|
Wyjście Spis treści Wstecz Dalej
Autor artykułu |
©2026 mgr Jerzy Wałaszek
|
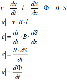
W poprzednim rozdziale pokazaliśmy, że w poruszającym się w polu magnetycznym przewodniku powstaje siła elektromotoryczna:

Umówmy się, że wektor prędkości ruchu przewodu jest prostopadły do wektora indukcji. Wtedy wzór upraszcza się i otrzymujemy:

W czasie dt przewód przebywa w polu magnetycznym drogę dx:

Przewód zakreśla pole:

Otrzymujemy:

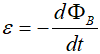
Zjawisko to badał wnikliwie Michael Faraday, który był jednym z największych uczonych samouków XIX wieku. W roku 1831 Faraday odkrył i opisał zjawisko indukcji elektromagnetycznej. Indukcja elektromagnetyczna (ang. electro-magnetic induction) polega na powstawaniu (mówimy: na indukowaniu) siły elektromotorycznej w obwodzie zamkniętym (pętli), przez który przenika zmienny strumień magnetyczny. Ilościowo zjawisko to opisuje wzór:

![]() |
|
ε – siła
elektromotoryczna indukowana w obwodzie ΦB – strumień indukcji magnetycznej przepływający przez powierzchnię obejmującą obwód |
We wzorze ważna jest zmiana strumienia magnetycznego. Jeśli strumień magnetyczny posiada stałą wartość, to siła elektromotoryczna indukcji ε ma wartość 0. Zmiana strumienia może polegać na ruchu obwodu względem pola lub na zmianie natężenia pola. Obowiązuje tutaj ciekawa zależność, zwana prawem Lenza lub regułą przekory. Określa ona kierunek indukowanego prądu i mówi, że prąd indukcyjny (czyli ten, który płynie w przewodniku pod wpływem siły elektromotorycznej indukcji) ma zawsze kierunek taki, że wytworzone przez niego pole magnetyczne stara się przeciwdziałać zmianom pola magnetycznego, które wywołało efekt indukcji elektromagnetycznej. To właśnie wyraża znak minus w podanym powyżej wzorze.
Z prawa Lenza wynika kilka wniosków:
Prawo Lenza gwarantuje zachowanie Energii. Gdyby nie obowiązywało, otrzymalibyśmy perpetum mobile (łac. wieczny silnik).
Indukcję elektromagnetyczną można łatwo wytłumaczyć własnościami ładunków elektrycznych, które poruszają się w polu magnetycznym. Jednak zjawisko to powstaje również w nieruchomym obwodzie, który jest objęty zmiennym polem magnetycznym. Na nieruchome ładunki w polu magnetycznym nie działa siła Lorentza. Zatem skąd się bierze siła elektromotoryczna indukcji? Wyjaśnił to szkocki fizyk James Clerk Maxwell za pomocą swoich równań, które opisują pole elektromagnetyczne. Równania te są zbyt skomplikowane dla ucznia liceum (wymagają zaawansowanej matematyki wyższej), rozważa się je na studiach fizycznych. Pokazują one, że pola elektryczne i magnetyczne są ze sobą ściśle powiązane. Zmienne pole magnetyczne powoduje powstanie wirowego pola elektrycznego i na odwrót. Pole takie rozchodzi się w przestrzeni w postaci fal elektromagnetycznych, które możemy odbierać za pomocą radia czy telewizji. Powstałe pole elektryczne oddziałuje na ładunki w przewodniku, dlatego przemieszczają się i powstaje różnica potencjału.
Jeśli w zamkniętym obwodzie elektrycznym płynie prąd, to zawsze powstaje pole magnetyczne. Z prawa Biota-Savarta wynika, że indukcja pola magnetycznego jest proporcjonalna do wywołującego ją prądu:

Skoro tak, to strumień magnetyczny wewnątrz powierzchni objętej tym obwodem jest również proporcjonalny do prądu:

Aby postawić we wzorze znak równości, musimy wprowadzić do niego współczynnik proporcjonalności:

Współczynnik L nazywamy indukcyjnością własną obwodu lub w skrócie indukcyjnością (ang. inductance). Jednostką indukcyjności jest henr H:

Jeden henr jest indukcyjnością obwodu, w którym prąd o natężeniu jednego ampera wytwarza strumień magnetyczny o wartości jednego webera.
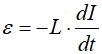
Zmiana strumienia magnetycznego powoduje powstanie w obwodzie siły elektromotorycznej indukcji. Zmiana strumienia w tym przypadku jest spowodowana zmianą prądu. Zgodnie z prawem Lenza siła elektromotoryczna indukcji stara się zapobiec zmianie prądu:

Ten wzór pozwala zdefiniować jednostkę indukcyjności nieco inaczej: jeden henr jest indukcyjnością obwodu, w którym zmiana prądu o jeden amper w czasie jednej sekundy indukuje w tym obwodzie siłę elektromotoryczną o wartości jednego wolta.
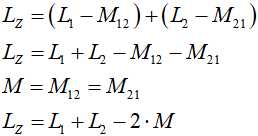
Indukcyjność zależy od przenikalności magnetycznej ośrodka oraz od kształtu obwodu elektrycznego, który wytwarza pole magnetyczne. Musisz sobie uświadomić, że indukcyjność zawsze jest związana z przepływem prądu, wynika z tego, że każdy obwód elektryczny posiada indukcyjność.
Indukcyjność jest kolejnym parametrem (R – oporność, C – pojemność), który charakteryzuje obwód elektryczny. Matematyczne obliczenie indukcyjności dowolnego obwodu elektrycznego jest możliwe, jednak uciążliwe ze względu na konieczność stosowania rachunku całkowego. Dodatkowo sprawę komplikuje ośrodek. Jeśli znajdują się w nim materiały ferromagnetyczne, to indukcja staje się nieliniowa (zależność pomiędzy strumieniem i prądem nie jest liniowa). Wikipedia podaje przybliżone wzory do obliczania indukcyjności różnych przewodników, np.:
![]() |
| L –
indukcyjność własna w µH l – długość przewodu w cm d – średnica przewodu w cm |
![]() |
| L –
indukcyjność własna w µH D – średnica zwoju w cm d – średnica przewodu w cm |

![]() |
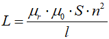
| L –
indukcyjność własna µr – względna przenikalność magnetyczna ośrodka µ0 – przenikalność magnetyczna próżni S – pole zwoju n – liczba zwojów l – długość cewki |
W technice cyfrowej raczej rzadko spotykamy się z indukcyjnościami (głównie w zasilaczach impulsowych oraz filtrach). Przez elementy indukcyjne najczęściej rozumiemy cewki, czyli elementy zbudowane ze zwojów drutu. Cewki mogą być powietrzne (bezrdzeniowe) lub mogą posiadać rdzeń wykonany z ferromagnetyka, który tysiące razy zwiększa wartość indukcji, strumienia oraz indukcyjności. Ze względu na kształt rozróżniamy cewki:
![]() cylindryczna |
![]() toroidalna |
![]() płaska, spiralna |
Indukcyjność cewki zależy od jej kształtu oraz tego, czy posiada lub nie rdzeń ferromagnetyczny.

![]() |
| L –
indukcyjność własna µr – względna przenikalność magnetyczna ośrodka µ0 – przenikalność magnetyczna próżni S – pole zwoju n – liczba zwojów l – długość cewki |

![]() |
| L –
indukcyjność własna µr – względna przenikalność magnetyczna ośrodka µ0 – przenikalność magnetyczna próżni S – pole przekroju poprzecznego torusa n – liczba zwojów r – promień średni torusa |
W obwodzie elektrycznym cewkę indukcyjną przedstawiamy następująco:
![]() |
![]() |
| bez rdzenia | z rdzeniem |
W stanie ustalonym cewka indukcyjna zachowuje się jak zwykły opornik. Różnica wystąpi przy zmianie prądu w obwodzie. Wtedy w cewce indukuje się siła elektromotoryczna, która stara się zapobiec zmianie prądu. Zgodnie z prawem Lenza:
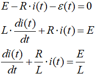
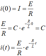
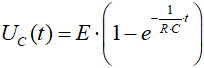
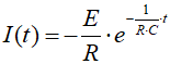
Rozważmy następujący obwód elektryczny:

Obwód zawiera siłę elektromotoryczną E (np. bateria), wyłącznik W, opornik R oraz cewkę o indukcyjności L. Gdy wyłącznik jest rozwarty, prąd w obwodzie nie płynie i spadki napięć na oporniku i cewce wynoszą 0V. Co się stanie, gdy zewrzemy wyłącznik W? W obwodzie zacznie płynąć prąd, pod wpływem którego cewka wytworzy pole magnetyczne. Zmienny strumień magnetyczny w cewce wywoła powstanie siły elektromotorycznej, która będzie skierowana, tak aby hamować przepływ prądu. Zatem w chwili początkowej prąd będzie miał natężenie równe 0:

W oczku sieci obowiązuje drugie prawo Kirchhoffa, zatem piszemy:

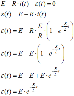
Otrzymaliśmy równanie różniczkowe. Rozwiązaniem tego równania jest:

Stałą C obliczymy z warunku
początkowego: w chwili t

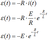
Znając funkcję prądu, bez trudu wyznaczamy napięcie na cewce:

Wyrażenie:

nazywamy stałą czasową obwodu RL (zawierającego oporności i indukcyjności).
Poniżej są wykresy napięcia na cewce oraz
prądu w obwodzie dla E
![]() |
![]() |
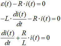
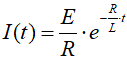
Mamy następujący obwód elektryczny:

W obwodzie znajduje się siła elektromotoryczna E, przełącznik W, opornik R oraz cewka o indukcyjności L. Zakładamy, że obwód znajduje się w stanie ustalonym i płynie w nim stały prąd I. Skoro tak, to prąd ten, przepływając przez cewkę, wytwarza stały strumień magnetyczny. Skoro strumień jest stały, to siła elektromotoryczna samoindukcji wynosi 0. Cewka zachowuje się jak zwykły kawałek drutu. Ponieważ drut ma zwykle małą oporność, umówmy się, że jej oporność wynosi 0. Możemy teraz zapisać II prawo Kirchhoffa:

Wyliczamy prąd ustalony. Teraz przełączamy przełącznik w drugie położenie: obwód przestaje być zasilany przez SEM. Co się stanie:

Cewka zgromadziła energię w swoim polu magnetycznym. Przełączenie przełącznika powoduje spadek natężenia prądu, który z kolei wywołuje spadek strumienia magnetycznego obejmującego zwoje cewki. W cewce powstaje siła elektromotoryczna samoindukcji, która stara się utrzymać wartość prądu na stałym poziomie. Lecz nie uda się jej to na dłuższą metę, ponieważ przepływ prądu wymaga wykonania pracy, która jest pobierana z energii pola. W efekcie pole staje się coraz słabsze i prąd stopniowo maleje. Zapiszmy równanie oczka dla tej nowej sytuacji:

Znów otrzymaliśmy równanie różniczkowe. Rozwiązaniem jest:

Stałą C wyliczymy z warunku początkowego:

Napięcie na cewce:

Poniżej są wykresy napięcia na cewce oraz
prądu w obwodzie dla E
![]() |
![]() |
Bardzo pouczające jest porównanie cewki z kondensatorem. Są to jakby elementy o "przeciwnych" własnościach:
![]() |
![]() |
![]() |
![]() |
![]() |
![]() |
![]() |
![]() |
Na podstawie zachowania się kondensatorów i cewek w obwodach elektrycznych zdefiniowano tzw. prawo komutacji. Mówi ono, że jeśli w obwodzie są kondensatory lub cewki, to przy przełączeniu stanu obwodu zachowuje on w chwili początkowej swój stan poprzedni. A praktycznie oznacza to, iż kondensatory nie pozwalają na skokową zmianę napięcia, natomiast cewki nie pozwalają na skokową zmianę prądu.
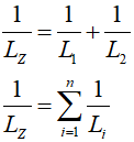
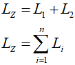
Cewki można w obwodzie elektrycznym łączyć ze sobą. Przy obliczaniu indukcyjności zastępczej obowiązują identyczne zasady jak dla oporników (strumienie magnetyczne cewek nie mogą na siebie oddziaływać, inaczej należy uwzględniać indukcję wzajemną):
![]() ![]() |
![]() ![]() |
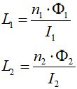
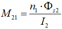
Indukcyjność wzajemna dotyczy dwóch lub więcej cewek indukcyjnych, których strumienie magnetyczne przenikają je nawzajem. Aby zrozumieć to zjawisko, prześledź poniższe rysunki i opisy:
Mamy dwie cewki umieszczone względem siebie tak, jak na rysunku. Jedna z nich jest zwarta:

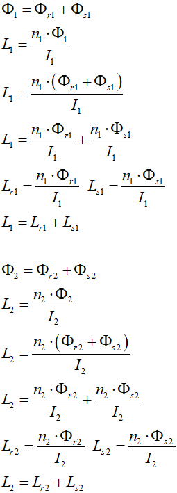
Przez pierwszą cewkę L1 przepuszczamy zmienny prąd elektryczny, który wytwarza zmienny strumień magnetyczny Φ1. Część tego strumienia Φs1 przenika cewkę L2. Reszta Φr1 rozprasza się w ośrodku:

Zgodnie z prawem indukcji Faraday'a w cewce L2 powstanie siła elektromotoryczna, pod wpływem której w cewce L2 popłynie prąd I2. Wg prawa Lenza kierunek tego prądu będzie taki, że wytworzony przezeń strumień przeciwdziała zmianom strumienia przenikającego przez cewkę L2:

Wzory na indukcyjności cewek są następujące:

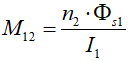
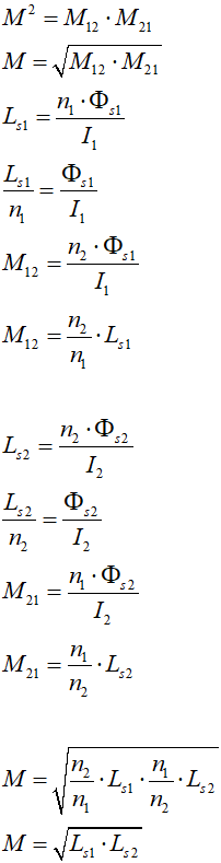
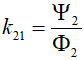
Sprzężenie magnetyczne cewki L1 z cewką L2 definiujemy jako:

Jest to stosunek iloczynu zwojów n2 w cewce L2 przez strumień Φ1, który przenika cewkę L2, do prądu płynącego w cewce L1.
Analogicznie otrzymujemy sprzężenie magnetyczne cewki L2 z cewką L1:

Z praw magnetyzmu wynika, że:

Zapiszmy:

Wynika z tego, że indukcyjność cewki można rozbić na dwie indukcyjności:
Wykorzystując te wzory, piszemy:

Indukcyjność wzajemna jest średnią geometryczną indukcyjności głównych skojarzonych ze sobą cewek.
Strumień magnetyczny wytworzony w cewce L1 i przenikający cewkę L2 nazywa się strumieniem skojarzonym z cewką L2. Podobnie strumień wytworzony w cewce L2 i przenikający cewkę L1 nazywamy strumieniem skojarzonym z cewką L1.

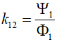
Współczynnik sprzężenia cewki L1 z cewką L2 jest stosunkiem strumienia skojarzonego z cewką L2 do całkowitego strumienia wytwarzanego przez cewkę L1:

Podobnie dla cewki L2:

Ze wzorów tych wynika:

Współczynnik k nazywamy współczynnikiem sprzężenia magnetycznego. Jest on równy średniej geometrycznej współczynników sprzężeń pomiędzy poszczególnymi cewkami. Jeśli k = 1, to sprzężenie jest idealne. Jeśli k = 0, to cewki nie są ze sobą sprzężone magnetycznie.
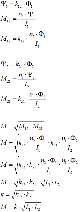
Jeśli cewki znajdują się w jednym obwodzie elektrycznym i są ze sobą sprzężone magnetycznie, to indukcyjność zastępcza musi uwzględniać ich indukcyjność wzajemną.

Sprzężenie może być zgodne (dodatnie) lub przeciwne (ujemne). Zgodne jest wtedy gdy wytworzone przez cewki strumienie skojarzone dodają się, a przeciwne jest wtedy, gdy strumienie skojarzone się odejmują. Na schematach oznaczamy sprzężenie małą kropką na początku cewki. Na powyższym rysunku mamy dwie cewki połączone szeregowo z dodatnim sprzężeniem magnetycznym:

Przy połączeniu ze sprzężeniem ujemnym indukcyjność sprzężenia należy odjąć:


![]() |
|
ε – siła
elektromotoryczna indukowana w obwodzie ΦB – strumień indukcji magnetycznej przepływający przez powierzchnię obejmującą obwód |
![]() |
|
ε – siła
elektromotoryczna indukowana w obwodzie L – indukcyjność własna dI – zmiana prądu w obwodzie dt – czas, w którym ta zmiana zachodzi |
![]() |
| L –
indukcyjność własna µr – względna przenikalność magnetyczna ośrodka µ0 – przenikalność magnetyczna próżni S – pole zwoju n – liczba zwojów l – długość cewki |
![]() |
| L –
indukcyjność własna µr – względna przenikalność magnetyczna ośrodka µ0 – przenikalność magnetyczna próżni S – pole przekroju poprzecznego torusa n – liczba zwojów r – promień średni torusa |
![]() |
![]() |
|
UL(t)
– napięcie na cewce E – SEM zasilająca obwód R – oporność w obwodzie L – indukcyjność własna cewki t – czas |
I(t) – prąd ładowania |
![]() |
![]() |
|
UL(t)
– napięcie na cewce E – SEM zasilająca obwód przed rozładowaniem R – oporność w obwodzie L – indukcyjność własna cewki t – czas |
I(t) – prąd rozładowania |


![]() |
|
M –
indukcyjność sprzężenia magnetycznego k – współczynnik sprzężenia magnetycznego L – indukcyjność cewki |
![]() |
Zespół Przedmiotowy Chemii-Fizyki-Informatyki w I Liceum Ogólnokształcącym im. Kazimierza Brodzińskiego w Tarnowie ul. Piłsudskiego 4 ©2026 mgr Jerzy Wałaszek |
Materiały tylko do użytku dydaktycznego. Ich kopiowanie i powielanie jest dozwolone pod warunkiem podania źródła oraz niepobierania za to pieniędzy.
Pytania proszę przesyłać na adres email:
Serwis wykorzystuje pliki cookies. Jeśli nie chcesz ich otrzymywać, zablokuj je w swojej przeglądarce.
Informacje dodatkowe.