się rachunkiem całkowym. Najpierw omówimy krótko prawo Biota-Savarta. Odnosi się ono do pola magnetycznego tworzonego przez mały wycinek przewodnika, przez który przepływa prąd elektryczny.
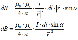
Załóżmy, że posiadamy nieskończenie mały wycinek dl przewodnika z prądem I. Chcemy w punkcie P policzyć indukcję magnetyczną pola, które powstaje w wyniku przepływu prądu przez ten wycinek:

Od środka elementu z prądem prowadzimy wektor położenia do punktu P. Długość elementu traktujemy jako wektor (wyznacza on kierunek i zwrot przepływającego prądu). Pamiętamy, że wektor indukcji magnetycznej jest prostopadły do wektorów prędkości oraz położenia, tutaj będzie prostopadły do wektorów długości i położenia:

Przepływający prąd niesie z sobą ładunek elektryczny. Wartość chwilowa prądu wyraża się wzorem:

Z kolei prędkość chwilowa to:

Dokonujemy odpowiednich podstawień:

Otrzymaliśmy na końcu prawo Biota-Savarta, które pozwala obliczyć indukcję magnetyczną dla małego wycinka przewodnika z prądem elektrycznym. Powstałe pole jest polem wirowym (jego linie tworzą zamknięte okręgi wokół prostej zawierającej wycinek przewodnika). Zwrot wektora indukcji otrzymamy stosując regułę prawej dłoni: kciukiem wskazujemy kierunek przepływu prądu, a zwinięte palce wskażą nam kierunki wektorów indukcji. W rozważanym przypadku wektor indukcji biegnie od ekranu w kierunku czytelnika.
Prawo Biota-Savarta można też zapisać w postaci skalarnej:

Kąt α jest pomiędzy wektorem długości segmentu a
wektorem położenia. Ze wzoru tego wynika od razu, że indukcja na
prostej zawierającej wektor długości segmentu jest równa zero,
ponieważ kąt α
przyjmuje wartość 0 i
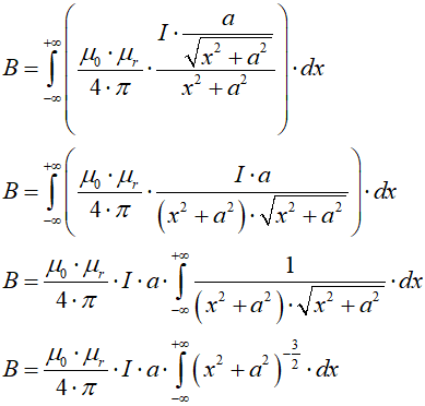
Mamy prostoliniowy, nieskończenie długi przewód z prądem. Chcemy policzyć indukcję magnetyczną w dowolnym punkcie P pola wytworzonego przez przepływający przez ten przewodnik prąd. Ustawmy przewód, tak aby oś OX przebiegała przez jego środek, kierunek przepływu prądu był zgodny z kierunkiem osi OX, a punkt P znalazł się na osi OY. Nie tracimy nic na ogólności, ponieważ za pomocą prostych transformacji geometrycznych (przesunięcie i obrót) możemy każdy przewód prostoliniowy sprowadzić do tak określonego układu współrzędnych.

Wyznaczamy w odległości x mały wycinek przewodnika o długości dx. Od tego punktu prowadzimy wektor położenia do punktu P na osi OY. Oznaczmy współrzędną y punktu P przez a:

Zwróć uwagę, że bez względu na położenie wycinka dx przewodu indukcja magnetyczna w punkcie P ma ten sam kierunek i zwrot (reguła prawej ręki). Dla tego przykładu jest skierowana pionowo od obrazka w kierunku czytelnika. Skoro tak, to całkowita indukcja magnetyczna od wszystkich segmentów dx jest sumą indukcji cząstkowych:

Mamy tutaj jednak problem, ponieważ we wzorze wielkości

Podstawiamy je do wzoru całki, otrzymując:

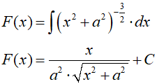
Zatem cały problem sprowadza się do rozwiązania otrzymanej całki niewłaściwej. Najpierw znajdujemy funkcję pierwotną tej całki:

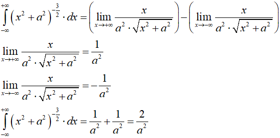
Teraz liczymy wg wzoru Newtona-Leibniza:

Podstawiamy wynik do wzoru podstawowego i otrzymujemy:

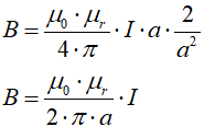
Odcinek a jest prostopadły do przewodu, zatem nazwijmy go promieniem r i powiedzmy, że w promieniu r wokół nieskończenie długiego przewodu z prądem indukcja magnetyczna ma wartość:


Wokół przewodnika z prądem powstaje wirowe pole magnetyczne, którego linie tworzą zamknięte okręgi wokół przewodu. Wektory indukcji magnetycznej są styczne do tych okręgów. Ich zwroty określamy regułą prawej ręki (kciuk wzdłuż kierunku prądu, zwinięte palce pokazują zwrot indukcji). Indukcja magnetyczna jest odwrotnie proporcjonalna do promienia.
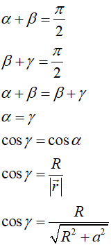
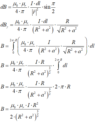
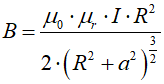
Utwórzmy z przewodnika pętlę w kształcie okręgu o promieniu R. Układ współrzędnych ustawmy, tak aby oś pętli była zgodna z osią OY, a środek pętli znalazł się w środku układu współrzędnych. Na osi OY wybierzmy sobie punkt P, który leży w odległości a od początku układu współrzędnych:

Indukcja magnetyczna w punkcie P będzie pochodziła od prądu płynącego w pętli oraz w przewodach doprowadzających prąd do pętli. Jeśli przewody te będą ułożone blisko siebie, to powstała od nich indukcja magnetyczna będzie się nawzajem znosić, zatem możemy je pominąć. Pozostaje tylko pętla. Do wyznaczenia indukcji w punkcie P posłużymy się prawem Biota-Savarta. Na pętli wyznaczymy mały wycinek o długości dl. Od środka tego wycinka poprowadzimy wektor położenia do punktu P. Zwrot indukcji magnetycznej otrzymamy z reguły prawej ręki:


Dokonajmy pewnego spostrzeżenia, które znacznie uprości nasze obliczenia. Otóż dodajmy wektory indukcji magnetycznej od dwóch przeciwległych segmentów pętli. W tym celu narysujmy inny widok. w którym pętla leży prostopadle do płaszczyzny rysunku OYZ. Wybrane segmenty będą w górnym i dolnym położeniu (są prostopadłe do płaszczyzny rysunku):

Pionowe składowe wektorów indukcji magnetycznej znoszą się przy dodawaniu. Pozostają jedynie ich składowe poziome. Zatem dodając wektory indukcji od poszczególnych wycinków pętli otrzymamy wektor indukcji, który leży w osi OY. Możemy zatem zapisać:

Teraz przyjrzyjmy się kątom:

Zatem:

Wykorzystujemy prawo Biota-Savarta w postaci skalarnej (wektor położenia jest prostopadły do wektora długości, dlatego sinus kata pomiędzy nimi jest tutaj równy 1 i możemy go pominąć we wzorze) i piszemy:

W środku pętli

Podane tutaj przykłady pokazują, że z prostego prawa Biota-Savarta daje się wyliczyć parametry pola magnetycznego pochodzące od dowolnie ukształtowanego przewodnika z prądem. Nie oznacza to, że same obliczenia są proste (np. spróbuj wyznaczyć indukcję magnetyczną od pętli z prądem w dowolnym punkcie przestrzeni wokół tej pętli), ponieważ wymagają rachunku całkowego, lecz są możliwe do wykonania.
Jeśli w polu magnetycznym umieścimy przewodnik z prądem, to na ten przewodnik zacznie działać siła:

Skąd się ta siła bierze? Pokazaliśmy w poprzednim podrozdziale, że przewodnik z prądem sam staje się magnesem i wytwarza wokół siebie wirowe pole magnetyczne. Pole to oddziałuje z polem magnetycznym, w którym znalazł się przewodnik i powstaje siła, podobnie jak przy zbliżaniu do siebie dwóch magnesów:

Z jednej strony przewodnika wektory indukcji pola zewnętrznego i pola wirowego są zgodne i się dodają, co powoduje zagęszczenie linii sił pola magnetycznego (na rysunku powyżej jest to prawa strona). Z drugiej strony przewodnika wektory te posiadają zwroty przeciwne i się odejmują (na rysunku powyżej jest to strona lewa), co z kolei osłabia pole magnetyczne. W efekcie ta różnica pól powoduje powstanie siły wypychającej przewód z prądem w kierunku pola słabszego. Kierunek siły możemy określić podaną wcześniej regułą lewej dłoni: dłoń ustawiamy, tak aby linie pola magnetycznego (wektory indukcji magnetycznej) wpływały do wnętrza dłoni, palce kierujemy wzdłuż przepływu prądu w przewodniku, odciągnięty kciuk wskaże kierunek i zwrot działania siły. Pozostaje nam określić wartość tej siły. Wychodzimy z podstawowego wzoru na siłę, z jaką pole magnetyczne oddziałuje na poruszający się ładunek:
![]() |
|
F – siła oddziaływania pola
magnetycznego na ładunek q – wartość ładunku v – prędkość ładunku B – indukcja magnetyczna pola α – kąt pomiędzy wektorem prędkości a wektorem indukcji |
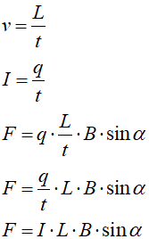
Jeśli przewodnik jest prostoliniowym przewodem o długości L, to możemy zapisać:

Siła zależy od wartości natężenia prądu elektrycznego,
długości przewodnika, indukcji magnetycznej pola i od kąta, jaki
tworzy przewód z liniami pola magnetycznego (w
zasadzie kąt ten odnosi się do wektora indukcji i kierunku oraz
zwrotu prądu, lecz zakładamy, że prąd płynie zawsze wzdłuż
przewodu). Jeśli ustawimy przewód równolegle do linii, to sinus kąta
Opisana własność jest wykorzystywana w silnikach elektrycznych.
Jeśli przewodnik porusza się w polu magnetycznym tak, iż przecina linie tego pola, to powstaje na jego końcach różnica potencjałów, czyli napięcie elektryczne. Jeśli zamkniemy obwód, to popłynie w nim prąd elektryczny. Dlaczego tak się dzieje? Jeśli przeczytałeś ze zrozumieniem poprzednie dwa podrozdziały, to wiesz, że na poruszający się w polu magnetycznym ładunek elektryczny działa siła Lorentza. Przesuwając przewodnik w poprzek linii sił pola magnetycznego, wprawiamy w ruch znajdujące się w nim ładunki elektryczne. Skoro ładunki się poruszają, to zaczyna na nie działać siła Lorentza pochodząca od pola magnetycznego.

Siła ta powoduje odpłynięcie ładunków w jeden z końców przewodnika. W drugim końcu powstanie niedomiar ładunków. Różnica w gęstości ładunków wywołuje różnicę potencjałów, zatem w przewodniku powstaje SEM. Aby wyliczyć wartość tej siły musimy przyjrzeć się siłom, które oddziałują na ładunki w przewodzie poruszającym się w polu magnetycznym.

Pod wpływem ruchu ładunku w polu magnetycznym działa na niego siła:

Ładunki dodatnie i ujemne przemieszczają się do przeciwnych końców przewodu. Powstaje różnica potencjałów, która wywołuje wewnątrz przewodnika pole elektryczne o natężeniu E:

Pole to oddziałuje na ładunki z siłą:

Siła ta jest skierowana przeciwnie do siły FB. Gdy obie siły się zrównają co do modułów, wystąpi stan równowagi (wypadkowa siła 0). Możemy wtedy zapisać:

Powstałe pole elektryczne jest polem jednorodnym. Dla pola jednorodnego obowiązuje:

A stąd mamy wzór na wartość powstałego napięcia USEM:

Opisana własność jest wykorzystywana do wytwarzania prądu elektrycznego w maszynach zwanych prądnicami.
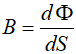
Strumień magnetyczny (ang. magnetic flux) zwany również strumieniem indukcji magnetycznej odnosi się do pola magnetycznego przepływającego (przechodzącego) przez pewną powierzchnię. Jeśli pole magnetyczne jest jednorodne (w każdym punkcie rozważanej przestrzeni indukcja posiada ten sam kierunek, zwrot i moduł), to strumień magnetyczny definiujemy jako iloczyn skalarny wektora indukcji magnetycznej oraz wektora normalnego (prostopadłego) do powierzchni o module równym tej powierzchni:


Jeśli wektory indukcji i normalnej do powierzchni S są równoległe, to cosinus kata pomiędzy nimi ma wartość 1 i wzór na strumień magnetyczny upraszcza się do poniższej postaci:

Jednostką strumienia magnetycznego jest weber:

Strumień indukcji magnetycznej Φ jest wielkością skalarną. Strumień jest maksymalny, jeśli wektor indukcji magnetycznej jest prostopadły do powierzchni, przez którą strumień przepływa. Strumień magnetyczny przyjmuje wartość 0, jeśli wektor indukcji jest równoległy do powierzchni przepływu (wtedy po prostu żaden strumień nie przepływa).
Jeśli powierzchnia nie jest płaska, to do wyznaczenia strumienia magnetycznego musimy posłużyć się rachunkiem całkowym:

We wzorze tym dS jest wektorem normalnym do nieskończenie małego wycinka powierzchni S. Z pierwszego wzoru można określić wartość indukcji magnetycznej, jeśli znamy rozkład strumienia magnetycznego na danej powierzchni:

W tym ujęciu indukcję magnetyczną nazywamy gęstością strumienia magnetycznego. Wzór ten wiąże jednostkę indukcji magnetycznej z jednostką strumienia magnetycznego:

![]() |
|
F – siła przyciągania lub odpychania
się biegunów magnetycznych k – współczynnik proporcjonalności qm – moc bieguna magnetycznego d – odległość pomiędzy biegunami magnetycznymi |
![]() |
|
F – siła działająca na ładunek
elektryczny q q – wartość ładunku v – prędkość ładunku B – indukcja magnetyczna pola E – natężenie pola elektrycznego |
![]() |
– indukcja magnetycznaμ0 – przenikalność magnetyczna próżni μr – względna przenikalność magnetyczna ośrodka – natężenie pola magnetycznego |
![]() |
– wektor indukcji magnetycznejμ0 – przenikalność magnetyczna próżni μr – względna przenikalność magnetyczna ośrodka q – ładunek elektryczny
– wektor prędkości ładunku elektrycznego
– wektor położenia |








![]() |
Zespół Przedmiotowy Chemii-Fizyki-Informatyki w I Liceum Ogólnokształcącym im. Kazimierza Brodzińskiego w Tarnowie ul. Piłsudskiego 4 ©2026 mgr Jerzy Wałaszek |
Materiały tylko do użytku dydaktycznego. Ich kopiowanie i powielanie jest dozwolone pod warunkiem podania źródła oraz niepobierania za to pieniędzy.
Pytania proszę przesyłać na adres email:
Serwis wykorzystuje pliki cookies. Jeśli nie chcesz ich otrzymywać, zablokuj je w swojej przeglądarce.
Informacje dodatkowe.