|
Wyjście Spis treści Wstecz Dalej
Autor artykułu |
©2026 mgr Jerzy Wałaszek
|
Uczniowie w szkole średniej znają trygonometrię na różnym poziomie. Z reguły ten dział matematyki nie jest zbytnio lubiany. Z gustami walczyć nie będę, ale uważam, że podstawowe fakty i wzory z trygonometrii każdy elektronik powinien znać. Trygonometria jest działem geometrii, który zajmuje się związkami pomiędzy bokami figur oraz funkcjami trygonometrycznymi. Podstawowym pojęciem jest kąt, który najczęściej oznacza się literami greckimi (α, β, γ, θ, φ, ... ).
Kąt płaski (ang. planar angle) jest figurą geometryczną, która powstaje przez połączenie końców dwóch półprostych:

Połączenie tych półprostych nazywamy wierzchołkiem kata (ang. angle vertex), półproste nazywamy ramionami kąta (ang. angle rays). Kąt może być również zdefiniowany przez trzy punkty A, B i C:

Jeden z punktów definiuje wierzchołek kata
(tutaj jest to punkt A), a pozostałe definiują ramiona

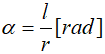
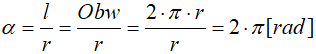
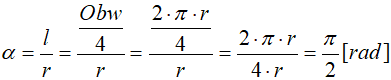
Drugim ważnym pojęciem jest miara kąta (ang. angle measure). Istnieje kilka systemów wyrażania miary kąta. W matematyce króluje miara łukowa, dlatego nią się głównie zajmiemy. Aby zmierzyć kąt (czyli wyrazić go liczbowo), postępujemy w sposób następujący:

Rysujemy okrąg o promieniu r, tak aby jego środek znalazł się dokładnie w wierzchołku kąta. Następnie mierzymy długość łuku l tego okręgu pomiędzy promieniami. Wartość kąta jest równa:

Jednostka kąta w mierze łukowej nazywa się radianem.
Jeśli okrąg użyty do pomiaru kąta będzie posiadało promień
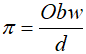
Przypominam, że długość całego obwodu koła liczymy ze wzoru:

Liczba π jest stałą matematyczną, która jest równa stosunkowi obwodu koła do jego średnicy:

Od wieków starano się wyznaczyć wartość tej liczby. Niestety
jest to liczba niewymierna i nie daje się jej przedstawić
za pomocą skończonego ciągu cyfr. W zwykłych rachunkach wystarcza
nam wartość
Gdy mamy miarę, możemy wyrażać kąty liczbowo. Określmy kilka użytecznych, często używanych kątów:
![]() |
Jeśli oba ramiona kąta
α stykają się ze
sobą, to łuk ma zerową długość:
Jest to kąt zerowy. |
![]() |
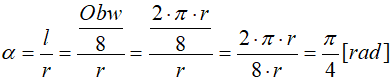
Jeśli ramiona kąta α wycinają łuk o
długości 1/8 obwodu, to mamy kąt półprosty:
|
![]() |
Jeśli ramiona kąta α wycinają łuk o
długości 1/4 obwodu, to mamy kąt prosty:
|
![]() |
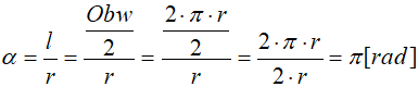
Jeśli ramiona kąta α wycinają łuk o
długości 1/2 obwodu, to mamy kąt półpełny:
|
![]() |
Jeśli długość łuku obejmuje cały obwód koła, to mamy kąt pełny:
|
![]() |
Kąt ostry ma miarę mniejszą od kąta
prostego:
|
![]() |
Kąt rozwarty ma miarę większą od kąta
prostego.
|
![]() |
Kąty można dodawać, jeśli mają wspólny
wierzchołek.
|
![]() |
Dwa kąty są równe, jeśli posiadają tę samą miarę łukową. Kąty równe powstają przy przecięciu dwóch
prostych,
Kąty α i
β są katami przyległymi. Suma
kątów przyległych |
Przez kąt skierowany (ang. directed angle) rozumiemy parę uporządkowaną dwóch półprostych połączonych ze sobą wierzchołkiem. Jedną z tych prostych nazywamy ramieniem początkowym kata, a drugą ramieniem końcowym. Kąt posiada kierunek od ramienia początkowego do końcowego.

W takim podejściu miara kąta skierowanego będzie dodatnia, jeśli ma on kierunek przeciwny do ruchu wskazówek zegara, a ujemna, jeśli ma kierunek zgodny z ruchem wskazówek zegara. Powyższy przykład przedstawia kąt dodatni.
Trójkąt jest bardzo użyteczną figurą geometryczną. Powstaje ona przez połączenie odcinkami trzech punktów na płaszczyźnie (punkty oznaczamy dużymi literami alfabetu, odcinki małymi literami):

Powyższy trójkąt zawiera:

Suma kątów wewnętrznych każdego trójkąta jest kątem półpełnym:


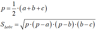
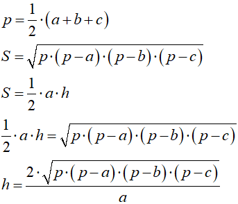
Pole powierzchni dowolnego trójkąta liczymy wzorem Herona:

Wzór Herona pozwala również prosto sprawdzić, czy dana trójka punktów A, B, C jest współliniowa. Jeśli tak, to mamy:


Pole wynosi 0, gdy punkty A, B i C leżą na jednej prostej, czyli są współliniowe.
Wybierzmy jeden z boków trójkąta i nazwijmy go podstawą. Wysokość trójkąta (ang. triangle altitude) jest najkrótszym odcinkiem, który łączy wierzchołek przeciwległy podstawie z prostą zawierającą podstawę:

Jeśli a jest podstawą trójkąta, a h jego wysokością, to pole tego trójkąta liczymy ze wzoru:


Jeśli znamy długości boków trójkąta, to jego wysokość h względem wybranego boku a można wyznaczyć korzystając ze wzoru Herona:

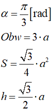
Trójkąt nazywamy równobocznym, jeśli ma on wszystkie boki równe:

W trójkącie równobocznym zachodzą następujące związki (pole wyprowadziłem ze wzoru Herona, a z pola wyprowadziłem wysokość):

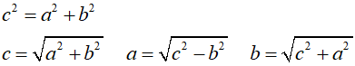
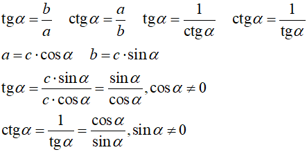
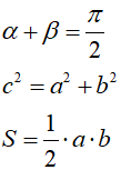
Bardzo ważną rolę odgrywają trójkąty, których jeden z kątów jest kątem prostym. Nazywamy je trójkątami prostokątnymi (ang. right triangle):

Boki a i b tego trójkąta nazywamy przyprostokątnymi, bok c to przeciwprostokątna. Ponieważ suma katów wewnętrznych trójkąta jest kątem półpełnym, to w trójkącie prostokątnym zachodzi:

W trójkącie prostokątnym obowiązuje słynne twierdzenie Pitagorasa – kwadrat przeciwprostokątnej jest równy sumie kwadratów przyprostokątnych:

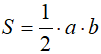
Pole trójkąta prostokątnego jest równe połowie iloczynu przyprostokątnych:


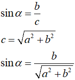
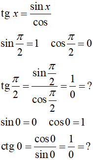
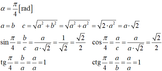
Funkcja trygonometryczna jest funkcją, której wartość zależy od wartości kąta. Na początku zdefiniujemy cztery podstawowe funkcje trygonometryczne posiłkując się trójkątem prostokątnym.

Zakładamy, że kąt α zmienia się w granicach od 0 do π/2.
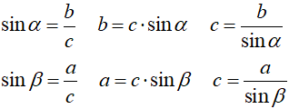
Sinus kąta α definiujemy jako iloraz boków b i c, czyli jest to stosunek długości boku leżącego naprzeciw kąta α do przeciwprostokątnej:

Sinus kąta β jest definiowany jako:

Z wzorów tych wynikają bezpośrednio następne wzory:

Cosinus kata α jest stosunkiem przyprostokątnej będącej ramieniem kąta α do przeciwprostokątnej:

Tangens kata α jest stosunkiem przyprostokątnej leżącej naprzeciw kąta do przyprostokątnej będącej jego ramieniem:

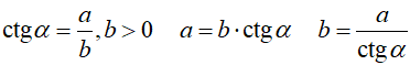
Cotangens kata α jest stosunkiem przyprostokątnej będącej ramieniem kata do przyprostokątnej leżącej naprzeciw niego:

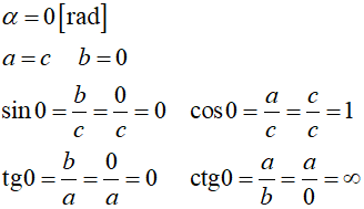
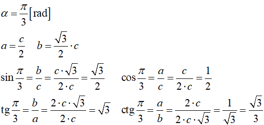
Wyprowadzimy wartości funkcji trygonometrycznych dla kilku kątów:
![]() |
![]() |
![]() |
![]() |
![]() |
![]() |
![]() |
![]() |
![]() |
![]() |
Zbierzmy te wyniki w tabelce:
![]() |
0 |
![]() |
![]() |
![]() |
![]() |
![]() |
0 |
![]() |
![]() |
![]() |
1 |
![]() |
1 |
![]() |
![]() |
![]() |
0 |
![]() |
0 |
![]() |
1 |
![]() |
![]() |
![]() |
![]() |
![]() |
1 |
![]() |
0 |
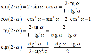
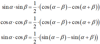
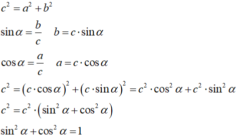
Jeśli przyjrzymy się bliżej definicjom poszczególnych funkcji trygonometrycznych, to okaże się, że istnieją pomiędzy nimi proste związki, których warto się nauczyć na pamięć, ponieważ wykorzystuje się je w przekształcaniu wzorów.
![]() |
![]() |
Otrzymaliśmy tzw. jedynkę trygonometryczną (ang. Pythagorean trigonometric identity). Suma kwadratów funkcji sinus i cosinus tego samego kąta jest równa 1. Jest to tożsamość trygonometryczna, która pozwala wyliczyć wartość bezwzględną funkcji trygonometrycznej sinus lub cosinus, jeśli znamy drugą z nich (zaraz zobaczysz, że wartości funkcji trygonometrycznych mogą posiadać znaki):

Istnieją również związki pomiędzy tangensem, kotangensem, sinusem i kosinusem danego kata α:
![]() |
![]() |
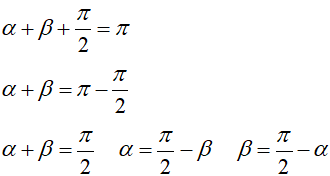
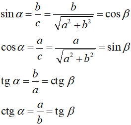
W trójkącie prostokątnym kąty α i β są od siebie zależne:
![]() |
![]() |
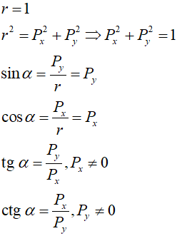
W trójkącie prostokątnym kąt α ograniczał się do zakresu od 0 do π/2. A co z kątami większymi? Narysujmy osie układu współrzędnych i w środku umieśćmy koło jednostkowe:

Na obwodzie koła jednostkowego umieśćmy punkt P, który w tym układzie posiada współrzędne
Współrzędne punktu P na kole jednostkowym zawierają się w zakresie od -1 do 1 na osiach OX i OY. Umówmy się, że dwa kąty są równe, gdy zachodzą warunki:

Oznacza to, że współrzędne punktu Pα dla kata α muszą być równe współrzędnym punktu Pβ dla kąta β. Przy takiej definicji kąty 0 [rad] i 2π [rad] są równe. Co więcej:

Jak to interpretować? Jeśli z danego punktu P obiegniemy koło jednostkowe dookoła, czyli zatoczymy kąt pełny 2π, to wrócimy z powrotem do punktu P, zatem otrzymamy ten sam kąt. Zależność ta pozwala nam zredukować kąt o dowolnej wartości do zakresu głównego od 0 do 2π. Mówimy, że kąt zmienia się z okresem 2π.
Po tych ustaleniach możemy podać wzory funkcji trygonometrycznych dla dowolnego kąta:

Współrzędne Px oraz Py punktu P na obwodzie koła jednostkowego mogą przyjmować wartości dodatnie i ujemne w zależności od tego, w której ćwiartce układu współrzędnych znajduje się punkt P. Dlatego wartości funkcji trygonometrycznych mogą być ujemne. W poniższej tabelce przedstawiamy znaki funkcji trygonometrycznych dla 4 ćwiartek układu współrzędnych:
![]() |
|||||||||||||||||||||||||
![]() |
|||||||||||||||||||||||||
|
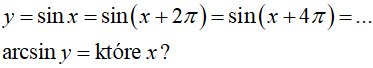
Funkcje trygonometryczne są funkcjami okresowymi, których wartości powtarzają się dla kątów o odstępach 2π:

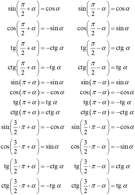
Wzory te pozwalają wyznaczyć wartość funkcji trygonometrycznej przez sprowadzenie kata do zakresu podstawowego od 0 do 2π. Idąc dalej, wartość funkcji trygonometrycznej można wyznaczyć przez zredukowanie kąta do I ćwiartki:
![]() |
![]() |
Jeśli kąt α potraktujemy jako argument x, to otrzymamy funkcję matematyczną kąta x. Dla każdej funkcji należy określić dziedzinę, czyli zbiór argumentów x, dla których funkcja posiada określoną wartość.

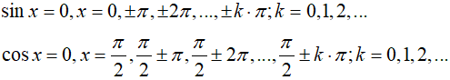
Funkcje sinus i cosinus są określone dla argumentów z całego zbioru liczb rzeczywistych. Natomiast tangens i cotangens nie mają określonej wartości w tych punktach zbioru liczb rzeczywistych, dla których odpowiednio cosinus i sinus przyjmują wartość 0. Wynika to bezpośrednio z definicji tych funkcji:

Funkcje sinus i cosinus przyjmują wartość 0 dla kątów:

Dlatego
Funkcje trygonometryczne są funkcjami okresowymi. Oznacza to, że wartości funkcji powtarzają się dla argumentów odległych o wielokrotność okresu funkcji:

Okres funkcji sinus i cosinus wynosi 2π. Dla funkcji tangens i cotangens okres skraca się do π. Dlaczego? Zwróć uwagę, że współrzędne punktu P leżącego na obwodzie koła jednostkowego powtarzają się w ćwiartkach układu współrzędnych:
![]() |
![]() |
Skoro tak, to wartości funkcji tangens i cotangens również muszą się powtarzać, co wynika bezpośrednio z wzorów redukcyjnych:

Przez argument główny funkcji trygonometrycznej będziemy
rozumieli wartość kąta x z przedziału
podstawowego
Poniżej przedstawiamy wykresy funkcji trygonometrycznych. Na osi poziomej są argumenty x, na osi pionowej są wartości funkcji. Funkcja sinus ma linię czerwoną, funkcja cosinus ma linię niebieską:

Wykresy funkcji sinus i cosinus są takie same co do kształtu.
Wykres cosinus jest przesunięty
Funkcje tangens i cotangens wyglądają inaczej. Na wykresie tangens ma linię czerwoną, a cotangens niebieską:

Funkcje tangens i cotangens są nieparzyste i nieograniczone (przyjmują wartości z całego zbioru liczb rzeczywistych).
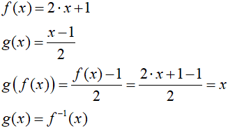
Funkcja
Przykład:

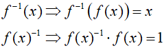
Funkcję odwrotną do

Nie każda funkcja posiada funkcję odwrotną. Jeśli ma, to wyznaczamy ją rozwiązując równanie
Funkcja trygonometryczna wiąże długość łuku koła jednostkowego od osi OX do punktu P (braną dodatnio dla kierunku zakreślania przeciwnego do kierunku obrotu wskazówek zegara, a ujemnie w przypadku przeciwnym) z funkcjami współrzędnych tego punktu. Argumentem funkcji trygonometrycznej jest kąt w radianach. Przypomnijmy sobie wzory:
![]() |
![]() |
Funkcja odwrotna do funkcji trygonometrycznej będzie przyporządkowała funkcję współrzędnych punktu P do długości łuku na kole jednostkowym. Wartością tej funkcji jest zatem kąt w radianach.
![]() |
![]() |
Funkcje odwrotne do funkcji trygonometrycznych nazywamy
funkcjami cyklometrycznymi lub kołowymi. Oznaczamy je przez dodanie przedrostka arc (łac.
arcus = koło) do nazwy funkcji trygonometrycznej, dla
której dana funkcja cyklometryczna jest odwrotną. Zwróć uwagę,
że odwzorowanie wartości funkcji trygonometrycznej

Widzimy wyraźnie, że wartości zwracane przez funkcję cyklometryczną nie pokryją wszystkich możliwych wartości kątów (chociażby z tego powodu, iż funkcja zwraca dla danego argumentu tylko jedną wartość). Poniżej przedstawiamy zakresy wartości dla każdej funkcji cyklometrycznej:

Poniżej kilka przykładowych wartości dla funkcji cyklometrycznych:

Wykresy funkcji cyklometrycznych (jak
każdej funkcji odwrotnej) są symetryczne do wykresów
swoich funkcji trygonometrycznych względem prostej
![]() arcsin(x) – funkcja ciągła, rosnąca, nieparzysta |
![]() arccos(x) – funkcja ciągła, malejąca, nieparzysta |
![]() arctg(x) – funkcja ciągła, rosnąca, nieparzysta |
![]() arcctg(x) – funkcja ciągła, malejąca, nieparzysta |
Więcej na temat trygonometrii znajdziesz w podręcznikach do geometrii i tam odsyłam zainteresowanych.
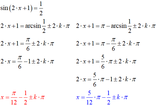
Równanie trygonometryczne zawiera niewiadomą w funkcji trygonometrycznej. Ponieważ funkcje te są okresowe, to rozwiązaniem jest zwykle nieskończony ciąg wartości, które różnią się stałym okresem. Aby rozwiązać takie równanie, często należy znać różne wzory trygonometryczne (wiele z nich zebrano w podsumowaniu). Rozwiązując równanie trygonometryczne, staramy się je tak przekształcić, aby otrzymać równanie elementarne:

Rozwiążmy dla przykładu proste równanie trygonometryczne:

Równanie posiada dwa ciągi rozwiązań, które posiadają okres π.
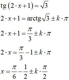
Podobnie rozwiązujemy równania dla pozostałych dwóch funkcji trygonometrycznych:

Przykład:

Równanie ma jeden ciąg rozwiązań o okresie π/2.
![]() |
![]() |
|
α – kąt l – długość łuku r – promień koła |
![]() |
|
Obw – długość obwodu koła π – stała matematyczna, 3,14159265... d – średnica koła r – promień koła |
![]() |
![]() |
![]() |
|
p – połowa obwodu trójkąta a,b,c – długości boków trójkąta S – pole powierzchni trójkąta |
![]() |
![]() |
|
α – kąt wierzchołkowy trójkąta a – długości boku trójkąta Obw – obwód trójkąta S – pole powierzchni trójkąta h – wysokość trójkąta |
![]() |
![]() |
|
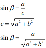
α,β – kąty wierzchołkowe trójkąta a,b,c – długości boków trójkąta S – pole powierzchni trójkąta |
![]() |
![]() |
|
α,β – kąty wierzchołkowe trójkąta a,b,c – długości boków trójkąta |
![]() |
![]() |
|
α – kąt
pomiędzy osią OX a promieniem wodzącym
r P – punkt na obwodzie koła jednostkowego Px – współrzędna x punktu P Py – współrzędna y punktu P |
![]() |
|||||||||||||||||||||||||
![]() |
|||||||||||||||||||||||||
|

![]() |
![]() |








![]() |
Zespół Przedmiotowy Chemii-Fizyki-Informatyki w I Liceum Ogólnokształcącym im. Kazimierza Brodzińskiego w Tarnowie ul. Piłsudskiego 4 ©2026 mgr Jerzy Wałaszek |
Materiały tylko do użytku dydaktycznego. Ich kopiowanie i powielanie jest dozwolone pod warunkiem podania źródła oraz niepobierania za to pieniędzy.
Pytania proszę przesyłać na adres email:
Serwis wykorzystuje pliki cookies. Jeśli nie chcesz ich otrzymywać, zablokuj je w swojej przeglądarce.
Informacje dodatkowe.