|
Wyjście Spis treści Wstecz Dalej
Autor artykułu |
©2026 mgr Jerzy Wałaszek
|
Wielkość skalarna jest liczbą. Posiada jedynie wartość. Przykładami wielkości skalarnych są: temperatura, praca, masa, itp. Spotkałeś je już na kursie fizyki. Oprócz wielkości skalarnych mamy w fizyce również wielkości wektorowe. Te, oprócz wartości, posiadają "coś jeszcze", co je odróżnia od skalarów. Weźmy na przykład siłę. Efekt działania siły na obiekt zależy nie tylko od jej wartości. Ważne są jeszcze punkt przyłożenia oraz kierunek i zwrot działania siły. Siła o tej samej wartości wywoła różne efekty, jeśli zmienimy jej punkt przyłożenia, kierunek oraz zwrot. Wiedzą dobrze o tym gracze w bilard.

Kula bilardowa jest obiektem. Kij bilardowy może być potraktowany jako model siły. Czubkiem kija uderzamy w określone miejsce bili, wprawiając ja w ruch. Doświadczony gracz potrafi posłać bilę dokładnie tam, gdzie chce. A uzyskuje to regulując siłę uderzenia kija (wartość siły), wybierając odpowiedni punkt uderzenia w bilę (punkt zaczepienia siły) oraz trzymając kij pod odpowiednim kątem (kierunek i zwrot działania siły). Widzisz zatem wyraźnie, iż do opisania tego doświadczenia nie wystarczy podać wartość siły uderzenia kija w bilę. Musimy określić punkt przyłożenia oraz kierunek i zwrot tej siły. Innymi słowy musimy określić wektor siły.
Wielkość wektorowa posiada zdefiniowaną wartość, zwaną modułem, punkt zaczepienia, kierunek działania oraz zwrot. Wektory opisujemy geometrycznie lub algebraicznie, gdy należy na nich wykonywać jakieś operacje. Zacznijmy od opisu geometrycznego, a później przejdziemy do opisu algebraicznego.
W geometrii wektorem jest uporządkowana parą punktów A i B. Przez uporządkowanie rozumiemy, że punkty te nie traktujemy równoważnie. Umówmy się, że punkt A oznacza miejsce zaczepienia wektora. Odnosząc to do przykładu z bilą i kijem bilardowym, punkt będzie miejscem na bili, w które uderza czubek kija. Punkt B określa natomiast kierunek działania wektora, jego zwrot oraz wartość. W jaki sposób? Przyjrzyjmy się poniższemu rysunkowi:

Punkty A i B (jeśli A jest innym punktem niż B, czyli leżącym w innym miejscu przestrzeni) wyznaczają prostą, która przez nie przechodzi. Prosta ta jest kierunkiem działania wektora. Zwrot jest wyznaczony od punktu A do punktu B, ponieważ para tych punktów jest uporządkowana, czyli zdefiniowana jest ich kolejność. Punkt A nazywamy początkiem wektora lub punktem zaczepienia. Punkt B nazywamy końcem wektora. Odległość pomiędzy tymi punktami określa moduł wektora. Na rysunku wektor przedstawiamy odcinkiem AB. Zwrot zaznaczamy strzałką.
Dla dalszych definicji lepiej będzie, jak zastąpimy prostą kierunkową wektora przez półprostą, której początkiem jest punkt A, a punkt B należy do niej:

Wektor zdefiniowany parą punktów będziemy oznaczać następująco:
.
Moduł tego wektora oznaczymy przez:
Wektor zerowy (ang. zero vector)
jest wektorem o module równym 0. Sytuacja taka wystąpi wtedy,
gdy punkt B będzie tym samym punktem A. W takim przypadku ich
odległość wynosi 0. Wektor zerowy nie posiada kierunku i zwrotu,
ponieważ jeden punkt nie wyznacza jednoznacznie żadnej
półprostej. Wektor zerowy zapisujemy jako:
.
Dwa niezerowe wektory są równoległe, jeśli ich półproste są równoległe. Wszystkie pokazane poniżej wektory są wektorami równoległymi:

Dwa niezerowe wektory mają ten sam zwrot, jeśli są równoległe i ich półproste daje się nałożyć na siebie przez przesunięcie
punktów początkowych do jednego punktu. Na powyższym rysunku
wektory
i
mają ten sam zwrot.
Dwa niezerowe wektory mają zwroty przeciwne, jeśli po
przesunięciu punktów początkowych ich półprostych do jednego
punktu, półproste te uzupełniają się do prostej. Na rysunku
wektor
ma zwrot
przeciwny do wektorów
i
,
ponieważ jeśli przesuniemy półprostą tego wektora, tak aby jej
punkt początkowy znalazł się w punkcie A lub
E, to powstaną
proste
(półprosta wektora nie pokryje się z żadną z półprostych pozostałych wektorów).
Wektor
jest przeciwny do wektora
.
Dwa niezerowe wektory są równe, jeśli są równoległe i mają takie same zwroty oraz moduły.
Wektor swobodny (ang. free vector) jest to wektor, którego punkt zaczepienia nie jest na stałe związany z żadnym punktem przestrzeni i może zostać wybrany arbitralnie. Dwa wektory swobodne są sobie równoważne, jeśli są równe. Pojęcie wektora swobodnego może początkowo sprawiać kłopoty. Wyobraź sobie podmuch wiatru. Wszystkie cząsteczki powietrza w strumieniu poruszają się w tym samym kierunku (pomijamy turbulencje). Prędkości tych cząsteczek są właśnie wektorami swobodnymi. Do opisu ruchu wystarczy wektor prędkości jednej cząsteczki. Z wektorami swobodnymi spotkamy się przy opisie pól elektrycznych i magnetycznych.
Wektory swobodne, nie mając ustalonego punktu zaczepienia, mogą
być dowolnie przesuwane. Dla nich możemy zdefiniować sumę
wektorową. Załóżmy, że mamy dwa wektory swobodne
i
:

Wektor
przesuwamy równolegle, tak aby jego początek C
znalazł się w końcowym punkcie B wektora
.
Otrzymamy wektor
,
który jest równoważny wektorowi
.

Jako wynik sumowania otrzymujemy wektor, który rozpoczyna się w punkcie A, a kończy w punkcie D':

Jest to również wektor swobodny, który możemy umieścić w dowolnym miejscu przestrzeni. Zdefiniowaliśmy geometrycznie sumę dwóch wektorów swobodnych. Możemy ją łatwo rozszerzyć na sumę dowolnej liczby wektorów swobodnych:

Wektory przesuwamy, tak aby ich początki wypadały w końcach wektorów poprzednich. Suma będzie wektorem o początku w punkcie początkowym pierwszego wektora i końcu w punkcie końcowym ostatniego. Wynik sumowania wektorów nie zależy od ich kolejności w sumie, ponieważ działanie jest przemienne i łączne:

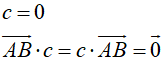
Aby przejść do definicji algebraicznej wektora, potrzebujemy jeszcze operacji mnożenia wektora przez skalar:

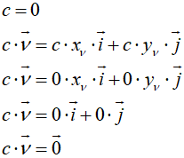
Jeśli skalar c = 0, to otrzymujemy wektor zerowy.

Jeśli skalar c jest różny od zera, to wektor wynikowy posiada ten sam kierunek, co wektor mnożony. Moduł wektora wynikowego jest iloczynem modułu wektora mnożonego i wartości bezwzględnej z c.
Jeśli c > 0, to wektor wynikowy ma ten sam zwrot co wektor mnoży. W przeciwnym razie zwroty obu wektorów są przeciwne.
W postaci algebraicznej wektory definiujemy, podobnie jak w postaci geometrycznej, za pomocą pary dwóch punktów A i B. Punkty te mogą być zdefiniowane na płaszczyźnie lub w przestrzeni trójwymiarowej. Różnica jest taka, iż operujemy współrzędnymi punktów. Omówmy najpierw wektory na płaszczyźnie.
Na płaszczyźnie umieszczamy dwie prostopadłe osie liczbowe, które pełnią rolę układu współrzędnych. Oś poziomą nazwijmy OX, a oś pionową OY.

Każdy punkt płaszczyzny da się teraz jednoznacznie zdefiniować za pomocą dwóch współrzędnych, jednej na osi OX, a drugiej na osi OY. Współrzędne te powstają jako rzuty prostopadłe punktu na osie. Współrzędne są liczbami.
Wektor określamy za pomocą współrzędnych jego punktów: początkowego i końcowego:

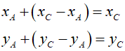
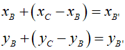
Wektor swobodny można przesuwać równolegle w dowolne miejsce
płaszczyzny. Załóżmy, że chcemy przesunąć wektor
, tak aby jego początek znalazł się w wybranym punkcie
C:

Punkt A przejdzie w A', punkt B przejdzie w B'. Przy przesunięciu równoległym oba punkty wektora muszą podlegać takim samym przemieszczeniom. Aby punkt A przeszedł w A' = C, należy wykonać:

To samo robimy ze współrzędnymi punktu B:

W ten sposób możemy przemieścić wektor swobodny w dowolne miejsce płaszczyzny.
Na osiach określmy tzw. wersory, czyli wektory jednostkowe (o module równym 1) o początkach w początku układu współrzędnych:

Wersor leżący na osi OX nazwijmy
, a wersor leżący na osi
OY nazwijmy
. Oba
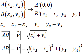
wersory są do siebie prostopadłe. Dowolny wektor swobodny
da się sprowadzić przez translację
(przesunięcie równoległe) do początku układu
współrzędnych, tak aby jego punkt początkowy pokrył się z punktem (0,0):

Oznaczmy ten wektor
:

Punkt końcowy ma współrzędne (xv,yv).
Nazwijmy te współrzędne współrzędnymi wektora
.
Współrzędne te są liczbami, skalarami. Pomnóżmy przez nie
wersory osi:

Otrzymaliśmy na osiach dwa prostopadłe wektory:

Zwróć uwagę, że suma tych wektorów daje nasz wektor
:

Jeśli mamy współrzędne wektora
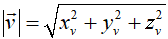
, to moduł obliczamy z twierdzenia Pitagorasa:

Z kolei, mając dany kąt φ, jaki tworzy wektor z osią OX (kąt ten jest kątem skierowanym od osi OX do wektora), łatwo policzymy współrzędne wektora:


Mając daną parę uporządkowaną punktów A i B wektora swobodnego, sprowadzamy go do początku układu współrzędnych i otrzymujemy łatwo współrzędne xv i yv:

Iloczyn taki zdefiniowaliśmy już dla opisu geometrycznego. W przypadku opisu algebraicznego stosujemy definicję:

Oznacza ona, iż mnożenie wektora swobodnego przez skalar jest równoważne pomnożeniu przez ten skalar jego współrzędnych. Sprawdźmy własności tej operacji:

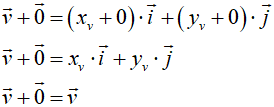
Jeśli skalar ma wartość 0, to otrzymujemy wektor zerowy.

Jeśli skalar jest równy 1, to otrzymujemy ten sam wektor.

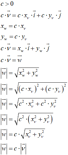
Jeśli c > 0, to wynikiem mnożenia jest wektor o
module równym iloczynowi modułu wektora
przez
skalar
c. Jednocześnie zachodzi:

To z kolei dowodzi, że wektor wynikowy tworzy ten sam kąt z
osią OX co wektor
,
czyli wynikiem iloczynu jest wektor o takim samym kierunku i
zwrocie.

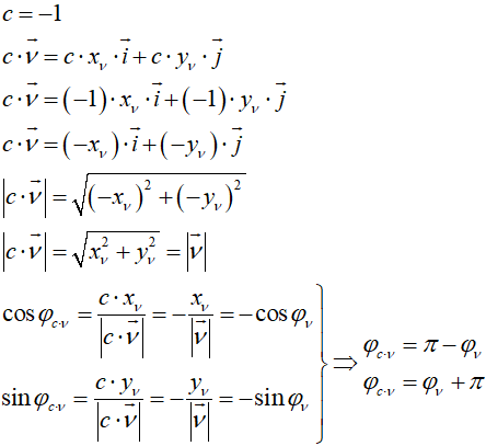
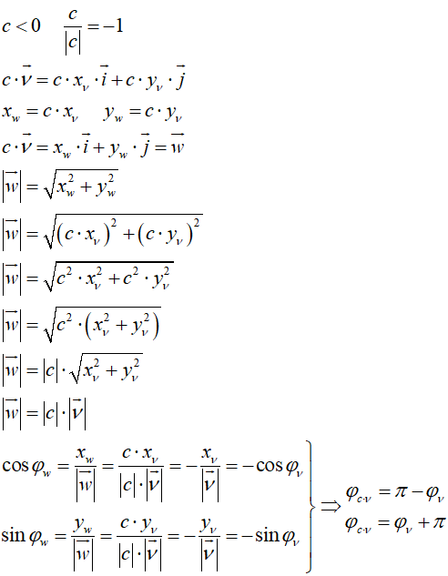
Jeśli c = -1, to otrzymujemy wektor o takim
samym module i kierunku, lecz o zwrocie przeciwnym, czyli
(–1) ·
= –
.

Jeśli c < 0, to otrzymujemy wektor o module równym
iloczynowi wartości bezwzględnej z c i modułu wektora
, o tym samym
kierunku, lecz o zwrocie przeciwnym.
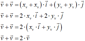
Wykorzystamy postać algebraiczną sumowanych wektorów:

Wynikiem sumowania dwóch wektorów jest wektor, którego współrzędne są sumą współrzędnych sumowanych wektorów.

Przyjrzyjmy się własnością sumy wektorów. Ponieważ działanie sprowadza się do sumowania współrzędnych, które są liczbami, zatem suma wektorów posiada podobne własności jak zwykła suma liczb:




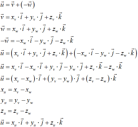
Różnicę wektorów definiujemy jako sumę z wektorem przeciwnym:

Wynikiem jest wektor, którego współrzędne powstają jako różnica współrzędnych wektorów uczestniczących w odejmowaniu:

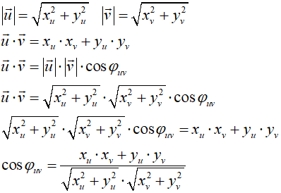
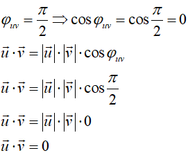
Wynikiem iloczynu skalarnego dwóch wektorów jest liczba, której wartość określamy następująco:

Kąt φuv jest katem pomiędzy mnożonymi skalarnie wektorami. Co przedstawia ten wzór:

Iloczyn modułu wektora
i
cosinusa kata φuv
jest równy długości rzutu wektora
na
wektor
.
Zapiszmy ten wzór nieco inaczej:

Wykorzystaliśmy wzór na cosinus różnicy kątów oraz wzory na współrzędne wektora. Otrzymaliśmy inny wzór na iloczyn skalarny dwóch wektorów, który w tej postaci jest sumą iloczynów współrzędnych x i współrzędnych y obu wektorów. Znając te współrzędne możemy łatwo wyliczyć cosinus kąta pomiędzy wektorami:

Jeśli wektory są do siebie prostopadłe, to ich iloczyn skalarny ma wartość 0, co wynika bezpośrednio z pierwszego wzoru:

Iloczyn skalarny wektora z wektorem zerowym jest równy 0. Wynika to bezpośrednio z drugiego wzoru na iloczyn skalarny, ponieważ wektor zerowy ma obie współrzędne równe 0:

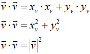
Iloczyn skalarny wektora z sobą samym jest równy kwadratowi modułu tego wektora, co wynika bezpośrednio z drugiego wzoru:

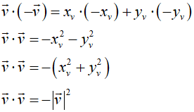
Iloczyn skalarny wektora z wektorem do niego przeciwnym jest równy ujemnemu kwadratowi jego modułu:

Matematyka uogólnia wektory do przestrzeni n-wymiarowych. Nam aż tak duże uogólnienie nie będzie zwykle potrzebne (człowiekowi trudno jest sobie wyobrazić przestrzeń o liczbie wymiarów większej od 3). Wystarczy ograniczenie się do przypadku przestrzeni trójwymiarowej, w której dochodzi dodatkowy wymiar. Do określania współrzędnych w przestrzeni trójwymiarowej potrzebujemy trzech prostopadłych do siebie osi liczbowych. Na osiach umieszczamy wersory (wektory o module równym 1 i o początku w punkcie przecięcia się osi, czyli w początku układu współrzędnych). W zależności od ułożenia tych trzech osi rozróżniamy dwa typy trójwymiarowych układów współrzędnych:
![]() Układ prawoskrętny |
![]() Układ lewoskrętny |
Aby określić typ układu współrzędnych ustaw palce dłoni zgodnie z kierunkiem zamiatania od osi OX do OY. Kciuk powinien wskazywać zwrot osi OZ. Jeśli będzie to prawa dłoń, to układ jest prawoskrętny. W przeciwnym razie układ jest lewoskrętny.
Umówmy się na przyszłość, że będziemy stosować układ prawoskrętny (lewoskrętny jest układem równoważnym).
Każdy punkt przestrzeni posiada trzy współrzędne:

Uzyskujemy je następująco: Rzutujemy punkt P prostopadle na płaszczyznę wyznaczoną przez osie OX i OY. Otrzymujemy punkt P'. Punkt ten rzutujemy prostopadle na osie OX i OY, otrzymując współrzędne xP i yP. Współrzędną zP możemy teraz otrzymać na dwa sposoby: rzutując punkt P prostopadle na płaszczyznę wyznaczoną przez osie OY i OZ (punkt zielony P") lub na płaszczyznę wyznaczoną przez osie OX i OZ (punkt czerwony P'''). Następnie otrzymany obraz punktu P rzutujemy prostopadle na oś OZ i dostajemy współrzędną zP. Trójka liczb (xP,yP,zP) definiuje jednoznacznie położenie punktu P w przestrzeni trójwymiarowej.
Omówimy reprezentację algebraiczną wektora w 3D, ponieważ zwykle chcemy na wektorach wykonywać rachunki, a ta postać najlepiej się do tego celu nadaje. Definicja wektora nie zmienia się, jest to wciąż uporządkowana para punktów A i B, z których A jest punktem początkowym wektora, a B jest jego punktem końcowym:

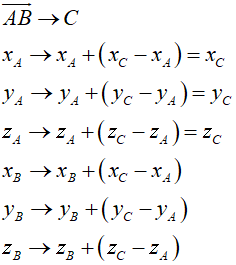
Taki wektor będzie określony przez 6 współrzędnych, po 3 na każdy punkt: (xA,yA,zA) – (xB,yB,zB). Wektor swobodny możemy przesunąć w dowolny punkt C przestrzeni dodając różnicę współrzędnych punktów C i A od współrzędnych punktów A i B wektora:

Jeśli przenosimy wektor swobodny do początku układu współrzędnych, to wzory się uproszczą:

Oznaczmy ten wektor jako
.
Posiada on współrzędne (xV,yV,zV),
które odnoszą się do punktu końcowego. Punkt początkowy leży w środku układu współrzędnych i posiada współrzędne zerowe
(0,0,0).
Podobnie jak w przypadku wektora na płaszczyźnie wektor
da się przedstawić jako sumę wektorową iloczynów wersorów osi przez wartości współrzędnych:

Określmy dodatkowo kąty, jakie tworzy nasz wektor z osiami układu współrzędnych:

Kąt φx – od osi
OX do wektora
.
Kąt φy – od osi
OY do wektora
.
Kąt φz – od osi
OZ do wektora
.
Moduł wektora obliczamy z twierdzenia Pitagorasa:
Ze wzoru tego oraz wzoru na współrzędne wektora swobodnego sprowadzonego do początku układu współrzędnych wynika natychmiast wzór na moduł wektora zadanego dwoma punktami:
Gdy znamy moduł wektora i cosinusy kątów jakie tworzy ten wektor z osiami układu współrzędnych, to możemy łatwo obliczyć jego współrzędne po sprowadzeniu do środka układu współrzędnych:

Cosinusy te nazywamy cosinusami kierunkowymi (ang. direction cosines lub directional cosines), ponieważ wyznaczają kierunek i zwrot wektora w przestrzeni trójwymiarowej. Możemy je obliczyć ze współrzędnych wektora:

Pomiędzy cosinusami kierunkowymi wektora zachodzi zależność:

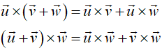
Zdefiniowane wcześniej operacje wektorowe na płaszczyźnie obowiązują również w przestrzeni trójwymiarowej po uwzględnieniu dodatkowej współrzędnej.

W wyniku mnożenia wektora przez skalar powstaje:
przez skalar c.
przez skalar c.
W wyniku dodawania powstaje nowy wektor, którego współrzędne są sumą współrzędnych dodawanych wektorów.

W wyniku dodawania powstaje nowy wektor, którego współrzędne są różnicą współrzędnych odejmowanych wektorów.

Iloczyn skalarny dwóch wektorów jest równy iloczynowi modułów tych wektorów przez cosinus kąta pomiędzy nimi. O ile na płaszczyźnie łatwo było wyznaczyć ten kąt, to w przestrzeni 3d nie jest to już takie łatwe i wymaga dobrej wyobraźni przestrzennej. Dwa różne wektory wyznaczają płaszczyznę, na której oba leżą.

Kąt φuv jest katem leżącym w tej właśnie płaszczyźnie.
Jeśli znamy współrzędne obu wektorów, to ich iloczyn skalarny wyznaczymy prościej z poniższego wzoru:

Wzór ten pozwala również policzyć cosinus kąta pomiędzy wektorami:

Dla dwóch wektorów swobodnych w przestrzeni trójwymiarowej zdefiniowany jest iloczyn wektorowy (ang. cross product). Wynikiem mnożenia dwóch wektorów jest wektor prostopadły do obu mnożonych wektorów, czyli jest prostopadły do płaszczyzny wyznaczonej przez mnożone wektory. Moduł wektora wynikowego jest równy iloczynowi ich modułów przez sinus kąta pomiędzy wektorami:

Jeśli jeden z wektorów jest wektorem zerowym lub mnożone wektory są równoległe (kąt pomiędzy nimi wynosi 0[rad]), to otrzymujemy moduł o wartości 0, czyli wektor zerowy.
Do określenia zwrotu wektora stosujemy regułę prawej dłoni:

Palec wskazujący wskazuje kierunek i zwrot pierwszego wektora, drugi palec wskazuje kierunek i zwrot drugiego wektora, a wyciągnięty kciuk pokaże kierunek i zwrot ich iloczynu wektorowego.
Zanim podamy wzór na wartość iloczynu wektorowego, rozważmy iloczyny wektorowe wersorów osi układu współrzędnych. Ponieważ wersory te są do siebie nawzajem prostopadłe, to sinus kąta pomiędzy nimi zawsze jest równy 1. Moduł iloczynu wersorów też będzie równy 1, ponieważ moduły wersorów mają wartości 1. Wykorzystując te informacje oraz regułę prawej dłoni otrzymujemy dla układu prawoskrętnego:



A teraz iloczyn wektorowy:

Ze wzorów wynika, że wynik iloczynu wektorowego jest wyznacznikiem z macierzy trzeciego stopnia, której pierwszy wiersz zawiera wersory osi, a drugi i trzeci współrzędne wektorów. W tej postaci ten wzór jest najłatwiej zapamiętać.
Własności iloczynu wektorowego (zakładamy, że oba mnożone wektory nie są zerowe i nie są równoległe) są następujące:



| 2D |
![]() |
| 3D |
![]() |
| 2D |
![]() ![]() |
| 3D |
![]() ![]() |
| 2D |
![]() |
| 3D |
|
|
| 2D |
![]() |
| 3D |
![]() |
| 2D |
![]() |
| 3D |
![]() |
| 2D |
![]() ![]() |
| 3D |
![]() ![]() |

![]() |
Zespół Przedmiotowy Chemii-Fizyki-Informatyki w I Liceum Ogólnokształcącym im. Kazimierza Brodzińskiego w Tarnowie ul. Piłsudskiego 4 ©2026 mgr Jerzy Wałaszek |
Materiały tylko do użytku dydaktycznego. Ich kopiowanie i powielanie jest dozwolone pod warunkiem podania źródła oraz niepobierania za to pieniędzy.
Pytania proszę przesyłać na adres email:
Serwis wykorzystuje pliki cookies. Jeśli nie chcesz ich otrzymywać, zablokuj je w swojej przeglądarce.
Informacje dodatkowe.