|
Wyjście Spis treści Wstecz Dalej
Autor artykułu |
©2026 mgr Jerzy Wałaszek
|
W elektronice rozróżniamy kilka podstawowych rodzajów prądu elektrycznego.
Prąd stały (ang. direct current: DC) cechuje się tym, że posiada stałe natężenie oraz zwrot - w przewodzie płynie tylko w jednym kierunku. Tego typu prąd powstaje na przykład przy zasilaniu bateryjnym obwodu złożonego z samych oporników (obwód może zawierać również elementy pojemnościowe lub indukcyjne, lecz w takim przypadku musi upłynąć pewien czas, aż ustalą się parametry tych elementów).
Prąd zmienny (ang. variable current) jest prądem, którego natężenie zmienia się w czasie. Z takim prądem spotykamy się zwykle w stanach nieustalonych obwodów, które zawierają elementy pojemnościowe i indukcyjne. Spotkasz się z nim przy zasilaniu układów elektronicznych, których pobór prądu zależy od wykonywanych w danej chwili operacji.
Prąd przemienny (ang. alternating current: AC) jest prądem, który cyklicznie zmienia swój kierunek, tzn. raz płynie w jedną stronę, a raz w drugą. Taki prąd spotkasz w sieci energetycznej, która zasila urządzenia w twoim domu. Również spotkasz go wewnątrz różnych zasilaczy dla urządzeń elektronicznych.
Prąd przemienny wywoływany jest przez przemienne napięcie elektryczne. Naturalnym kształtem takiego napięcia jest sinusoida. Narysujmy przebieg zmian napięcia przemiennego w funkcji czasu:

Napięcie zmienia się cyklicznie od wartości +Umax do -Umax i z powrotem od -Umax do +Umax. Zmiana nie jest nagła, tylko rozkłada się w czasie wg funkcji sinus. Na wykresie wyróżniamy amplitudę:

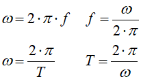
Jest to największe odchylenie wartości napięcia od wartości 0. Drugim parametrem jest okres T, czyli czas, w którym napięcie wykonuje jeden kompletny cykl zmian. Im mniejszy okres, tym szybciej napięcie oscyluje wokół 0. Definiujemy jeszcze częstotliwość f:

Częstotliwość określa liczbę okresów zmian napięcia w ciągu jednej sekundy. Jednostką częstotliwości jest herc:

Dana wielkość zmienia się z częstotliwością jednego herca, jeśli okres zmian wynosi jedną sekundę.
Na przykład napięcie przemienne w sieci energetycznej w Polsce posiada częstotliwość 50Hz, czyli w ciągu jednej sekundy wystąpi 50 okresów zmian tego napięcia.
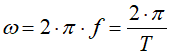
Aby powiązać przebieg sinusoidalny z częstotliwością lub okresem, wprowadza się tzw. prędkość kątową zwaną inaczej pulsacją:

Teraz możemy zapisać funkcję napięcia:

Wzory te pozwalają wyznaczyć wartość chwilową napięcia przemiennego w dowolnej chwili czasu. Do tego celu musimy znać amplitudę Umax i pulsację ω lub częstotliwość f lub okres T.
W obwodach
prądu przemiennego często pojawi się tzw.
przesunięcie fazowe, które określa opóźnienie lub
wyprzedzenie funkcji danej wielkości (napięcia
lub prądu) w stosunku do funkcji podstawowej.
Przesunięcie fazowe podajemy jako kąt w radianach. Poniżej
podajemy wykresy dwóch napięć. Niebieski jest wykresem napięcia
bez przesunięcia fazowego, czerwony jest wykresem napięcia
przesuniętego w fazie o kąt

Uwzględniając przesunięcie fazowe, wzór na wartość chwilową napięcia przyjmuje postać:

Mamy następujący obwód elektryczny:

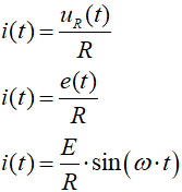
W obwodzie znajduje się siła elektromotoryczna E, która zasila obwód napięciem przemiennym:

oraz opornik R.
Podane wcześniej prawa obwodów również obowiązują dla obwodu zasilanego napięciem przemiennym, ponieważ są to prawa uniwersalne. Zatem dla każdej chwili czasu t spełnione jest drugie prawo Kirchhoffa:

Wynika z tego, że na oporniku R występuje
spadek napięcia równy chwilowej wartości

Prąd płynący przez obwód jest prądem przemiennym. Prąd jest w fazie z napięciem zasilającym (czyli z SEM). Wartość maksymalna prądu jest równa:

A stąd:

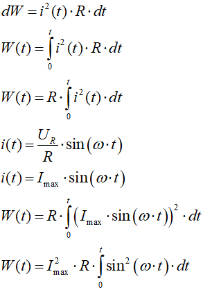
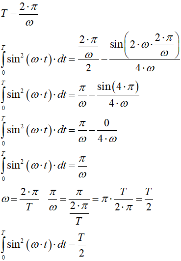
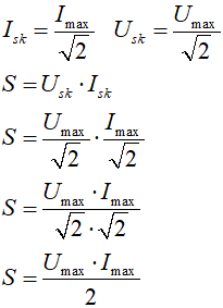
Taki sposób operowania prądem i napięciem jest dla elektryków niewygodny. Dlatego często wprowadza się pojęcie tzw. wartości skutecznej. Jest to przeliczona wartość prądu/napięcia przemiennego na prąd/napięcie stałe, które wywołuje ten sam skutek. Co to znaczy? Wyobraźmy sobie, że przez opornik o oporności R przepływa prąd stały I. Przepływ prądu powoduje wykonanie pracy W, która zamienia się na ciepło:

Przepływ prądu zmiennego też wywołuje skutek cieplny, lecz wzór jest bardziej skomplikowany:

UR jest maksymalną wartością spadku napięcia na oporniku R.
Chcemy wyznaczyć taką
wartość prądu stałego I, aby wywoływał te same
skutki cieplne w czasie t
co prąd

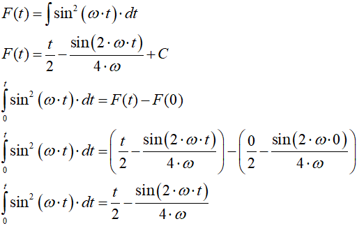
Za czas t podstawiamy okres T:

I ostatecznie:

Otrzymaliśmy
wynik, że takie same skutki cieplne wywoła prąd stały I, który jest równy maksymalnej wartości prądu
zmiennego podzielonej przez pierwiastek z 2. Prąd I nazywamy prądem skutecznym prądu

Moc skuteczna jest iloczynem prądu skutecznego i napięcia skutecznego:

Wartości napięć i prądów przemiennych są podawane jako skuteczne.
Przykład:
Napięcie w polskiej sieci energetycznej wynosi 240V. Ile wynosi napięcie maksymalne:

Jeśli obwód przemiennoprądowy składa się tylko z oporników, to praktycznie oblicza się go tak samo jak obwód prądu stałego po wprowadzeniu napięć i prądów skutecznych. Kłopoty zaczynają się, gdy w obwodzie pojawią się elementy pojemnościowe i indukcyjne.

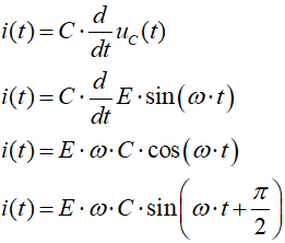
Rozważmy powyższy obwód elektryczny. Zawiera on SEM oraz kondensator C. Zgodnie z II prawem Kirchhoffa suma sił elektromotorycznych oraz spadków napięć w zamkniętym oczku sieci wynosi 0V. Wynika z tego, że:

Prąd i(t) jest prądem ładującym lub rozładowującym kondensator:

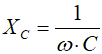
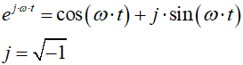
Wprowadźmy wielkość zwaną reaktancją pojemnościową lub oporem pojemnościowym:

Podstawiając ją do wzoru na prąd, otrzymamy:

Otrzymaliśmy odpowiednik prawa Ohma dla prądu zmiennego z kondensatorem. Z powyższego wzoru wynikają dwa wnioski:
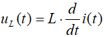
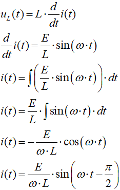
Zastąpmy w naszym obwodzie kondensator cewką o indukcyjności L:

Tutaj również obowiązuje II prawo Kirchhoffa:

Dla cewki obowiązuje wzór:

Mamy zatem:

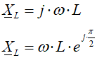
Wprowadźmy reaktancję indukcyjną zwaną również oporem indukcyjnym:

Po podstawieniu do wzoru otrzymamy prawo Ohma dla prądu zmiennego z cewką indukcyjną:

Wnioski są następujące:
Standardowe obliczenia obwodów prądu przemiennego są skomplikowane i żmudne. Często wymagają rozwiązywania równań różniczkowych i całkowych. Na szczęście elektrycy wpadli na pomysł, jak całą sprawę sobie uprościć. Kluczem są tutaj liczby zespolone. Dzięki nim obliczenia nie są specjalnie trudniejsze od obliczeń wykonywanych w obwodach prądu stałego.
Wersor jest wektorem zaczepionym w środku układu
współrzędnych. Wersor posiada długość (moduł)
równą 1. Wersor rotacyjny jest wersorem, który dodatkowo
obraca się wokół swojego punktu zaczepienia z prędkością kątową
ω. Zapisujemy go w postaci zespolonej jako

Na płaszczyźnie zespolonej wersor rotacyjny wiruje przeciwnie do ruchu wskazówek zegara (jest to tzw. kierunek matematycznie dodatni):

Do czego posłuży nam wersor rotacyjny? Do przedstawiania wartości, które zmieniają się okresowo wg funkcji sinus i cosinus.
Jak to zrobimy? Bardzo prosto: pomnożymy wartość maksymalną przebiegu sinusoidalnego przez wektor rotacyjny. Spowoduje to, iż moduł tego wektora przyjmie wartość maksymalną przebiegu. Tak otrzymany wektor nazywamy wskazem. Umówmy się, że wartości zespolone będziemy przedstawiać z podkreśleniem. Na przykład napięcie przemienne o wartości maksymalnej U zapiszemy za pomocą wskazu jako:

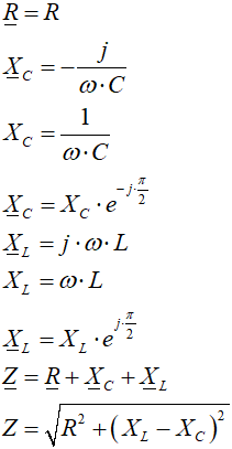
Dla obwodu zawierającego oporność R:


Prąd jest w fazie z napięciem zasilającym. Wykres wskazowy prezentuje wskazy na płaszczyźnie zespolonej wygląda następująco:

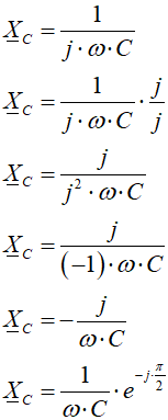
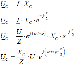
Dla obwodu zawierającego pojemność C:

Najpierw liczymy oporność pojemnościową:

Następnie obliczamy prąd pojemnościowy wg prawa Ohma:

Wykres wskazowy:

Prąd pojemnościowy wyprzedza napięcie na kondensatorze o
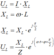
Dla obwodu zawierającego indukcyjność L:

Liczymy oporność indukcyjną:

Obliczamy prąd indukcyjny wg prawa Ohma:

Wykres wskazowy:

Prąd indukcyjny opóźnia się za napięciem na cewce o
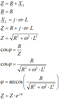
A co się stanie, gdy w obwodzie pojawią się dwa różne elementy bierne (oporowe, pojemnościowe lub indukcyjne) ?

Zgodnie z II prawem Kirchhoffa:

Liczymy impedancję obwodu:

Z prawa Ohma liczymy prąd:

Prąd nie jest w fazie z napięciem zasilającym, lecz wyprzedza je o kąt φ.
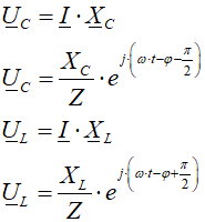
Napięcie na oporniku znajdziemy ze wzoru:

Napięcie na oporniku jest w fazie z prądem. Napięcie na kondensatorze otrzymamy mnożąc prąd przez opór pojemnościowy:

Napięcie na
kondensatorze opóźnia się za prądem o
Wykresy wskazowe:

Wskazy napięcia na oporniku i napięcia na kondensatorze są do siebie pod katem prostym.

II prawo Kirchhoffa:

Liczymy impedancję obwodu:

Prawo Ohma:

Prąd nie jest w fazie z napięciem zasilającym, lecz opóźnia się o kąt φ.
Napięcie na oporniku:

Napięcie na cewce:

Napięcie na cewce
wyprzedza prąd o
Wykresy wskazowe:


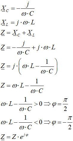
II prawo Kirchhoffa:

Impedancja:

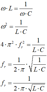
Zwróć uwagę, że dla pewnej częstotliwości impedancja obwodu wynosi 0. Częstotliwość taką nazywamy częstotliwością rezonansową obwodu. Możemy ją obliczyć ze wzoru:

Jeśli w obwodzie znajdują się tylko pojemność i indukcyjność, to rezonans może być niebezpieczny, ponieważ impedancja maleje do zera, a prąd rośnie nieskończenie. Załóżmy jednak, że rezonans nie wystąpił. W takim przypadku obwód ma charakter pojemnościowy lub indukcyjny, w zależności od tego, który z tych składników przeważa. Widać do wyraźnie przy określaniu kąta φ.
Prąd w obwodzie:

Ponieważ kąt
φ może przyjmować wartość
Napięcia na kondensatorze i cewce:

Napięcia na kondensatorze i cewce są odwrócone w fazie. Wykresy fazowe należy zatem utworzyć dla dwóch przypadków:
Charakter pojemnościowy obwodu

Charakter indukcyjny obwodu

Z podanych przykładów widać jasno, że zastosowanie liczb zespolonych do obliczania obwodów prądu przemiennego znacznie upraszcza wszelkie rachunki, sprowadzając je praktycznie do takich samych reguł jak przy prądzie stałym:
| Prąd stały | Prąd przemienny |
Prawo Ohma |
|
![]() |
![]() |
Połączenie szeregowe |
|
|
|
![]() |
Połączenie równoległe |
|
![]() |
![]() |
I prawo Kirchhoffa |
|
![]() |
![]() |
II prawo Kirchhoffa |
|
![]() |
![]() |
Z poprzednich podrozdziałów wynika, że obwodach prądu przemiennego pobierany prąd nie musi być w fazie z napięciem zasilającym. Dzieje się tak wtedy, gdy obwód zawiera pojemności i indukcyjności. Dlatego przy prądzie przemiennym rozróżniamy kilka rodzajów mocy.
Jest to iloczyn wartości skutecznych napięcia i prądu:

Jednostką mocy pozornej jest 1V·A, czyli tzw. woltoamper.
Jest to moc, którą pobiera obwód i zamienia na pracę lub ciepło. W układzie prądu stałego cała pobierana moc jest mocą czynną. W układzie prądu przemiennego moc czynną definiujemy jako iloczyn wartości skutecznych napięcia i prądu oraz cosinusa kąta przesunięcia fazowego między nimi:


Istnieje związek mocy czynnej z mocą pozorną:

Jednostką mocy czynnej jest 1W (wat).
Jest to moc pobierana ze źródła, która nie jest zamieniana w pracę lub w ciepło. Moc bierna związana jest z elementami pojemnościowymi i indukcyjnymi w obwodzie. Definiujemy ją jako iloczyn wartości skutecznych napięcia i prądu oraz sinusa kąta przesunięcia fazowego między nimi:

Związek z mocą pozorną:

Jednostką jest:

Moc pozorna, czynna i bierna tworzą tzw. trójkąt mocy:

Jest to trójkąt prostokątny, zatem:

![]() |
|
ω – prędkość
obrotowa, rotacja, pulsacja f – częstotliwość T – okres |
![]() |
|
A – amplituda
przebiegu ω – prędkość obrotowa, rotacja, pulsacja t – czas |
![]() |
|
A –
wielkość zespolona A – amplituda ω – prędkość obrotowa, rotacja, pulsacja t – czas φ – kat przesunięcia fazowego |




![]() |
Zespół Przedmiotowy Chemii-Fizyki-Informatyki w I Liceum Ogólnokształcącym im. Kazimierza Brodzińskiego w Tarnowie ul. Piłsudskiego 4 ©2026 mgr Jerzy Wałaszek |
Materiały tylko do użytku dydaktycznego. Ich kopiowanie i powielanie jest dozwolone pod warunkiem podania źródła oraz niepobierania za to pieniędzy.
Pytania proszę przesyłać na adres email:
Serwis wykorzystuje pliki cookies. Jeśli nie chcesz ich otrzymywać, zablokuj je w swojej przeglądarce.
Informacje dodatkowe.