|
Wyjście Spis treści Wstecz Dalej
Autor artykułu |
©2026 mgr Jerzy Wałaszek
|
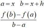
W matematyce często używa się tzw. ilorazu różnicowego funkcji (ang. difference quotient), który definiujemy jako:

Jeśli zmienimy nieco punkt podejścia, to iloraz różnicowy wyrazi się wzorem:

W tej postaci łatwo
zinterpretować iloraz różnicowy:![]() ![]() |
Jest to tangens kąta, który tworzy z osią OX sieczna przechodząca przez punkty wykresu funkcji dla argumentów a i b. Po co nam ten tangens? Otóż okazuje się, że jest bardzo użyteczny. Informuje nas on o tym, jak rośnie funkcja pomiędzy punktami o współrzędnych x równych a i b. Jeśli tangens jest dodatni, to mamy wzrost wartości funkcji. Jeśli tangens jest ujemny, to mamy spadek wartości funkcji. A jeśli tangens wynosi zero, to funkcja ani nie rośnie, ani nie maleje.
Wracając do pierwotnego zapisu, otrzymujemy:

Iloraz różnicowy funkcji jest ilorazem przyrostu wartości funkcji do przyrostu jej argumentu.
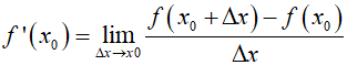
Jak zachowuje się iloraz różnicowy funkcji, gdy b będzie się zbliżało do a? Prześledźmy to na wykresie:

Dostajemy wiązkę prostych, które przechodzą przez punkt

Zastępując a i b odpowiednio przez x0 oraz x, otrzymamy:

Wzór ten definiuje pochodną funkcji f w punkcie x0. Wartość pochodnej jest granicą ilorazu różnicowego, gdy x zbliża się do punktu x0.
Operując przyrostami argumentu oraz funkcji, mamy alternatywną definicję pochodnej w punkcie x0:

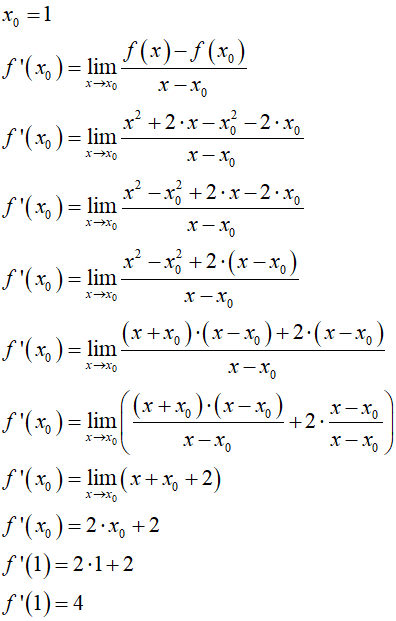
Wyrażenia tego nie można normalnie obliczyć, ponieważ w granicy mamy w mianowniku ułamka zero. Dzielenie przez zero jest
działaniem nieokreślonym. Należy zatem postępować wg reguł
obliczania granic. Aby granica ta istniała, funkcja musi
posiadać granice lewo i prawostronną w punkcie
Przykład:
Obliczyć pochodną funkcji:
w punkcie
Liczymy:

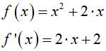
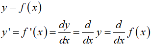
Pochodną funkcji f nazywamy taką funkcję g, która dla każdego x z dziedziny funkcji f przyjmuje wartość pochodnej funkcji f w punkcie x:

Funkcję taką wyprowadziliśmy w podanym powyżej przykładzie:

Funkcję pochodną oznaczamy znakami apostrofów. Często jednak stosuje się alternatywne zapisy:

Wyznaczanie funkcji pochodnej z definicji jest dosyć żmudne i łatwo popełnić tutaj błąd. Zagadnienie to jest opracowywane przez matematyków już od czasu Newtona. Wypracowano dobre i szybkie metody obliczania pochodnych. Musisz się jedynie nauczyć ich na pamięć.
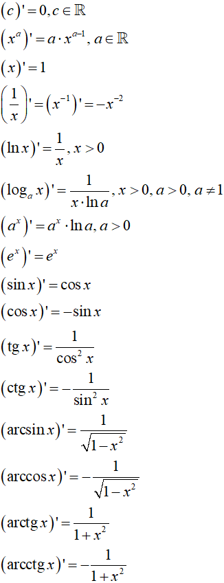
Na początek pochodne funkcji podstawowych:

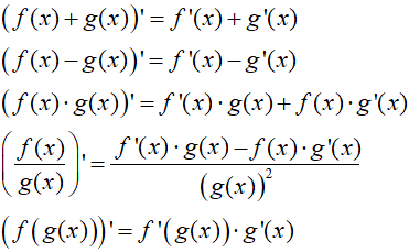
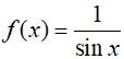
Pochodne funkcji złożonych:

Pokażemy kilka przykładów obliczania pochodnych na podstawie podanych powyżej wzorów.
Przykład:
Oblicz pochodną funkcji:

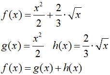
Przed przystąpieniem do obliczeń zawsze rozpoznajemy rodzaj przypadku, z którym mamy do czynienia. Tutaj jest to suma dwóch funkcji składowych:

Skoro tak, to pochodną liczymy wg wzoru:

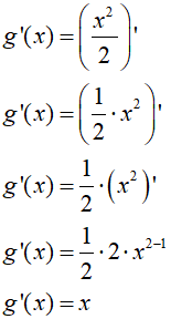
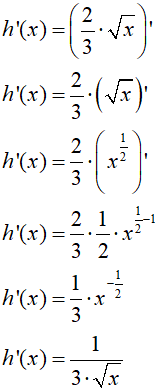
Liczymy zatem pochodne funkcji składowych. Najpierw
pochodna funkcji

Wykorzystaliśmy wzór pochodnej funkcji mnożonej przez stałą oraz pochodną funkcji potęgowej.
A następnie pochodna funkcji

Gdy mamy obie pochodne funkcji składowych, przechodzimy do pochodnej funkcji głównej:

Przykład:
Obliczyć pochodną funkcji:

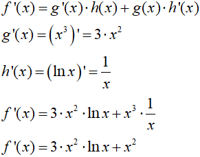
Tutaj mamy do czynienia z iloczynem dwóch funkcji składowych:

Stosujemy zatem wzór na pochodną iloczynu funkcji:

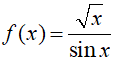
Przykład:
Obliczyć pochodną funkcji:

Funkcja jest ilorazem funkcji składowych:

Liczymy pochodną ilorazu funkcji:

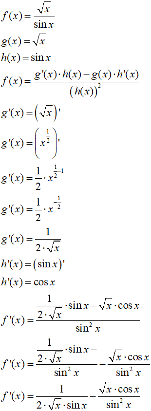
Przykład:
Oblicz pochodną funkcji:

A tutaj mamy do czynienia ze złożeniem dwóch funkcji:

Liczymy zatem pochodną złożenia funkcji:

Obliczając pochodne bardziej złożonych funkcji staramy się je rozbić na sumy, iloczyny, ilorazy lub złożenia. Następnie liczymy pochodne poszczególnych funkcji składowych i z nich składamy pochodną funkcji wejściowej. Ponieważ obliczenia są żmudne, zaopatrz się w odpowiedni program w stylu MathCAD. W sieci Internet są wersje darmowe.
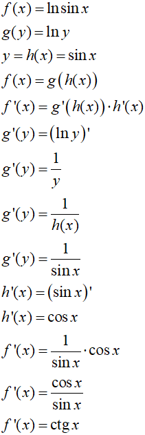
Przykład:
Obliczyć pochodną funkcji:

Dokonujemy analizy:

Liczymy pochodne funkcji składowych i syntezujemy z nich pochodne następnych funkcji aż dojdziemy do funkcji podstawowej:

Pierwsza pochodna funkcji f jest otrzymywana z obliczania granicy ilorazu różnicowego. Drugą pochodną otrzymamy obliczając pochodną pochodnej.

Przykład:
Obliczyć 2 pochodną funkcji:

Liczymy pierwszą pochodną:

Teraz obliczamy pochodną pochodnej:

W podobny sposób otrzymujemy pochodne wyższych rzędów. Np. pochodna trzeciego stopnia z funkcji f jest pochodną jej drugiej pochodnej. Największe zastosowanie w matematyce mają pochodne pierwszego i drugiego stopnia.
O zastosowaniu pochodnych napisano całe tomy dzieł matematycznych. W matematyce stosuje się je do badania przebiegu funkcji, czyli do określania przedziałów, w których funkcja rośnie, maleje, posiada maksima i minima.
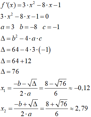
Przykład:
Zbadać przebieg funkcji:
Obliczamy pierwszą pochodną:

Znajdujemy pierwiastki pochodnej, czyli takie
x,
dla których

W tych miejscach funkcja przyjmuje tzw. lokalne maksimum lub lokalne minimum. Mamy zatem trzy przedziały zmienności funkcji:

Teraz należy rozstrzygnąć, jak zachowuje się funkcja f w każdym z tych przedziałów. Wystarczy naszkicować sobie wykres pierwszej pochodnej, która jest zwykłą funkcją kwadratową. Nie musi być dokładny. Chodzi tylko o stwierdzenie, w których przedziałach pochodna jest dodatnia, a w których ujemna. Wiemy, że wykresem jest parabola. Znamy punkty przecięcia tej paraboli z osią OX – to nasze pierwiastki x1 i x2. Ramiona paraboli będą zwrócone w górę, ponieważ współczynnik a (stojący przy x2) jest dodatni:

Z wykresu odczytujemy, że:

Oznacza to, że funkcja f :

W punkcie x1 jest lokalne maximum,
czyli miejsce, w którym funkcja przestaje rosnąć a zaczyna
maleć. Rozpoznajemy je po tym, że przy przejściu przez
x1 (idziemy zawsze wzdłuż kierunku osi liczbowej)
pierwsza pochodna zmienia znak
W punkcie x2 jest lokalne minimum,
czyli miejsce, w którym funkcja przestaje maleć a zaczyna
rosnąć. Rozpoznajemy je po tym, że przy przejściu przez
x2
pierwsza pochodna zmienia znak
Porównajmy teraz wykres funkcji (kreska niebieska) z wykresem jej pochodnej (kreska pomarańczowa):

Pochodną można też traktować jako współczynnik kierunkowy
stycznej do wykresu funkcji w punkcie
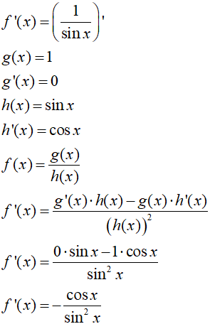
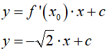
Przykład:
Znaleźć równanie stycznej do wykresu funkcji:
w punkcie
Liczymy pochodną:

Liczymy wartość tangensa kierunkowego, który jest równy wartości pochodnej w wybranym punkcie:

Styczna jest prostą o równaniu:

Musimy znaleźć wartość c. Wiemy jednak,
że prosta ta przechodzi przez punkt

I ostatecznie:


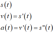
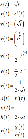
W fizyce pochodne stosowane są w dynamice. Jeśli znamy funkcję
drogi w czasie

Przykład:
Ciało o masie m
pokonuje drogę

Wyznaczyć w funkcji czasu prędkość tego ciała, jego przyspieszenie oraz działającą nań siłę.
Liczymy:
![]() ![]() |
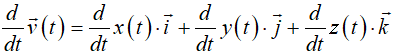
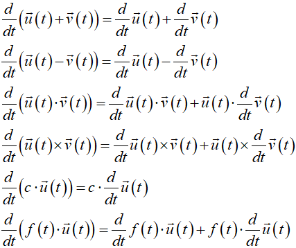
W dalszej części materiału spotkasz się z wielkościami wektorowymi. Funkcja wektorowa jest funkcją parametryczną współrzędnych wektora. Wektor (swobodny) przedstawiamy w przestrzeni jako sumę iloczynów współrzędnych jego końca przez wersory osi:
Współrzędne x, y i z są zwykłymi wartościami skalarnymi i możemy je przedstawić w postaci funkcji pewnego parametru t :
Wtedy otrzymamy funkcję wektorową:
Dla takiej funkcji można obliczać pochodne wg podanych wyżej zasad:

Pochodna funkcji wektorowej jest równa sumie iloczynów wersorów osi przez pochodne funkcji współrzędnych.
Obowiązują następujące wzory:

Przykład:
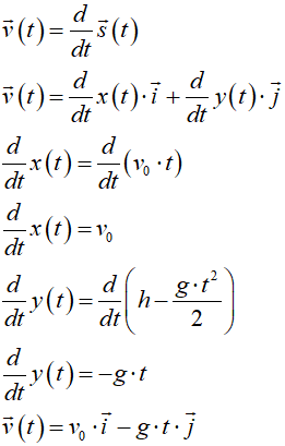
Z działa umieszczonego na wysokości h wystrzelono poziomo pocisk z prędkością początkową v0. Wyprowadź funkcje wektorowe prędkości i przyspieszenia.W kierunku osi OX ciało porusza się ze stałą prędkością v0, pokonuje zatem drogę:

W kierunku osi OY ciało spada pod wpływem siły ciążenia i jego wysokość zmienia się zgodnie ze wzorem:

Wektor położenia ciała ma postać:

Wektor prędkości otrzymamy jako pierwszą pochodną wektora położenia:

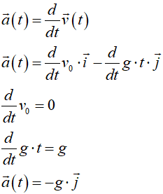
Wektor przyspieszenia jest pierwszą pochodną wektora prędkości (drugą pochodną wektora położenia):

Przyspieszenie jest wektorem stałym i skierowanym pionowo w dół (składowa pozioma jest równa 0).
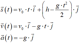
Podsumujmy:

Jeśli opanujesz zasady różniczkowania (obliczania pochodnych), to obliczenia wektorowe nie sprawią ci większych trudności.
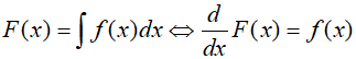
Całka (ang. integral) jest pojęciem, które pojawiło się w matematyce za sprawą dwóch wielkich uczonych, Newtona i Leibniza. Najogólniej mówiąc, całka jest pojęciem odwrotnym do pochodnej:

Mówimy, że funkcja F(x)
jest całką funkcji
f(x)
wtedy i tylko wtedy, gdy pochodna funkcji F(x)
jest funkcją
f(x).
Całkę oznaczamy specjalnym znakiem, który pochodzi od

Stałą C nazywamy stałą całkowania i musimy pamiętać, aby dołączyć ją do podstawowej funkcji pierwotnej.
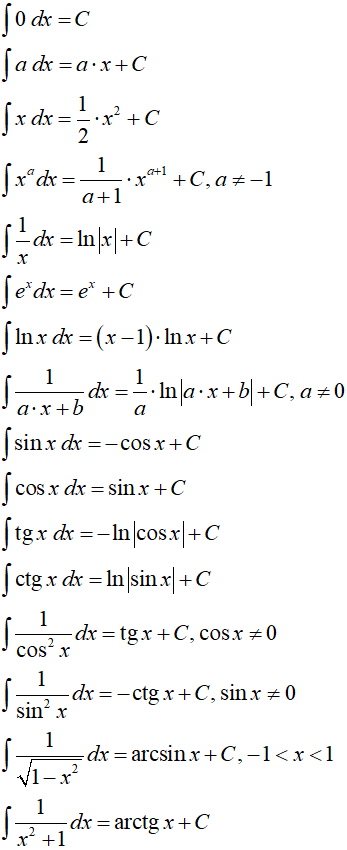
Wzory na niektóre całki otrzymujemy bezpośrednio z wzorów na pochodne funkcji:

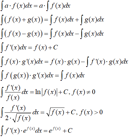
Do obliczania całek wykorzystuje się kilka podstawowych własności:

Jest tego całkiem sporo. Nauczenie się całkowania wymaga długiego czasu i mnóstwa ćwiczeń. Dobrą inwestycją (co ciągle powtarzam) jest program MathCAD, który liczy symbolicznie całki funkcji całkowalnych. Nie wszystkie funkcje daje się scałkować i tutaj nawet MathCAD nic nie poradzi. Jeśli nie stać cię na MathCAD'a, to w sieci znajdziesz wiele tzw. Integral Calculators, które całkiem sprawnie liczą różne całki. Istnieje kilka metod całkowania, bazujących na podanych wyżej wzorach.
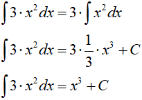
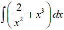
Przykład:
Obliczyć całkę:
Zasadą jest sprowadzenie całki do postaci podstawowej, którą policzymy ze wzorów. W tym przypadku w funkcji podcałkowej mamy mnożenie przez stałą 3, którą możemy wyprowadzić przed znak całki, a wtedy operacja stanie się banalnie prosta:

Przykład:
Obliczyć całkę:
Funkcja podcałkowa złożona jest z sumy dwóch funkcji. Całka sumy funkcji jest równa sumie całek tych funkcji, zatem:

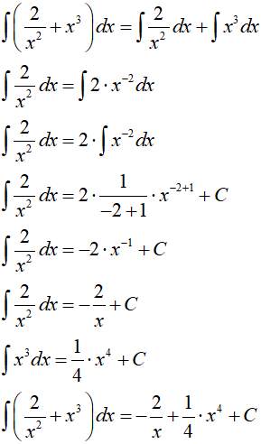
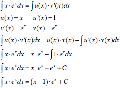
Stosujemy tę metodę, gdy pod całką występuje iloczyn funkcji. Wykorzystujemy wzór:

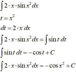
Przykład:
Obliczyć całkę:
Ustalamy i liczymy:

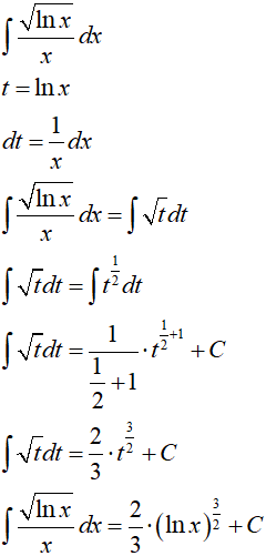
Przykład:
Obliczyć całkę:

Przykład:
Obliczyć całkę:

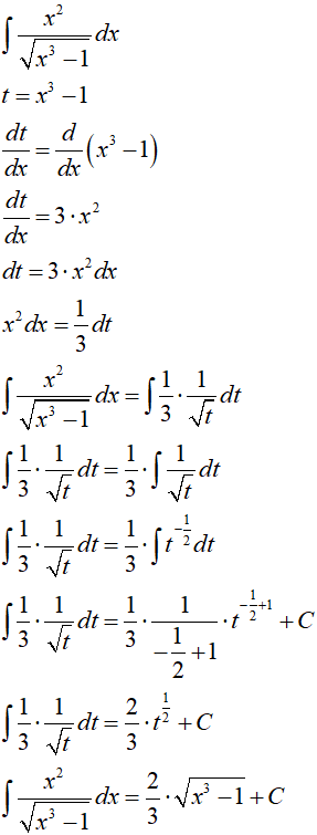
Przykład:
Obliczyć całkę:

Ten rodzaj całkowania stosujemy, jeśli funkcję podcałkową można zapisać w postaci:

Wtedy stosujemy podstawienie:

Przykład:
Obliczyć całkę:

Stosujemy podstawienie:

Przykład:
Obliczyć całkę:

Przykład:
Obliczyć całkę:

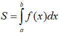
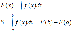
Opisana wyżej całka nosi nazwę całki nieoznaczonej (ang. indefinite integral). Jest to funkcja pierwotna. W zastosowaniu są również tzw. całki oznaczone (ang. definite integral). Nieformalnie mówiąc, całka oznaczona jest polem pomiędzy osią OX a wykresem funkcji, które jest dodatnie nad osią i ujemne pod nią. Całkę oznaczoną zawsze liczy się w pewnych granicach, które określają przedział całkowania:


Jeśli potrafimy policzyć całkę nieoznaczoną funkcji f, to wartość pola S można policzyć za pomocą wzoru Newtona:

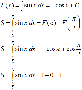
Przykład:
Obliczyć całkę oznaczoną:
Liczymy całkę nieoznaczoną:

Jeśli nie potrafimy obliczyć
całki nieoznaczonej
(niektóre funkcje nie są całkowalne),
to stosuje się metody przybliżone, np. metodę prostokątów, trapezów lub
Simpsona. W naszym serwisie jest
osobny artykuł na temat tych metod. Najprostsza jest metoda prostokątów.
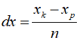
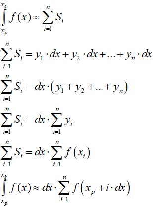
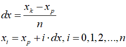
Polega ona na tym, iż pole pod wykresem funkcji w przedziale

W przedziale całkowania wyznaczamy n
równoodległych punktów

Następnie wyznaczamy punkty:

Dla każdego z tych punktów obliczamy wartość całkowanej funkcji:

Pole i-tego prostokąta jest równe:

Przybliżona wartość całki oznaczonej jest sumą pól tych prostokątów. Zwróć uwagę, że tak wyliczone pola są dodatnie, jeśli yi jest dodatnie, a ujemne, jeśli yi jest ujemne:

Dokładność przybliżenia zwiększa się przy wzroście n. Zaletą tej metody jest to, że pozwala ona znaleźć wartość całki oznaczonej dla dowolnej funkcji ciągłej w przedziale całkowania. Wadą natomiast jest to, iż musimy wykonywać żmudne obliczenia, ale to akurat mogą za nas zrobić komputery.
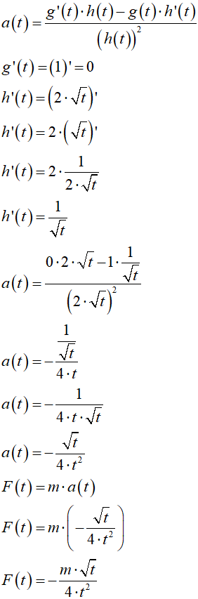
Przykład:
Obliczyć całkę oznaczoną:
Z poprzednich obliczeń wiemy, że dokładna wartość tej całki wynosi 1. Przyjmujemy n = 4:
![]() ![]() |
Otrzymaliśmy wynik 0,8, co jest dosyć bliskie 1. Większą dokładność uzyskalibyśmy przy zwiększeniu n. Nie chcę zanudzać czytelnika obliczeniami. W poniższej tabelce zebrałem ich wyniki dla kilku wartości n. Obliczenia wykonałem w arkuszu kalkulacyjnym:
| n | S |
| 10 | 0,9194032 |
| 100 | 0,9921255 |
| 1000 | 0,9992144 |
Drobna modyfikacja metody prostokątów prowadzi do metody trapezów, która posiada o wiele lepszą dokładność. Pole pod wykresem funkcji przybliżamy za pomocą trapezów, które dokładniej odwzorowują przebieg funkcji:

Zasada jest prawie identyczna jak dla metody prostokątów. Przedział całkowania dzielimy na n+1 równo odległych od siebie punktów. Punkt xp staje się punktem x0:

Dla tak policzonych punktów xi obliczamy wartości całkowanej funkcji. Pola trapezów będą równe:

Przybliżona wartość całki oznaczonej jest sumą tych pól:

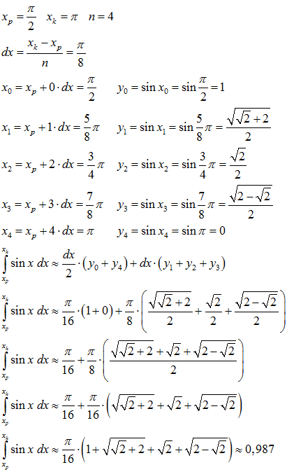
Przykład:
Obliczyć całkę oznaczoną:

W obliczeniach wykorzystamy wyniki pośrednie wyliczone w poprzednim przykładzie:

Przykład pokazuje wyraźnie, że metoda trapezów daje dużo lepsze wyniki od metody prostokątów. Nie jest przy tym specjalnie bardziej żmudna obliczeniowo. Z tego powodu poleca się ją do wyliczania wartości całek oznaczonych.
Więcej na ten temat znajdziesz w osobnych artykułach: "Całkowanie numeryczne" i "Metody numeryczne".
![]() |
Zespół Przedmiotowy Chemii-Fizyki-Informatyki w I Liceum Ogólnokształcącym im. Kazimierza Brodzińskiego w Tarnowie ul. Piłsudskiego 4 ©2026 mgr Jerzy Wałaszek |
Materiały tylko do użytku dydaktycznego. Ich kopiowanie i powielanie jest dozwolone pod warunkiem podania źródła oraz niepobierania za to pieniędzy.
Pytania proszę przesyłać na adres email:
Serwis wykorzystuje pliki cookies. Jeśli nie chcesz ich otrzymywać, zablokuj je w swojej przeglądarce.
Informacje dodatkowe.