|
Wyjście Spis treści Wstecz Dalej
Autor artykułu |
©2026 mgr Jerzy Wałaszek
|
W nauce matematyki najpierw poznałeś
liczby naturalne
(ang. natural numbers)
Liczby naturalne → liczby całkowite,
aby przedstawić wyniki dowolnych odejmowań
Liczby całkowite → liczby wymierne,
aby przedstawić wyniki dowolnych dzieleń
Liczby wymierne → liczby rzeczywiste, aby przedstawić wyniki pierwiastkowań.
Zwróć uwagę, że w zbiorze liczb rzeczywistych nie da się przedstawić pierwiastków kwadratowych (ogólnie o stopniu parzystym) z liczb ujemnych. Przypomnijmy definicję pierwiastka kwadratowego (wiem, że ją na pewno znasz):

Pierwiastek kwadratowy z liczby x jest to taka liczba a, która pomnożona przez siebie daje liczbę x.
Ile wynosi np. pierwiastek kwadratowy z
Zbiór liczb rzeczywistych rozszerzony o pierwiastki kwadratowe z liczb ujemnych nazwano zbiorem liczb zespolonych (ang. complex numbers). Potrzeba istnienia takich liczb pojawiła się w XVI wieku, gdy odkryto, że wzory na rozwiązania równań trzeciego i czwartego stopnia łatwo wyprowadzić, jeśli dopuści się istnienia pierwiastków kwadratowych z liczb ujemnych. Aby zrozumieć pojęcie liczby zespolonej, narysujmy sobie oś liczbową.

Oś liczbowa jest prostą, na której umieściliśmy podziałkę z liczbami. Każdy punkt tej prostej jest liczbą rzeczywistą, zatem odwzorowuje ona zbiór wszystkich liczb rzeczywistych. Oś tę nazwijmy osią rzeczywistą.
Dodajmy teraz drugą oś liczbową, która jest prostopadła do osi rzeczywistej i przecina ją w punkcie 0.

Otrzymaliśmy kartezjański układ osi współrzędnych. Oś pozioma to oś rzeczywista. Natomiast oś pionową nazwano osią urojoną (ang. imaginary axis). Nazwa ta pochodzi z odległych czasów, gdy wcale nie przyjmowano takich idei ochoczo (ktoś sobie coś uroił i próbuje to wcisnąć nam, matematykom!). Gdy mieliśmy jedynie oś rzeczywistą, to liczby mogły się znajdować tylko na niej. Po dodaniu osi urojonej, liczby mogą znajdować się na całej płaszczyźnie, którą nazywamy płaszczyzną zespoloną (ang. complex plane). Liczba zespolona jest teraz punktem na płaszczyźnie zespolonej (a nie punktem jedynie na prostej – czy wyobrażasz sobie, jakie to duże rozszerzenie? Czy zatem naprawdę jest to jakieś tam urojenie? Każda nowa idea napotyka najpierw na opór, a entuzjazm pojawia się później, gdy ludzie się oswoją z nowym).

Każdy punkt płaszczyzny, czyli każdą liczbę zespoloną, możemy
jednoznacznie przedstawić w postaci jej współrzędnych:
współrzędnej rzeczywistej na osi poziomej oraz
współrzędnej urojonej
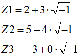
na osi pionowej. Na powyższym rysunku zaznaczyliśmy trzy liczby
zespolone, które w tym układzie posiadają współrzędne:
Za jednostkę osi urojonej przyjmijmy:

Nasze liczby możemy wtedy zapisać jako:

Zamiast ciągle
pisać pierwiastki

Jak rozumieć ten zapis? Dokładnie tak, jak to przedstawiliśmy powyżej. Liczba zespolona jest punktem płaszczyzny zespolonej i zapisujemy ją w postaci sumy dwóch współrzędnych: rzeczywistej Re i urojonej Im. Część urojoną mnożymy przez jednostkę osi urojonej. Jest to bardzo eleganckie rozwiązanie, ponieważ integruje ono liczby zespolone ze zbiorem liczb rzeczywistych: jeśli część urojona jest równa zero, to liczba zespolona sprowadza się do zwykłej liczby rzeczywistej. Tak jest z liczbą:

Mogą również istnieć czyste liczby zespolone, jeśli ich część rzeczywista jest równa 0:

Liczby takie nazywamy liczbami urojonymi (ang. imaginary numbers).
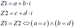
Dwie liczby zespolone są równe, jeśli ich części rzeczywiste i urojone są równe:

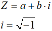
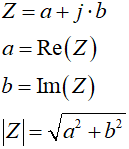
Liczba zespolona jest liczbą postaci:
![]() |
||
| a | – | część rzeczywista |
| b | – | część urojona |
| i | – | jednostka urojona równa
pierwiastkowi kwadratowemu |
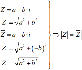
Moduł liczby zespolonej definiujemy następująco:

Geometrycznie jest to długość odcinka, który łączy punkt 0,0 układu współrzędnych z punktem reprezentującym liczbę zespoloną na płaszczyźnie zespolonej (długość tego odcinka liczymy w prosty sposób z twierdzenia Pitagorasa, otrzymując podany wzór):

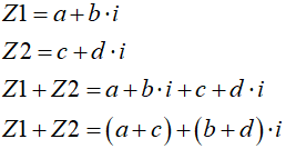
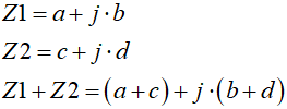
Liczbę zespoloną możemy potraktować jako wyrażenie algebraiczne. Stąd:

Zasada jest bardzo prosta. Jeśli dodajemy dwie liczby zespolone, to sumujemy osobno ich części rzeczywiste i urojone.
Przykład:

Zwróć uwagę, że jeśli części urojone są równe 0, to suma liczb zespolonych sprowadza się do sumy liczb rzeczywistych:

Musi tak być, ponieważ liczba zespolona z częścią urojoną równą 0 leży na osi rzeczywistej, czyli jest zwykłą liczbą rzeczywistą. Zasady arytmetyki liczb zespolonych muszą być z tego powodu spójne z zasadami arytmetyki liczb rzeczywistych. Inaczej cała ta teoria nadawałaby się tylko do kosza!
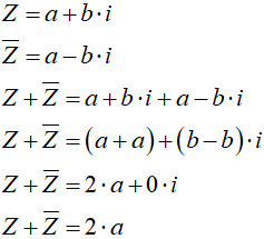
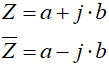
Przez liczbę sprzężoną (ang. complex
conjugate) do danej liczby zespolonej

Suma liczby zespolonej z jej liczbą sprzężoną daje zawsze liczbę rzeczywistą, ponieważ części urojone znoszą się:

Moduły liczb sprzężonych są zawsze sobie równe:

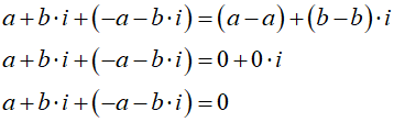
Z definicji suma liczby z liczbą do niej przeciwną daje 0:

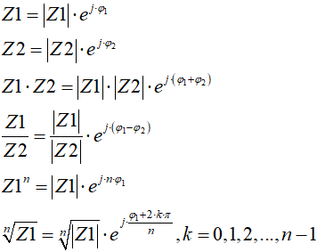
Dla liczb zespolonych mamy:

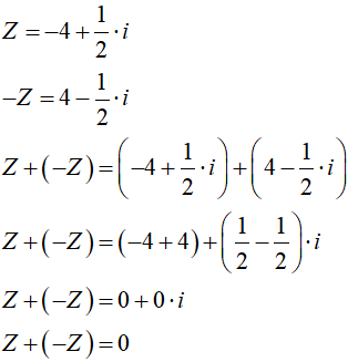
Zatem liczbą przeciwną do liczby
Przykład:

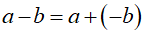
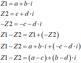
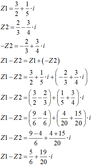
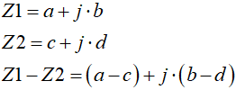
Odejmowanie jest definiowane jako dodawanie liczby przeciwnej:

Tak samo jest dla liczb zespolonych:

Przykład:

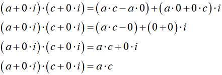
Mnożenie dwóch liczb zespolonych definiujemy następująco:

Przykład:

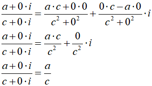
Gdy części urojone obu mnożonych liczb są równe 0, mnożenie liczb zespolonych sprowadza się do zwykłego mnożenia liczb rzeczywistych:

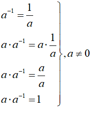
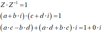
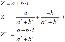
Iloczyn liczby i jej odwrotności jest równy 1:

To samo obowiązuje dla liczb zespolonych:

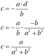
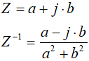
Z własności mnożenia liczb zespolonych wyprowadzimy wzór na odwrotność liczby zespolonej:
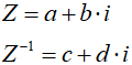
Niech:

Korzystając z definicji liczby odwrotnej oraz z zasad mnożenia liczb zespolonych, mamy:

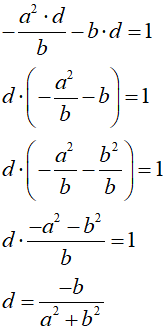
Skoro wynik mnożenia jest czystą liczbą rzeczywistą, to część
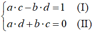
urojona musi być równa 0. Dostajemy zatem układ dwóch równań
liniowych z niewiadomymi

Rozwiązujemy ten układ. Z równania (II) wyliczamy

Teraz wyliczamy d:

Mając wyliczone d, wstawiamy wynik do równania

Ostatecznie:

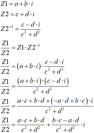
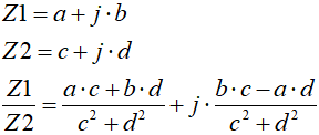
Dzielenie liczby

Tak samo będzie dla liczb zespolonych:

Przykład:

Gdy części urojone obu dzielonych liczb są

Liczby zespolone mogą być przedstawiane matematycznie na kilka sposobów.
Podaliśmy ją powyżej. Liczba zespolona przedstawiana jest jako suma części rzeczywistej i części urojonej pomnożonej przez jednostkę urojoną:

Postać ta jest szczególnie wygodna przy dodawaniu i odejmowaniu liczb zespolonych.
Uwaga:
Wybierzmy na płaszczyźnie zespolonej dowolny punkt, który reprezentuje liczbę zespoloną Z:

Na osi rzeczywistej mamy współrzędną aliczby Z. Na osi urojonej mamy współrzędną b liczby Z. Zapisujemy to formalnie w sposób następujący:

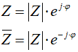
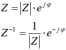
Moduł liczby Z jest długością odcinka, który łączy początek układu współrzędnych z punktem Z. Moduł obliczamy wg wzoru:

Kąt α jest katem, który tworzy odcinek z osią rzeczywistą. Wykorzystując trygonometrię, piszemy:

Zastępujemy w postaci kanonicznej

Otrzymaliśmy w ten sposób zapis liczby zespolonej w postaci trygonometrycznej. Kąt
α nazywamy argumentem liczby zespolonej
i oznaczamy
Postać algebraiczna → postać trygonometryczna

Postać trygonometryczna → postać algebraiczna

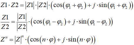
Sens wprowadzenia nowej postaci liczby zespolonej pojawia się wtedy, gdy mamy z tego jakąś korzyść. Otóż okazuje się, że w postaci trygonometrycznej dużo łatwiej wykonuje się mnożenie, dzielenie, potęgowanie i pierwiastkowanie liczb zespolonych. Aby nie zanudzać czytelnika wyprowadzaniem wzorów, podamy ich postać końcową (w elektrotechnice tradycyjnie kąt pomiędzy odcinkiem modułowym liczby zespolonej a osią rzeczywistą oznacza się literką grecką φ):

Z pierwiastkami
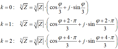
jest nieco inaczej. Otóż okazuje się, że liczba zespolona
posiada zawsze tyle pierwiastków, ile wynosi stopień
pierwiastka. Np. pierwiastek czwartego stopnia z liczby
zespolonej Z daje cztery liczby zespolone

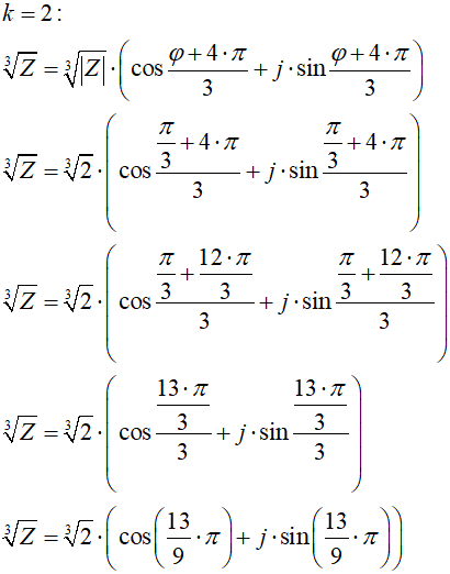
Powyższy wzór jest w rzeczywistości uproszczonym zapisem n wzorów, a w każdym należy przyjąć inną wartość współczynnika k, który przechodzi przez kolejne wartości od 0 do n – 1. Na przykład:

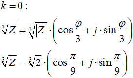
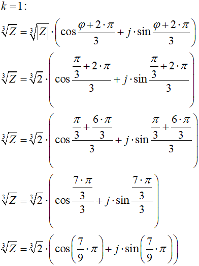
Przykład:
Obliczyć pierwiastki trzeciego stopnia z liczby:

Najpierw zamieniamy liczbę zespoloną z postaci algebraicznej na trygonometryczną:

Gdy mamy postać trygonometryczną, stosujemy podane wzory:
![]() ![]() ![]() ![]() |
Jako ćwiczenie policz wszystkie pierwiastki trzeciego i czwartego stopnia z liczby 1, a następnie zaznacz rozwiązania na płaszczyźnie zespolonej. Co otrzymasz?
Przyjmijmy:

Liczba e jest podstawą logarytmów naturalnych. Jest to stała powszechnie stosowana w matematyce wyższej. Liczba e jest liczbą niewymierną, którą otrzymuje się jako granicę wyrażenia:

Wartość e wynosi w przybliżeniu 2,71828182. Jeśli interesuje cię więcej cyfr, to kliknij w liczbę.
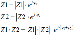
Postać wykładniczą liczby zespolonej otrzymamy bezpośrednio z postaci trygonometrycznej:

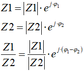
Postać wykładnicza liczby zespolonej jest wygodna przy mnożeniu, dzieleniu, potęgowaniu oraz pierwiastkowaniu:

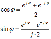
Wyliczmy na koniec wartości dwóch charakterystycznych wyrażeń (są to tzw. wzory Eulera):



postać trygonometryczna



postać trygonometryczna





postać trygonometryczna



postać algebraiczna


postać wykładnicza


postać trygonometryczna



postać wykładnicza


postać wykładnicza


![]() |
Zespół Przedmiotowy Chemii-Fizyki-Informatyki w I Liceum Ogólnokształcącym im. Kazimierza Brodzińskiego w Tarnowie ul. Piłsudskiego 4 ©2026 mgr Jerzy Wałaszek |
Materiały tylko do użytku dydaktycznego. Ich kopiowanie i powielanie jest dozwolone pod warunkiem podania źródła oraz niepobierania za to pieniędzy.
Pytania proszę przesyłać na adres email:
Serwis wykorzystuje pliki cookies. Jeśli nie chcesz ich otrzymywać, zablokuj je w swojej przeglądarce.
Informacje dodatkowe.