|
Wyjście Spis treści Wstecz Dalej
Autor artykułu |
©2026 mgr Jerzy Wałaszek
|
Elektryczność (ang. electricity) przez długi czas pozostawała dla ludzi czymś tajemniczym i niezbadanym. Jednak ze zjawiskami elektrycznymi człowiek miał do czynienia od początku swojej historii. Burze z piorunami wywoływały pierwotny strach u naszych praprzodków. Przypisywano im boskie własności. Na przykład, Zeus, grecki bóg zwany gromowładnym, przedstawiany był często z błyskawicą w dłoni, którą śmiertelnie raził swoich wrogów i niewiernych.

Bursztyn, potarty o szmatkę, przyciąga drobne obiekty. Grecy nazywali ten kamień elektronem, skąd pochodzi nazwa elektryczność. Oczywiście od obserwowania zjawisk do poznania ich przyczyny wiedzie bardzo długa droga. Elektryczność zaczęto poważnie badać dopiero na początku XVII wieku. Wielu naukowców śledziło zjawiska elektryczne i wyciągało z tych obserwacji wnioski. Poznano własności elektryczności, opracowano różne modele matematyczne, które pozwalają przewidywać wyniki zjawisk elektrycznych, a w końcu nauczono się jej używać. Możemy śmiało stwierdzić, że cywilizacja XXI w. jest cywilizacją elektryczności. Ta elektryczność otacza nas ze wszystkich stron. Dzięki niej mamy światło, ciepło, pociągi, windy, komputery, telefony, lodówki, telewizję, przemysł, itd. Awaria linii energetycznych powoduje paraliż ośrodków miejskich na miarę kataklizmu. Bez elektryczności nie potrafimy już sobie wyobrazić życia.
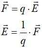
Podstawowym pojęciem elektryczności jest ładunek elektryczny (ang. electric charge), który zwyczajowo oznaczamy literką q. Czym jest ładunek? W sumie to nie wiadomo – jedne cząstki go mają, inne nie (istnieje teoria kwarków, która tłumaczy ten fakt, lecz wciąż nie wyjaśnia istoty ładunku elektrycznego). Powiedzmy sobie, że jest to pewna własność materii w naszym wszechświecie, którą obserwujemy. Z naszych obserwacji wynika, że ładunki elektryczne występują w dwóch postaciach oznaczanych jako dodatnie +q oraz ujemne -q (jest to oznaczenie umowne, ładunki ujemne nie są wcale "mniejsze" lub "gorsze" od dodatnich).

Ładunki elektryczne zmieniają wokół siebie przestrzeń, tworząc otaczające je pole elektryczne (ang. electric field). Pole to rozciąga się teoretycznie nieskończenie daleko. W praktyce szybko zanika (z kwadratem odległości).
![]() |
![]() |
W polu elektrycznym występują siły elektrostatyczne (ang. electrostatic forces), które oddziałują na ładunki elektryczne znajdujące się w tym polu. Odkryto, że ładunki tego samego rodzaju się odpychają, natomiast ładunki przeciwne się przyciągają.

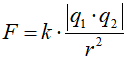
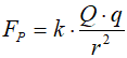
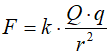
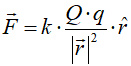
Siła przyciągająca zależy od własności elektrycznych ośrodka k, wielkości ładunków q1 i q2 oraz od kwadratu odległości miedzy nimi r. Wzór jest następujący:

Zatem siła ta maleje z kwadratem odległości pomiędzy ładunkami. Gdy odległość ta wzrośnie 10 razy, to siła oddziaływania elektrostatycznego zmaleje 100 razy. Prawo to określił francuski fizyk Charles Coulomb w 1785 roku i dlatego znane jest pod nazwą prawa Coulomba. To jedno z podstawowych praw w fizyce. Wyprowadzono je z wyników doświadczeń. Jest to prawo empiryczne (doświadczalne).
Siła elektrostatyczna jest wektorem zaczepionym w środku ładunku i leżącym na prostej przechodzącej przez środki obu ładunków (dla dwóch ładunków). Zwrot zależy od znaku obu ładunków. Jeśli znaki są takie same, siła jest skierowana na zewnątrz i powoduje odpychanie się ładunków. Jeśli znaki są różne, siła skierowana jest do wewnątrz i powoduje przyciąganie się ładunków.
Za ładunek elementarny q przyjmuje się zwykle wartość ładunku, którą posiada elektron e. Elektron to cząstka elementarna materii, którą nazywamy nośnikiem ładunku elektrycznego (ang. electric charge carrier). Posiada ładunek ujemny e-. Jest to jednostka bardzo mała. W praktyce stosuje się jednostkę nazwaną kulombem na cześć francuskiego fizyka. Kulomb oznaczamy symbolem C.
Jako wielkość fizyczną ładunek elektryczny jest oznaczany dużą literą Q. Przez q rozumiemy zwykle ładunek elementarny lub punktowy. Natomiast Q jest całkowitym ładunkiem ciała o dowolnym kształcie. Dla takich ciał wyznaczenie sił elektrostatycznych jest skomplikowane i wymaga zaawansowanego rachunku całkowego. Tym chwilowo się nie przejmuj. Przyjdzie na to czas na studiach wyższych.
Na fizyce na pewno uczyłeś o o modelu atomowym Bohra. Pozwala on zrozumieć budowę atomu oraz pewne fakty, które obserwuje się w fizyce. Otóż Bohr porównał atom do układu słonecznego. W centrum umieścił jądro, wokół którego krążą po orbitach elektrony jak planety. Cóż, jest to na pewno duże uproszczenie, a rzeczywistość jest nieco inna. Jednakże na początek wystarczy.

Jądro atomu zbudowane jest z n protonów i ma ładunek Qp równy ne+. W jądrze mogą się również znaleźć cząstki nie posiadające ładunku elektrycznego, zwane neutronami. Te nas tutaj nie interesują. Jeśli wokół jądra krąży n elektronów, to mają one ładunek Qe równy ne-. Ładunki Qp i Qe znoszą się wzajemnie czyniąc atom obojętnym elektrycznie. Może się jednak zdarzyć, że atom utraci któryś ze swoich elektronów, np. jeśli uderzy w niego inna cząstka elementarna i wybije elektron z orbity. W takim przypadku wokół jądra atomu będzie krążyło mniej elektronów i ich ładunek Qe stanie się mniejszy od ładunku protonów Qp w jądrze. Ładunki elektronów i protonów przestaną się równoważyć i atom stanie się aktywny elektrycznie tak, jakby posiadał ładunek e+. Mówimy wtedy, że stał się jonem dodatnim, czyli kationem. Kationy są przyciągane przez ładunki ujemne.
Może również zdarzyć się sytuacja odwrotna: atom przechwyci przelatujący obok niego elektron swobodny (czyli taki, który nie krąży wokół innego atomu), a ten zacznie krążyć wokół jądra atomu. Teraz elektronów będzie więcej od protonów i atom zacznie zachowywać się tak, jakby miał ładunek e-. Stanie się jonem ujemnym, czyli anionem. Aniony są przyciągane przez ładunki dodatnie. Jednostkę ładunku definiujemy za pomocą ładunku elementarnego :
| 1C = 6,24150636309402780020e |
Zakładam, że orientujesz się już, czym jest ładunek elektryczny (jeśli nie, przeczytaj poprzedni podrozdział). Teraz omówimy bardzo ważne pojęcie elektryczne: potencjał elektryczny (ang. electric potential).
Ładunek Q wytwarza wokół siebie pole elektryczne. Jeśli Q jest ładunkiem punktowym (czyli takim, którego wymiary można w rozważaniach pominąć), to powstałe pole jest polem centralnym.

Umieśćmy w pewnym punkcie P tego pola ładunek próbny q (przez ładunek próbny rozumiemy tak mały ładunek dodatni, że nie zmienia on parametrów pola elektrycznego, w którym został umieszczony). Niech ten ładunek będzie w odległości r od ładunku Q.

Ładunek próbny q ma w punkcie P pola elektrycznego energię potencjalną EP. Energia potencjalna w punkcie P jest pracą, jaką należy wykonać, aby przenieść dodatni ładunek próbny q z nieskończoności do punktu P. Udowodniono przy tym, że w polu centralnym praca ta nie zależy od wyboru drogi, po której będziemy ten ładunek przemieszczać, a skoro tak, to może to być droga wzdłuż prostej przechodzącej przez oba ładunki, co znakomicie uprości rozważania.

Zapiszmy zatem:

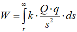
Z fizyki wiemy, że praca wyraża się wzorem:
![]() W – praca [J] F – siła [N] s – droga [m] |
Niestety, wzór w tej postaci nam się nie przyda. Jest on prawdziwy, jeśli w trakcie całej przebytej drogi siła F była przez cały czas stała. A czy jest ona stała? W punkcie P siła F wynosi:

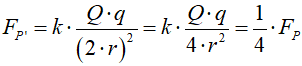
W punkcie P' oddalonym o 2r od ładunku Q siła F wyniesie:

Będzie zatem 4-ro krotnie mniejsza. Jak widać, nie jest stała. Drugą trudnością jest to, że nasza droga kończy się w nieskończoności. Nieskończoność nie jest liczbą i nie można jej sobie tak po prostu wstawić do wzoru. Cóż zatem zrobić? Tutaj przychodzi z pomocą wymyślony przez Izaaka Newtona i Gittfrieda Wilhelma Leibniza rachunek całkowy. Cała sprawa sprowadza się do spostrzeżenia, że na bardzo małym odcinku drogi ds siła F zmienia się niewiele i można przyjąć, że jest stała, gdy ten odcinek ds staje się coraz mniejszy i dąży do 0 (to "dąży do zera" może sprawiać kłopoty uczniowi w liceum, zatem zapraszam do prezentacji matematycznych prof. Wiesława Węgrzyna, byłego nauczyciela matematyki w naszej szkole). Na odcinku tym zostanie wykonana część pracy:

Wzór fizyczny jednak do czegoś się przydał. Nie wnikając w zawiłe teorie matematyczne, możemy powiedzieć, że całkowanie polega na sumowaniu takich małych fragmentów pracy na drodze s od r do nieskończoności, gdy przyrosty drogi ds dążą do zera, co zapisujemy następująco:

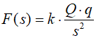
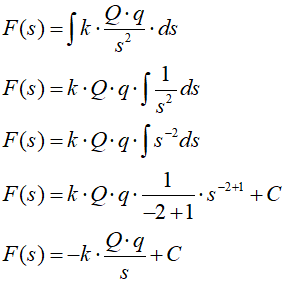
Dla danego punktu drogi siłę F liczymy ze wzoru:

Stąd:

Jest to tzw. całka niewłaściwa. Na szczęście liczymy ją bardzo prosto ze wzoru Leibniza-Newtona. Najpierw wyznaczamy funkcję pierwotną dla naszej całki (nie myl ją z siłą F). Ponieważ wielkości k, Q i q są wielkościami stałymi, możemy je wydobyć spod symbolu całkowania i zapisać:

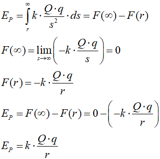
Gdy mamy funkcję pierwotną, liczymy wartość całki oznaczonej (pracę zapisaliśmy tutaj symbolem EP oznaczającym energię potencjalną w punkcie P):

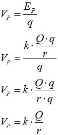
Gdy mamy policzoną energię potencjalną w punkcie P, definiujemy potencjał VP w punkcie P jako stosunek energii potencjalnej w tym punkcie do wartości ładunku próbnego:

Zwróć uwagę, że potencjał elektryczny VP pola w punkcie P nie zależy od wartości ładunku próbnego q.
Jeśli pole elektryczne tworzone jest przez kilka ładunków Q1, Q2, ... ,Qn, to wypadkowy potencjał elektryczny tego pola w danym punkcie P jest sumą potencjałów dla każdego pola z osobna:

Jest to tzw. zasada superpozycji potencjałów. Pozwala ona wyznaczyć potencjał elektryczny pola utworzonego przez dowolny rozkład ładunków elektrycznych.
Jednostką potencjału elektrycznego w układzie SI jest 1V (wolt):

Dodatkowym parametrem charakteryzującym pole elektryczne jest jego natężenie. Definiujemy je za pomocą siły elektrostatycznej, którą pole działa na ładunek próbny:

Natężenie pola elektrycznego jest wielkością wektorową. Kierunek i zwrot wektora natężenia jest taki sam jak wektora siły. Jednostką jest niuton na kulomb:

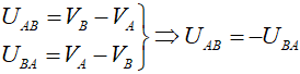
Potencjał pola elektrycznego związany jest z określonym punktem tego pola. Drugim ważnym pojęciem jest napięcie elektryczne (ang. voltage, electric tention), które posiada podobną definicję do potencjału. Ważną różnicą jednakże jest to, iż napięcie elektryczne zawsze odnosi się do dwóch punktów pola A, B i definiujemy je jako stosunek pracy WA→B, potrzebnej do przeniesienia ładunku próbnego q z punktu A do punktu B, do wartości tego ładunku q:

Co ciekawe, praca WA→B nie zależy od wyboru drogi, po której przenosimy ładunek próbny q. Z definicji tej wynika druga (nie będziemy jej wyprowadzać), która mówi, że napięcie od punktu A do punktu B jest różnicą potencjałów w tych punktach:

Napięcie UAB może być:
Jednostką napięcia w układzie SI jest 1V (jeden wolt), podobnie jak dla potencjału. Spotkasz się również z jednostkami mniejszymi:
Jeśli napięcie U nie zmienia swojej wartości, to mówimy, że jest to napięcie stałe. Jeśli wartość napięcia zmienia się w czasie, to mamy do czynienia z napięciem zmiennym. Jeśli napięcie cyklicznie zmienia swój znak, to mamy napięcie naprzemienne (takie napięcie występuje w sieci energetycznej).
Jeśli umieścimy w polu elektrycznym ładunek próbny q, to będzie na niego działać siła F zgodnie z prawem Coulomba:

Jeśli ładunek q jest swobodny, to zacznie poruszać się w tym polu wzdłuż kierunku działania siły. Tor ruchu tego ładunku wyznacza tzw. linię sił pola elektrycznego.


Linie te posiadają zwrot zgodny z kierunkiem ruchu ładunku próbnego. Ponieważ ładunek próbny jest dodatni (ze względów historycznych), linie te wybiegają z bieguna dodatniego i wchodzą do bieguna ujemnego. Jeśli ładunki są jednoimienne, to linie wybiegają lub wchodzą do każdego z nich, jednak nie łączą się. Pomiędzy ładunkami powstaje płaszczyzna, w której pole elektryczne od obu ładunków się znosi.
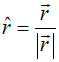
Siła jest wektorem. Podany wzór określa tylko moduł tego wektora. Jeśli chcemy przedstawić siłę elektrostatyczną jako wektor, musimy sięgnąć do rachunku wektorowego. Zdefiniujmy tzw. wektor położenia dla punktu P:

Jest to wektor
zaczepiony w początku układu współrzędnych i którego koniec jest
w punkcie P:

Utworzymy teraz wektor jednostkowy
(o module równym 1) posiadający kierunek i zwrot wektora
:

Gdy mamy wektor jednostkowy, możemy przedstawić siłę w dowolnym punkcie przestrzeni wokół ładunku Q. Ładunek umieszczamy w środku układu współrzędnych. Siła w punkcie P wyniesie:

Siła w postaci wektorowej nadaje się do dodawania do sił pochodzących od innych ładunków. W ten sposób można wyznaczyć wypadkową siłę dla dowolnego układu przestrzennego ładunków elektrycznych.
Przewodnikami elektrycznymi (ang. electric conductors) nazywamy materiały, które zawierają swobodne nośniki ładunku elektrycznego. Są to np. wszystkie metale (swobodne elektrony o ładunku ujemnym), elektrolity (płyny zawierające swobodne jony) oraz zjonizowane gazy. Jeśli w dwóch punktach przewodnika spowodujemy wystąpienie różnicy potencjałów, to nośniki ładunku zawarte w przewodniku zaczną poruszać się wzdłuż linii pola elektrycznego, które powstanie pomiędzy tymi punktami. Taki uporządkowany ruch nośników ładunku elektrycznego nazywamy prądem elektrycznym (ang. electric current). O prądzie mówimy, że płynie, przepływa w przewodniku. Dawniej elektryczność była traktowana jako płyn, fluid. Dlatego powstało określenie przepływu prądu jako analogia do przepływu cieczy.
Przyjmuje się, że prąd przepływa od potencjału wyższego (+) do potencjału niższego (–) i jest ruchem nośników o ładunkach dodatnich. Jest to rozumowanie logiczne. Jednak na początku badań elektryczności nie wiedziano jeszcze nic o elektronach i o budowie materii. Dlatego opracowano prawa elektryczności dla nośników dodatnich. Później okazało się, że nośnikami prądu w metalach są elektrony, czyli ładunki ujemne. Elektrony poruszają się od potencjału niższego do wyższego, zatem przeciwnie od przyjętego kierunku prądu. Jest to pomyłka fizyki, która jednak praktycznie nic nie zmienia w prawach elektryczności. Dlatego przyjętych i stosowanych od dłuższego czasu praw elektryczności postanowiono nie zmieniać, aby nie wprowadzać zamętu.
Prąd elektryczny płynie od punktu o potencjale wyższym do punktu o potencjale niższym. Elektrony natomiast płyną od punktu o potencjale niższym do punktu o potencjale wyższym, zatem odwrotnie do przyjętego historycznie kierunku prądu. Ruch ładunków dodatnich również może występować, np. w elektrolitach lub zjonizowanych gazach.
Natężenie prądu elektrycznego (ang. current intensity) jest ważną własnością prądu, z którą będziemy mieli ciągle do czynienia w elektronice. Jest to liczba ładunków elektrycznych, która przepływa przez określoną powierzchnię, do czasu przepływu tego ładunku. Natężenie prądu oznacza się literą I (intensywność) i wyraża wzorem:
![]() Q – całkowity ładunek elektryczny t – czas przepływu tego ładunku |
Jednostką natężenia prądu jest A – amper (na cześć sławnego fizyka francuskiego André Ampère'a). W układzie SI jeden amper to jeden kulomb na sekundę:

Definicja tej jednostki jest dosyć skomplikowana i odwołuje się do oddziaływania elektromagnetycznego przewodników z prądem elektrycznym:
1 amper to niezmieniający się prąd elektryczny, który płynąc w dwóch równoległych, prostoliniowych, nieskończenie długich przewodach o znikomo małym przekroju kołowym, umieszczonych w próżni w odległości 1 m od siebie, spowodowałby wzajemne oddziaływanie przewodów na siebie z siłą równą 2·10-7 N na każdy metr długości przewodu.
W praktyce elektronika spotkasz się również z jednostkami mniejszymi:
Natężenie prądu elektrycznego jest nazywane po prostu prądem elektrycznym. Możemy zatem powiedzieć, że przepływa prąd o natężeniu 1A lub że płynie prąd 1A.
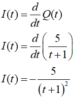
Podany powyżej wzór wyznacza tzw. prąd średni. Prąd chwilowy (czyli taki, który płynie w danej chwili w przewodniku) jest pochodną po czasie wyznaczaną wg wzoru:

Powyższy wzór pozwala wyznaczyć wartość prądu w chwili t, jeśli znamy funkcję Q(t) przepływu ładunku w czasie t.
Przykład:

Obliczamy pochodną tej funkcji po czasie:

Za t podstawiamy liczbę 2 i obliczamy:

Wartość ujemna prądu świadczy, że ładunek Q się zmniejsza, czyli występuje jego upływ.
Siła elektromotoryczna SEM (ang.Electromotive force, EMF) jest czynnikiem, który wymusza przepływ ładunków elektrycznych w stronę przeciwną do siły elektrostatycznej pola elektrycznego. Czyli przykładowo wymusza przepływ prądu od potencjału niższego do wyższego. Normalnie prąd płynąłby w kierunku odwrotnym.
SEM powstaje np. w wyniku reakcji chemicznych w ogniwie galwanicznym. Ogniwo posiada dwie końcówki oznaczone jako + i – (na ogniwach paluszkowych końcówka + posiada występ). Wewnętrznie końcówki te są podłączone do elektrod, na których zachodzą reakcje chemiczne. W wyniku tych reakcji na elektrodzie ujemnej powstaje nadmiar elektronów, na elektrodzie dodatniej powstaje niedomiar.

Dzięki tym reakcjom potencjał elektrody dodatniej jest wyższy od potencjału elektrody ujemnej. Skoro tak, to pomiędzy tymi elektrodami panuje napięcie elektryczne. Wartość tego napięcia zależy od rodzaju reakcji chemicznych zachodzących wewnątrz ogniwa. Współczesne ogniwa paluszkowe (jak na obrazku powyżej) dostarczają napięcia około 1,5...1,6V.
Siłę elektromotoryczną oznaczamy literą E. Jednostką jest 1V. Na schematach elektrycznych stosuje się różne symbole:

Aby popłynął prąd elektryczny I, SEM musi być umieszczona w obwodzie zamkniętym. W obwodzie otwartym prąd nie popłynie:

W obwodzie elektrycznym siły elektromotoryczne można ze sobą łączyć szeregowo. Jeśli zwroty ich będą zgodne (kierunek od – do +), to wypadkowa SEM będzie ich sumą:

Własność ta pozwala uzyskiwać wyższe napięcia przez połączenie szeregowe kilku ogniw. Oprócz pojedynczych ogniw 1,5V można również kupić baterie 3 ogniw (3 x 1,5V = 4,5V) oraz 6 ogniw (6 x 1,5V = 9V):
![]() 4,5V |
![]() 9V |
Przy pracy z urządzeniami elektrycznymi należy zachowywać szczególną ostrożność. Jeśli staniesz się częścią obwodu elektrycznego (np. przez nieopatrzne dotknięcie dwóch przewodów, pomiędzy którymi występuje napięcie elektryczne), to zadziałają prawa elektryczności i poprzez twoje ciało popłynie prąd elektryczny. To, czy przeżyjesz ten eksperyment, zależy od wielu czynników. Przede wszystkim istotna jest wartość prądu elektrycznego oraz droga, którą on płynie w twoim ciele. Za niebezpieczną wartość przyjmuje się 50mA. Prąd o takim natężeniu uszkadza nieodwracalnie tkanki, przez które przepływa. Orientujesz się chyba, że przepływ prądu o takim natężeniu przez ważne dla życia organy może spowodować śmierć. Jeśli dotkniesz obiema rękami przewodników pod napięciem, to obwód zamknie się poprzez twoją klatkę piersiową, w której znajduje się serce. Również niebezpieczny jest przepływ prądu od ręki do nogi. Przepływający prąd powoduje dodatkowo skurcz mięśni. Osoba rażona prądem może nie być w stanie uwolnić się samodzielnie (widziałem raz taki gadżet oduczający ludzi palenia papierosów: mianowicie zapalniczka z umieszczonym wewnątrz generatorem wysokiego napięcia. Osoba, która wzięła w dłoń tę zapalniczkę i próbowała zapalić nią papierosa, była rażona prądem, który oprócz nieznośnego bólu powodował skurcz mięśni dłoni. Zapalniczki nie dało się wypuścić. No i taki delikwent biegał z wrzaskiem dookoła, machając w nienaturalny sposób ręką – bardzo pocieszny i pouczający widok).
Napięcie wywołujące przepływ niebezpiecznego dla życia prądu wynosi około 50V. Różne czynniki mogą to napięcie zmniejszyć lub zwiększyć (np. mokra, spocona skóra lepiej przewodzi prąd, przez co będzie on większy). Na szczęście nie będziemy pracować z napięciami wyższymi od 5...12V. Takie napięcia są zupełnie bezpieczne dla człowieka i nie powodują porażenia prądem (wyjątkiem jest sprawdzanie obecności napięcia językiem – przekonał się o tym Napoleon Bonaparte, gdy na uroczystości oddania nowego stosu Volty towarzystwu naukowemu włożył do ust dwa przewody pod napięciem, po czym bardzo szybko wyszedł z sali i nie pokazał się w tym dniu już nikomu). Jednak musisz zachować dużą ostrożność przy pracy z urządzeniami zasilanymi z sieci elektrycznej. Domowa sieć energetyczna posiada napięcie 240V, zatem może łatwo dojść do śmiertelnego porażenia prądem. Nie ma z tym żartów. Naprawdę! Nigdy nie pracuj z urządzeniem zasilanym z sieci, jeśli ma zdjętą obudowę (chyba że dokładnie wiesz, co chcesz zrobić i jak to zrobić). Wszelkie manipulacje wewnątrz takiego urządzenia zawsze należy wykonywać po upewnieniu się, że nie jest ono zasilane (najlepiej wyjąć wtyczkę z gniazdka). Twoim najlepszym przyjacielem jest tutaj rozum i rozwaga. Piszę o tym, ponieważ w ciągu swej pracy nauczyciela widziałem wiele dziwnych zachowań uczniów: wkładanie gwoździ do gniazdek, zakładanie spinaczy na wtyczki w nadziei ujrzenia fajerwerków, wrzucanie szpilek do wnętrza monitorów przez kratki wentylacyjne, itp. Aż dziw, że nikt nie zginął.
![]()
|
![]()
|
![]()
|
![]()
|
![]() |
Zespół Przedmiotowy Chemii-Fizyki-Informatyki w I Liceum Ogólnokształcącym im. Kazimierza Brodzińskiego w Tarnowie ul. Piłsudskiego 4 ©2026 mgr Jerzy Wałaszek |
Materiały tylko do użytku dydaktycznego. Ich kopiowanie i powielanie jest dozwolone pod warunkiem podania źródła oraz niepobierania za to pieniędzy.
Pytania proszę przesyłać na adres email:
Serwis wykorzystuje pliki cookies. Jeśli nie chcesz ich otrzymywać, zablokuj je w swojej przeglądarce.
Informacje dodatkowe.