|
Wyjście Spis treści Wstecz Dalej
Autor artykułu |
©2026 mgr Jerzy Wałaszek
|
Przedział liczbowy jest podzbiorem liczb rzeczywistych. Zbiór oznaczamy w matematyce za pomocą klamerek. Poniższy zapis:

Oznacza ogół takich x, że x jest większe lub równe 1. Do tego przedziału należą zatem liczby 1 1,67 2 1000000. Nie należą natomiast liczby 0 0,999999... (dowolna, lecz skończona liczba cyfr 9 po przecinku) -1.
Przedziały mogą być ograniczone lub nieograniczone. Istnieją następujące przypadki:


Jest to przedział ograniczony z dołu przez liczbę
a i z góry przez liczbę
b. Każda liczba w przedziale
Otwartość przedziału oznaczamy nawiasem okrągłym.


Jeśli w poprzedniej definicji dopuścimy równość liczb z przedziału z liczbami go ograniczającymi, to otrzymamy przedział obustronnie domknięty. Liczba a jest dolną granicą liczb w przedziale i jednocześnie należy ona do tego przedziału. Jest najmniejszą liczbą w tym przedziale. Podobnie liczba b jest górną granicą liczb w przedziale, należy do przedziału i jest w tym przedziale liczbą największą. Liczby a i b domykają przedział, dlatego nosi on nazwę przedziału obustronnie domkniętego.
Domkniętość przedziału oznaczamy nawiasem trójkątnym lub kwadratowym (my będziemy konsekwentnie używać nawiasów trójkątnych).
Jeśli w definicji dopuścimy tylko jedną równość, otrzymamy przedział domknięty jednostronnie. W zależności od tego czy równość dotyczy dolnej, czy górnej granicy, mówimy o przedziale domkniętym lewo- lub prawostronnie. Z drugiej strony przedział jest otwarty. Mamy zatem dwa rodzaje takich przedziałów:
Przedział lewostronnie domknięty


Przedział prawostronnie domknięty


Przykład:
Opisane powyżej przedziały liczbowe są przedziałami ograniczonymi, a liczby a i b są ich granicami. Jeśli jedna lub obie te liczby nie istnieją, to mamy do czynienia z przedziałem nieograniczonym.


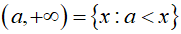
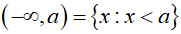
Przedział obejmuje cały zbiór liczb rzeczywistych. Znaki
-∞ oraz
+∞ są specjalnymi symbolami matematycznymi, które
oznaczają nieskończoność odpowiednio ujemną i dodatnią.
Nieskończoność jest pojęciem trudnym. Nie jest to żadna liczba,
ponieważ liczby są wartościami skończonymi. Nieskończoność
to niekończący się nigdy wzrost. Jeśli wymyślimy sobie jakąś
bardzo dużą liczbę, np.
Przy nieskończoności zawsze umieszczamy nawias okrągły, ponieważ nieskończoność jest granicą, której żadna liczba z przedziału nie osiąga.
Przedział lewostronnie domknięty, prawostronnie nieograniczony


Przedział lewostronnie otwarty, prawostronnie nieograniczony


Przedział lewostronnie nieograniczony, prawostronnie domknięty


Przedział lewostronnie nieograniczony, prawostronnie otwarty


W takich przedziałach istnieje tylko jedno ograniczenie z dołu lub z góry.
W matematyce funkcja (ang. function) jest jednym z podstawowych pojęć, które musisz dobrze rozumieć, aby przyswoić sobie dalszą część tego rozdziału. Zagadnienie jest trudne i bardzo obszerne, a my podamy tylko niezbędne fakty.
Funkcja jest odwzorowaniem przyporządkowującym elementom z jednego zbioru elementy z innego zbioru. Pierwszy zbiór oznaczamy zwykle literą X i nazywamy dziedziną funkcji lub zbiorem argumentów. Drugi zbiór oznaczamy literą Y i nazywamy przeciwdziedziną funkcji lub zbiorem wartości. Formalnie zapisujemy to w sposób następujący:

Literka f oznacza tu przekształcenie, przepis, sposób postępowania, który należy zastosować, aby przekształcić dowolny element ze zbioru X w jeden element ze zbioru Y. To wcale nie musi być jakiś wzór matematyczny.

Funkcję możemy zdefiniować tak:
Y: zbiór wszystkich
wielokątów foremnych o boku równym a i liczbie boków
większej
f: przekształca wielokąt foremny
Określiliśmy funkcję. A działa ona tak:
f(trójkąt równoboczny o boku a) = kwadrat o boku a f(kwadrat o boku a) = pięciokąt foremny o boku a ...
W funkcji ważne jest, aby odwzorowanie było jednoznaczne,
tzn. aby obrazem jednego elementu ze zbioru
X
był dokładnie jeden element ze zbioru Y.
W przeciwnym razie nie będziemy mogli określić, co jest wynikiem
odwzorowania. Jednoznaczność wcale nie oznacza, że dla każdego
elementu

Jest to tzw. funkcja stała (ang.
constant function). Dziedziną tej funkcji jest cały zbiór
rzeczywisty. Przeciwdziedziną jest zbiór jednoelementowy.
Powyższy zapis oznacza, że dla każdej liczby rzeczywistej
funkcja daje w wyniku wartość 2, czyli przekształca dowolną
liczbę rzeczywistą
Funkcja, której dziedzina i przeciwdziedzina są zbiorami liczbowymi, nazywa się funkcją liczbową. Pierwsza z podanych tutaj funkcji nie była funkcją liczbową, ponieważ dziedziną i przeciwdziedziną nie były zbiory liczbowe, lecz zbiory figur geometrycznych. Będziemy się zajmować tylko funkcjami liczbowymi.
Przykład:

Powyżej mamy przykład prostej funkcji liczbowej, która
odwzorowuje liczby rzeczywiste x w liczby rzeczywiste y
wg podanego przepisu. Obrazem liczby 3 w tym odwzorowaniu jest

Dziedziną funkcji jest cały zbiór liczb rzeczywistych. Przeciwdziedziną jest także cały zbiór liczb rzeczywistych.
Jeśli zapytać ucznia liceum o to, czym jest wykres funkcji, to 9 na 10 nie będzie potrafiło podać sensownej odpowiedzi. Niestety, świadczy to o niskiej jakości nauczania matematyki w Polsce (do czego znacznie przyczyniło się MEN). Tymczasem sprawa jest dosyć prosta, lecz wymaga wprowadzenia pojęcia układu współrzędnych. Układ taki rozpowszechnił w matematyce uczony francuski René Descartes, bardziej znany jako Kartezjusz. Od jego nazwiska układ nazywamy układem kartezjańskim. Służy on do określania położenia punktów na płaszczyźnie lub w przestrzeni trójwymiarowej. W tym celu na płaszczyźnie umieszcza się dwie prostopadłe osie liczbowe (proste z określoną na nich podziałką liczbową), które przecinają się ze sobą w punktach 0 (w przestrzeni są to trzy osie prostopadłe):

Teraz każdy punkt płaszczyzny daje się przedstawić w postaci współrzędnych na tych dwóch osiach, jednej na osi poziomej i drugiej na osi pionowej:

Oznaczmy oś poziomą jako OX, a oś pionową jako OY. Współrzędne otrzymujemy przez rzuty prostopadłe punktu na osie. Umówmy się, że pierwsza współrzędna oznacza położenie tego rzutu na osi OX, a druga na osi OY. Na rysunku powyżej wybrano trzy punkty płaszczyzny. Posiadają one współrzędne:
Współrzędne te można też zapisać przez odwołanie do nazwy osi: liczby na osi OX oznaczamy literką x, a liczby na osi OY oznaczamy literką y. Teraz:
Wracając do tematu, wykres funkcji jest zbiorem punktów płaszczyzny z układem współrzędnych, których współrzędne spełniają warunek:
Punkt P o współrzędnych x, y jest punktem wykresu funkcji f, jeśli y = f(x)
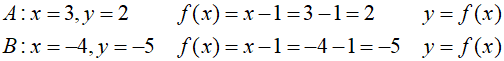
Narysujmy dla przykładu wykres funkcji y = f(x) = x – 1. Wykres możemy narysować tylko w pewnym przedziale, ponieważ osie liczbowe są nieskończone i całość wykresu nie zmieścilibyśmy na żadnym nośniku.

Wykres tej funkcji jest linią prostą. Na płaszczyźnie zaznaczyliśmy trzy punkty A(3,2), B(-4,-5) i C(5,-3). Punkty A i B spełniają naszą definicję i należą do wykresu funkcji:

Punkt C nie spełnia definicji i nie należy do wykresu funkcji:

Do tworzenia wykresów bardziej skomplikowanych funkcji wykorzystuje się odpowiednie oprogramowanie, np. arkusz kalkulacyjny lub MathCAD. Wykresy przydają się przy wzrokowej analizie zmienności funkcji.
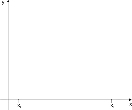
Często obliczenia musimy zobrazować wykresem - szczególnie dotyczy to różnego rodzaju analiz i symulacji komputerowych. W elektronice często wykres informuje nas o własnościach danego elementu. Jeden wykres jest lepszy od tysiąca liczb. Wykres w arkuszu kalkulacyjnym MS-Excel będzie oparty na współrzędnych punktów. Zasada jego tworzenia jest następująca:

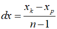
Na osi OX wybieramy dwa punkty xp oraz xk. Punkty te wyznaczą nam przedział argumentów, dla którego arkusz będzie tworzył wykres funkcji.
xp - punkt początkowy przedziału
xk - punkt końcowy przedziału

Przedział dzielimy na n równoodległych od siebie punktów x0, x1, ... xn-1.

Wyznaczamy odległość dx pomiędzy dwoma sąsiednimi punktami wg wzoru:

Wzór ten można bardzo prosto wytłumaczyć: n punktów x0, x1, ..., xn dzieli przedział [xp,xk] na n – 1 równych odcinków dx. Zatem, aby obliczyć dx, dzielimy długość przedziału przez liczbę odcinków i otrzymujemy powyższy wzór.
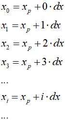
Teraz możemy wyznaczyć wartości poszczególnych punktów xi,


Dla
każdego z punktów xi,

Otrzymane w ten sposób punkty połączymy wygładzonymi liniami za pomocą kreatora wykresów.
Przykład:
W celu praktycznego przedstawienia tej metody narysujemy wykres funkcji:

Uruchom arkusz kalkulacyjny Excel:

W komórkach A1, A2, A3 i A4 wpisz poniższe teksty (dosuń je do prawej krawędzi komórki):

Komórki kolumny B wypełnij poniższą treścią:

Za n wybraliśmy 101 punktów. Wtedy podział przy wyliczaniu dx jest przez 100. Teraz musimy przygotować kolumny z danymi. Najpierw wpiszemy etykiety kolumn. W kolumnie A będziemy mieli numery punktów. W kolumnie B będą wartości kolejnych punktów. W kolumnie C będą wartości funkcji dla wyznaczonych punktów w przedziale. W tym celu w komórkach A5, B5 i C5 wpisz:

Komórki A6...A106 musimy teraz wypełnić kolejnymi liczbami 0,1,2,...,100. Oczywiście nie zrobimy tego ręcznie, lecz skorzystamy z funkcji edycyjnych Excela. Do komórek A6 i A7 wpisz kolejno 0 i 1, a następnie zaznacz je przeciągnięciem lewym przyciskiem myszki:

Następnie chwyć myszką mały kwadracik w prawym dolnym rogu zaznaczenia (uchwyt kopiowania) i ciągnij go w dół. W ten sposób każesz Excelowi powielać zaznaczone komórki. Ponieważ w komórkach są różne wartości, Excel utworzy ciąg arytmetyczny i w efekcie w wynikowym obszarze otrzymamy kolejne liczby 0, 1, 2... Przeciąganie w dół przerywamy na komórce A106 - Excel informuje cię o ostatniej wartości w małym okienku na spodzie zaznaczonego obszaru. Zatem możesz przerwać przeciąganie, gdy w tym okienku pojawi się liczba 100.
![]() |
![]() |
Gdy przygotujemy kolumnę z numerami punktów, przejdziemy do przygotowania kolumny z wartościami kolejnych punktów xi. Do komórki B6 wpisujemy formułę (adresy komórek we formule możesz wpisywać ręcznie lub klikać na odpowiednie komórki arkusza. Adres bezwzględny uzyskujesz klikając w odpowiednią komórkę i wciskając klawisz F4):

Jeśli wpiszesz poprawnie formułę, to po wciśnięciu klawisza Enter w komórce B6 powinna pojawić się wartość 1, czyli punkt xp. Wróć do komórki B6, chwyć myszką uchwyt kopiowania i przeciągnij go w dół do komórki B106. Otrzymasz wartości kolejnych punktów xi (ustaw wyświetlanie dwóch cyfr po przecinku):

Ostatnią wartością w komórce B106 powinno być 3, czyli xk. Pozostało nam jedynie przygotowanie kolumny C z wartościami funkcji dla wyznaczonych punktów xi. Przechodzimy do komórki C6 i wpisujemy formułę:

Następnie skopiuj komórkę C6 na komórki C7...C106. Otrzymasz wartości funkcji w punktach xi. Ustaw dwie cyfry po przecinku.

Zaznacz na arkuszu komórki z wartościami punktów xi oraz wartościami funkcji w kolumnach B i C:

Wybierz zakładkę Wstawianie, a następnie typ wykresu Punktowy z wygładzonymi liniami.

Na arkuszu pojawi się okno z wykresem funkcji. Ustaw je, tak aby nie zasłaniało danych. Następnie za pomocą narzędzi Projektowanie dostosuj wykres do swoich potrzeb. Wykorzystaj narzędzie Szybki układ, które udostępnia wiele gotowych stylów wykresów.

Otrzymałeś narzędzie do przeglądania wykresów funkcji. Zmieniając wartości xp i xk, możesz przeglądać inny fragment wykresu. Co więcej, bezpośrednio z wykresu da się odczytywać pierwiastki funkcji, czyli takie wartości argumentu x, dla których funkcja przyjmuje wartość 0. Przykładowo dwa pierwiastki są w przedziale [1,5, 2,00]. Tam wykres funkcji dwukrotnie przecina oś OX (czyli funkcja przyjmuje dwukrotnie wartość 0). Aby się lepiej przyjrzeć pierwszemu z nich, zmień xp i xk na 1,5 i 1,6. Otrzymasz nowy wykres:

Jeśli chcesz zobaczyć wykres innej funkcji, to musisz zmienić zawartość kolumny C:
![]() |
![]() |
Otrzymałeś bardzo pomocne narzędzie do rysowania wykresów dowolnych funkcji. Ja będę z niego jeszcze wielokrotnie korzystał w tym artykule. Zamiast Excela możesz skorzystać z aplikacji Calc w pakiecie OpenOffice lub LibreOffice. Być może nie jest ona tak wszechstronna jak Excel, lecz ma podstawową zaletę: jest darmowa i legalna.
Mówimy, że funkcja f jest określona w przedziale (a,b), jeśli dla każdego x z tego przedziału potrafimy obliczyć wartość funkcji, czyli y. Pojęcie to jest względnie proste do zrozumienia, jednak uczniowie mają z nim duży problem. Określoność wiąże się z definicją samej funkcji będącej odwzorowaniem elementów ze zbioru X w elementy ze zbioru Y. Jeśli jakiegoś elementu x należącego do zbioru X nie potrafimy odwzorować w element ze zbioru Y, to funkcja f dla tego elementu x jest nieokreślona.
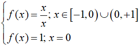
Dla przykładu rozważmy prostą funkcję:

Dla każdego x z przedziału [-1,1] funkcja daje wynik 1, z wyjątkiem x = 0. Otrzymujemy wtedy dzielenie 0 przez 0. Nie potrafimy tego wykonać, ponieważ dzielenie przez 0 jest operacją nieokreśloną. Zatem dla x = 0 funkcja f jest nieokreślona. Aby stała się określona dla wszystkich x z tego przedziału, należy odpowiednio zmienić przepis funkcji:

Teraz wszystko jest w porządku i funkcja f stała się określona w całym przedziale [-1,+1].
Granicą funkcji f w punkcie x0 jest wartość, do której dążą wartości funkcji, gdy jej argumenty coraz bardziej zbliżają się do punktu x0. Ktoś powie: po co te całe granice, po prostu policzmy wartość funkcji w punkcie x0 i gotowe. Zgoda, dla wielu przypadków wystarczy tak zrobić, jeśli w punkcie x0 funkcja jest określona i ciągła (o tej własności pomówimy za chwilę). A co zrobić w przypadkach pozostałych? Musimy policzyć granicę.
Istnieje kilka definicji, wg których liczy się granice. Jednakże są one nieco zawiłe dla ucznia liceum.
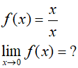
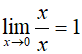
Dla przykładu policzmy granicę:

Aby upewnić się, że granica istnieje w punkcie x0, zbliżamy się do tego punktu od strony liczb większych, a później od strony liczb mniejszych. W przypadku tej funkcji dla każdej wartości x różnej od 0, dostajemy wynik równy 1. Stąd:

Zatem granica istnieje i jest równa 1.
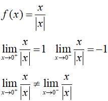
Policzmy teraz granicę funkcji:

Gdy zbliżamy się z x do 0 od strony liczb większych od 0, to wartość funkcji wynosi 1, ponieważ licznik i mianownik są dodatnie. Granica prawostronna jest równa 1. Gdy zbliżamy się z x do 0 od strony liczb mniejszych od 0, to wartość funkcji wynosi -1, ponieważ w liczniku mamy liczbę ujemną, a w mianowniku dodatnią. Granica jest równa -1. Ponieważ obie granice są różne, to funkcja nie ma granicy w punkcie 0.
Funkcja jest ciągła w punkcie x0, jeśli:

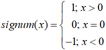
Oznacza to, że funkcja musi być określona w punkcie x0 oraz musi w tym punkcie posiadać granicę równą f(x0). Mówiąc mniej matematycznie, funkcja jest ciągła w pewnym przedziale, jeśli jej wartości nie wykonują w tym przedziale nagłych skoków. Wykres funkcji ciągłej jest linią ciągłą. Przykładem funkcji nieciągłej może być funkcja signum (znak):

Gdy liczymy granicę w punkcie 0, otrzymamy:

Punkt x = 0 nie spełnia definicji ciągłości, ponieważ funkcja w tym punkcie nie ma granicy. Wykres tej funkcji wygląda tak:

W punkcie x = 0 wykres funkcji przerywa się, jest to punkt nieciągłości.
Ciągłość funkcji gwarantuje nam istnienie wartości pośrednich. Jeśli w pewnym przedziale dla dwóch różnych punktów xa oraz xb funkcja przyjmuje wartości f(xa) i f(xb) , to pomiędzy tymi punktami xa i xb istnieją takie punkty x, że funkcja f przyjmuje dla nich wszystkie wartości pośrednie pomiędzy f(xa) a f(xb) – czyli w wartościach funkcji nie ma przerw.

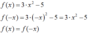
Funkcja f jest parzysta, jeśli dla wszystkich x z jej dziedziny, zachodzi:

Przykłady funkcji parzystych:

Graficznie funkcja jest parzysta, jeśli jej wykres jest symetryczny względem osi OY:

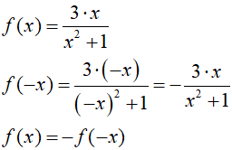
Funkcja f jest nieparzysta, jeśli dla wszystkich x z jej dziedziny, zachodzi:

Przykłady funkcji nieparzystych:

Graficznie funkcja jest nieparzysta, jeśli punkt (0,0) układu współrzędnych jest środkiem symetrii wykresu tej funkcji:

Aby sprawdzić, czy funkcja jest parzysta lub nieparzysta, wystarczy zbadać jej wartości dla x i dla -x. Jeśli zachodzi równość pierwsza, to mamy funkcję parzystą, jeśli druga, to mamy funkcję nieparzystą, a jeśli żadna z tych dwóch, to funkcja nie jest ani parzysta, ani nieparzysta.
Przykłady:
Zbadać parzystość funkcji:

Funkcja jest parzysta.
Zbadać nieparzystość funkcji:

Funkcja jest nieparzysta.
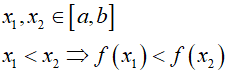
Funkcja f jest rosnąca w przedziale [a,b], jeśli:

Oznacza to, że jeśli weźmiemy z przedziału dwa argumenty x1 i x2, to wartość funkcji dla większego argumentu będzie większa od wartości funkcji dla argumentu mniejszego. Wykres funkcji rosnącej ma linię wznoszącą się:

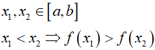
Analogicznie, funkcja f jest malejąca w przedziale [a,b], jeśli:

Wartość funkcji dla większego argumentu jest mniejsza od wartości funkcji dla argumentu mniejszego. Wykres funkcji malejącej ma linię opadającą:

![]() |
Zespół Przedmiotowy Chemii-Fizyki-Informatyki w I Liceum Ogólnokształcącym im. Kazimierza Brodzińskiego w Tarnowie ul. Piłsudskiego 4 ©2026 mgr Jerzy Wałaszek |
Materiały tylko do użytku dydaktycznego. Ich kopiowanie i powielanie jest dozwolone pod warunkiem podania źródła oraz niepobierania za to pieniędzy.
Pytania proszę przesyłać na adres email:
Serwis wykorzystuje pliki cookies. Jeśli nie chcesz ich otrzymywać, zablokuj je w swojej przeglądarce.
Informacje dodatkowe.