|
Wyjście Spis treści Wstecz Dalej
Autor artykułu |
©2026 mgr Jerzy Wałaszek
|
Z przewodami (ang. wires) spotkasz się w praktycznie każdym projekcie elektronicznym. Dlatego powinieneś o nich coś wiedzieć.
Przewody wykonywane są najczęściej z miedzi, ponieważ metal ten dobrze przewodzi prąd elektryczny oraz jest plastyczny. Przewody mogą być "gołe" lub pokryte izolacją.
![]() Drut pełny |
![]() Drut-linka |
Przewody wykonane z drutu są sztywne. Ich wielokrotne wyginanie może doprowadzić do zmęczenia materiału i pęknięcia przewodu. Jeśli przewód musi być elastyczny, to stosuje się plecionkę z cienkich drucików. Takie druciki są bardziej elastyczne i przewód staje się giętki (np. wszystkie przewody zasilające zewnętrzne muszą być wykonane z linki miedzianej, nie z pojedynczych drutów).
Linki stosuje się również w obwodach pracujących z dużą częstotliwością. Otóż okazuje się, że prąd przemienny o wysokiej częstotliwości wnika w przewód tylko do pewnej głębokości – jest to tzw. zjawisko naskórkowości. Głębokość ta jest tym mniejsza im częstotliwość jest większa. Powoduje to, że pełne przewody mają dla prądów o dużej częstotliwości większą oporność od przewodów zbudowanych z wiązki cienkich drucików. W normalnych układach elektronicznych nie będziesz musiał zwracać na to zjawisko uwagi, ale pamiętaj, że coś takiego istnieje.
Przewody wykorzystuje się często do wykonywania tzw. zworek, czyli połączeń ścieżek na płytce drukowanej:

Zworki robi się z pełnego drutu miedzianego lub z drutu miedzianego pokrytego cyną, który lepiej się lutuje. W sklepach elektronicznych można kupić doskonały przewód o nazwie kynar. Jest to cienki drucik miedziany, srebrzony w izolacji:

Kynar bardzo dobrze się lutuje, można go bez problemu przylutować do ścieżek na płytce drukowanej i odpowiednio ukształtować.
Podstawowym parametrem drutu jest jego średnica d lub pole przekroju poprzecznego (w skrócie przekrój) S. Druty są najczęściej okrągłe, zatem mając jeden z tych parametrów, łatwo obliczymy drugi.
![]() |
![]() |
![]() |
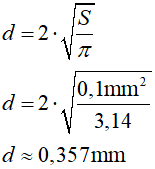
Przykład:
Obliczyć pole przekroju drutu o średnicy 0,5mm.

Przykład:
Obliczyć średnicę drutu o polu przekroju 0,5mm2.

Jeśli przewód ma względnie dużą średnicę (powyżej 0,4mm), to możesz ją łatwo zmierzyć suwmiarką. Przy mniejszych średnicach stosujemy prostą sztuczkę: bierzemy walec o stałej średnicy, może być ołówek. Nawijamy na nim ciasno 10 lub więcej zwojów drutu, którego średnicę chcemy zmierzyć. Mierzymy szerokość nawiniętych zwojów i dzielimy ją przez liczbę zwojów. Otrzymamy średnicę drutu.
Kolejnym ważnym parametrem jest obciążalność prądowa przewodu, czyli maksymalne natężenie prądu, który przez dany przewód może płynąć nie powodując jego zniszczenia. Musisz wiedzieć, że przepływający prąd przez przewodnik powoduje jego nagrzewanie. Jeśli odprowadzanie ciepła jest wolniejsze od szybkości tego nagrzewania, to temperatura przewodu będzie rosła, aż do spalenia izolacji i stopienia miedzi. O ile nie jest to właśnie twoim celem, to przewody powinny być dobierane, tak aby mogły bezpiecznie przewodzić założoną wartość prądu (dla bezpieczeństwa lepiej przyjąć kilkukrotnie większe natężenie). Na szczęście, w typowych urządzeniach cyfrowych prądy nie są duże i zwykle nie będziesz musiał brać obciążalności prądowej pod uwagę, chyba że urządzenie steruje jakimś silnikiem, siłownikiem lub czymś innym o dużym poborze prądu. Wzór obliczeniowy na obciążalność jest dosyć skomplikowany, ponieważ zależy ona od wielu parametrów (rodzaj metalu użytego na przewód, kształt przewodu, rodzaj izolacji, wymiary przewodu, temperatura środowiska, itp.), których zwykle nie znasz. W przybliżeniu przyjmij, że jest to około 10A na 1mm2 przekroju przewodu.
Przykład:
Układamy proporcję:

Stąd

Mamy pole przekroju, przeliczamy je na średnicę drutu:

Przewód o średnicy od 0,4mm wzwyż będzie dobry.
Przykład:
Obliczamy pole przekroju:

Układamy proporcję:

Stąd:

Przewód powinien wytrzymać prąd 2A.
Powyższe obliczenia są jedynie orientacyjne. Dla większych prądów skorzystaj z tablic, które bez problemów znajdziesz w sieci.
Kolejnym parametrem przewodu jest odporność na przebicie. Parametr ten jest istotny, jeśli masz do czynienia z przewodem zasilającym z sieci energetycznej. Należy wtedy stosować przewody z izolacją o wytrzymałości 500V. Zwykle są to przewody o podwójnej izolacji:

Najlepszym rozwiązaniem jest kupno odpowiedniego kabla zasilającego i zainstalowanie w urządzeniu gniazda sieciowego. Z siecią nie wolno żartować, bo to może zakończyć się nawet śmiertelnym porażeniem, a tego przecież nie chcemy.

Odporność na przebicie znajdziesz w materiałach producenta przewodu.
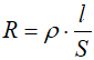
Ostatnią tu opisywaną własnością przewodów jest ich oporność. Parametr ten staje się istotny przy długich przewodach. Przy krótkich zwykle możesz go pominąć. Oporność przewodu liczymy z prostego wzoru przybliżonego (dokładny jest skomplikowany):

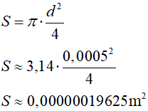
Przykład:
Najpierw obliczamy pole przekroju (uwaga, trzeba przeliczyć jednostki!!!):

Obliczamy oporność przewodów (długość razy 2, ponieważ w kablu zasilającym są dwa przewody):

Spadek napięcia obliczymy ze wzoru (prawo Ohma):

Jeśli urządzenie wymaga zasilania napięciem 5V, to zasilacz w tym przypadku powinien dostarczać napięcia około 7V. Jak widzisz przewody w pewnych warunkach mogą istotnie wpływać na działanie urządzeń, dlatego nie powinieneś ich zupełnie ignorować w swoich projektach.
Więcej na temat przewodów znajdziesz w artykule w Wikipedii.
W czasach swojej młodości uczęszczałem na kółko elektroniczne organizowane dla młodzieży w tarnowskim Pałacu Młodzieży – tak się ten budynek do dziś nazywa, chociaż pałacu nie przypomina (a może jednak?):

Pamiętam, że na wstępnych zajęciach była nauka lutowania ze sobą przewodów, tworzenie tzw. antenek. Umiejętność ta później bardzo się przydawała. Warto zatem sobie to przećwiczyć na początek. Samo lutowanie jest bardzo proste pod warunkiem, że będziesz to robił prawidłowo.
Przygotuj: cynę w postaci drutu, kalafonię, ostry nożyk, lutownicę, koszulki termokurczliwe lub taśmę izolacyjną i oczywiście drut:

Usuń z końców drutów do lutowania izolację na długości 7...10mm. Najprościej robi się to delikatnie nacinając wokoło izolację drutu i ściągając ją za pomocą szczypiec.

Rozgrzanym grotem lutownicy pokryj miedziane końcówki drutów kalafonią. Kalafonia rozpuszcza tlenki i ułatwia zwilżanie miedzi cyną.

Nabierz na grot lutownicy nieco cyny i pocierając nim końcówki przewodów pokryj je cyną. Operację tę dobrze wykonywać w kąpieli z kalafonią (zanurzasz w roztopionej kalafonii końcówkę przewodu i grot lutownicy, którym pocierasz przewód aż pokryje go cyna).

Umocuj oba przewody, tak aby ich ocynowane końcówki stykały się ze sobą. Ja korzystam tutaj z "trzeciej ręki", czyli lupy z krokodylkami – bardzo pożyteczne urządzenie.

Nabierz na grot lutownicy nieco cyny i pocieraj nim końce przewodów, aż cyna wleje się pomiędzy końcówki:

Lut jest gotowy. Teraz należy go zabezpieczyć. Do tego celu najlepiej nadają się koszulki termokurczliwe. Są to rurki wykonane z tworzywa, które kurczy się pod wpływem temperatury. Dodatkowo zapewniają one dobrą izolację przed zwarciami. Rurki termokurczliwe kupisz praktycznie w każdym sklepie elektronicznym, metr kosztuje około 80 gr. Kupuj rurki o średnicy większej od średnicy lutowanych przewodów, bo inaczej będą problemy z naciągnięciem rurki na miejsce lutowania. Rurka po skurczeniu ma średnicę około dwa razy mniejszą.

Po założeniu rurki termokurczliwej podgrzej przez parę sekund miejsce lutowania nad kuchenką gazową lub nad płomieniem zapalniczki/świecy/zapałki (nie zbliżaj zbytnio do ognia, bo spalisz rurkę i izolację). Jeśli posiadasz stację lutowniczą z nadmuchem gorącego powietrza, to jest to idealne narzędzie do kurczenia rurek, ale zwykła kuchenka w prostych sytuacjach spisuje się równie dobrze.

Po tym zabiegu lutowanie jest skończone.
Linki są złożone z wiązki cienkich drucików miedzianych, które zapewniają przewodowi odpowiednią elastyczność.

Rozpocznij od równego przycięcia końców przewodów, tutaj przydadzą się ostre cążki do drutu.

Następnie ściągnij izolację z końców przewodu na długości 7...10mm. Przy ściąganiu izolacji podetnij ją dokoła ostrym nożykiem, lecz rób to delikatnie, aby nie przeciąć zbyt wielu żyłek w przewodzie.

Rozchyl delikatnie żyłki przewodów, aby utworzyły "miotełki":

Wsuń końcówki w siebie, tak aby druciki się nawzajem przenikały. Następnie skręć je ze sobą mocno. Nabierz na grot lutownicy kalafonii z cyną i pocieraj nim miejsce połączenia, aż cyna wniknie w przestrzeń pomiędzy żyłkami przewodów.

Naciągnij na połączenie koszulkę termokurczliwą i podgrzej złącze nad kuchenką gazową lub płomieniem zapalniczki/świecy/zapałki (przez dosłownie dwie... trzy sekundy na wysokości około 10 cm od ognia). Rurka zaczyna się kurczyć w temperaturze około 120ºC. Kurczy się do mniej więcej połowy średnicy początkowej.

Więcej informacji na ten temat znajdziesz w serwisie YouTube. Wpisz hasło "lutowanie przewodów".
Płytka stykowa (ang. breadboard) jest bardzo pożytecznym wynalazkiem, który umożliwia ci w prosty sposób przetestowanie działania tworzonego urządzenia bez konieczności wykonywania płytki drukowanej i lutowania.

Płytka posiada otworki, w które można wsuwać końcówki elementów elektronicznych. Wewnętrznie gniazda są połączone ze sobą następująco:

Dawniej elektronicy montowali swoje prototypy "na pająka", tzn. lutowali elementy ze sobą za pomocą ich końcówek lub kawałków przewodów. Nie wyglądało to zbyt ładnie:

A teraz wyobraź sobie ilość pracy do zmiany czegokolwiek w takim układzie. Płytka stykowa zdecydowanie posunęła sprawy do przodu.
Tworząc prototypy na płytce stykowej będziesz musiał łączyć przewodami jej gniazda. W sklepie elektronicznym można zakupić odpowiedni zestaw zworek:

W sprzedaży są również przewody do połączeń na płytce stykowej:

Zaletą tego rozwiązania jest niewątpliwie profesjonalne wykonanie i wygląd zworek/przewodów. Wadą natomiast jest ich cena. Tymczasem takie zworki/przewody można wykonać samemu za dosłownie grosze. Zacznijmy od zworek, bo nie będzie potrzebne lutowanie.
Najprościej można je wykonać z kabla Ethernet UTP. Kabel kupisz w sklepie elektronicznym - 1 m powinien ci wystarczyć. Zwróć uwagę, czy przewody są wykonane z drutu, ponieważ spotyka się również lepsze kable UTP wykonane linką, która ma lepsze własności przy dużych szybkościach transmisji - tutaj jednak potrzebny będzie drut.

Wewnątrz kabel UTP składa się z czterech par zwiniętych z sobą przewodów (UTP – ang. Unshielded Twisted Pair = nieekranowane skrętki przewodów). Każda skrętka składa się z przewodu sygnałowego (jednolity kolor) oraz skręconego z nim przewodu masy (zwykle biały z paskiem o takim samym kolorze, jak przewód sygnałowy). Kolory te są potrzebne przy montowaniu sieci Ethernet. Tutaj przydadzą się do tego, iż będziesz miał zworki w różnych kolorach.
Zworkę wykonujesz w sposób następujący:


Zworki z kabla UTP są fajne, ale mają jedną wadę. Druty wykonano z miedzi, a ta jest metalem dosyć miękkim. Powoduje to, że zworki czasami się deformują. Dlatego lepszym pomysłem będzie wykonanie ich z drutu mosiężnego o średnicy 0,6...0,7mm. Taki drut zakupisz w sklepie metalowym. Są również aukcje w serwisie Allegro. Potrzebujesz około 3...4 m, aby zaspokoić wszystkie przyszłe potrzeby pracy z płytką stykową. Ja znalazłem cały zwój takiego drutu u siebie w piwnicy, więc postanowiłem go wykorzystać.

Mosiądz jest stopem miedzi i cynku. Jest twardszy i bardziej wytrzymały od miedzi. Gorzej przewodzi prąd elektryczny niż miedź, ale przecież nie będziemy kładli kilometrów drutu, zatem nie ma to dla nas większego znaczenia.

Drut powinien lekko wchodzić w otwory na płytce stykowej, jednakże nie powinien z nich wypadać. Zbyt gruby drut powoduje trwałe rozchylanie blaszek w gniazdach płytki i później nie trzymają one nóżek elementów tworząc niepewne połączenia. Dlatego ważne jest, aby drut miał średnicę 0,6...07mm.
Najprościej wykonuje się zworki o rozstawie 2,54mm (łączenie sąsiednich rzędów). Wystarczy przygotować sobie jakąś płytkę o odpowiedniej grubości, na której będziemy zaginać drut. Ja wykorzystałem odpad płytki miedziowanej, który został mi po jakimś projekcie (zwykle takich rzeczy nie wyrzucam):

Następnie zaginamy na jej krawędzi drut, tak aby otrzymać kształt zworki. Odcinamy ją od przewodu i przycinamy końcówki na długość około 7mm:

Zworki są gotowe. Identycznie wykonujemy zworki o rozstawie 5,08mm (szerokość trzech rzędów):

Zworki na 2 i 3 rzędy gniazd płytki stykowej możesz również wykonać z końcówek oporników, które pozostają po ich odcięciu po wlutowaniu oporników do płytki drukowanej. Nie wyrzucaj takich odpadów, zawsze się do czegoś przydają.
Zworki o większych rozstawach wykonujemy podobnie, jednak powinniśmy je zaopatrzyć w izolację, aby uniknąć przypadkowych zwarć. Do tego celu najlepiej wykorzystać koszulki termokurczliwe o średnicy 1...1,5mm. Najpierw wykonujesz zworki z drutu o odpowiednim rozstawie końcówek. Następnie przycinasz koszulkę termokurczliwą na właściwą długość i naciągasz ją na zworkę, tak aby znalazła się w środku pomiędzy zagięciami:


Podgrzewasz koszulkę nad płomieniem i zworka gotowa:

Zworek każdego rodzaju (o szerokościach 2...10 rzędów) wykonaj po 20 sztuk. Tyle powinno ci wystarczyć na większość projektów. Pozostałe zworki możesz zawsze wykonać sobie na bieżąco w razie potrzeb. Stosuj koszulki termokurczliwe o różnych kolorach.

Nasze zworki nie wyglądają może jak fabryczne, ale spełniają dokładnie taką samą funkcję, a kosztują ułamek ceny tych pierwszych.

Wykonanie przewodów dla płytki stykowej jest nieco trudniejsze, ponieważ wymaga lutowania. Spotkałem się z propozycjami wykorzystania goldpinów, jednakże z mojego doświadczenia wynika, iż goldpiny są nieco za grube na gniazda płytki stykowej – powodują zbytnie wyginanie styków sprężynek w płytce, co przyspiesza ich zużycie. Dlatego lepszym rozwiązaniem będzie zastosowanie kawałków drutu mosiężnego lub resztek z końcówek po wlutowanych opornikach.
Do wykonania przewodu będziesz potrzebował linkę miedzianą w izolacji (przewód ma być giętki, nie może to być zatem zwykły drut), drut mosiężny lub drut pozostały po lutowaniu części elektronicznych oraz koszulki termokurczliwe o średnicy 1...1,5mm.
Odpowiednią linkę zakupisz w sklepie elektronicznym, powinno wystarczyć 2...3 metry.
Przytnij kawałek linki o odpowiedniej długości (np. 1, 2, 3... cale):

Z końców ściągnij izolację na długości 3...5mm. Robi się to łatwo ostrym nożykiem przyciskając nim linkę i obracając ją dookoła. Następnie nadciętą izolację po prostu ściągasz paznokciem. Nacinanie wykonuj z wyczuciem, bo łatwo przeciąć wraz z izolacją samą linkę:

Druty linki mocno skręć w palcach. Rób to suchymi palcami, aby nie pozostawić na drucikach tłuszczu.

Skręcenie zapobiegnie rozchodzeniu się drucików linki przy lutowaniu. Pokryj końcówki linki cyną. W tym celu nabierz na grot lutownicy nieco cyny, zanurz grot z drutem w roztopionej kalafonii i szybko pocieraj grotem skręcone druciki końcówki linki aż cyna wpłynie pomiędzy nie:

Przygotuj drut mosiężny lub drucik z odpadów po montażu części elektronicznych. Drut oczyść – ma się błyszczeć. Pokryj jego końcówkę cyną pocierając ją grotem lutownicy z nabraną cyną i kalafonią. Ułatwi to lutowanie do linki.

Zamocuj w czymś linkę (przydaje się do tego "trzecia ręka", czyli krokodylki na lupie). Nabierz na grot lutownicy trochę cyny z kalafonią, przytknij do końcówki linki końcówkę drutu i zlutuj je razem:

Drut odetnij w odległości około 7mm od miejsca lutowania. To samo powtórz z drugiej strony linki:

Odetnij dwa kawałki rurki termokurczliwej i nasuń je na oba końce przewodu, tak aby zakryły miejsce lutowania i pozostawiły końcówki drutu odsłonięte:

Podgrzej koszulki nad płomieniem przez 2...3 sekundy:

Przewód jest gotowy:

Przygotuj sobie tyle przewodów, ile będziesz potrzebował.

Do przechowywania zworek i przewodów dobrze jest zorganizować sobie jakieś pudełko (do kupienia w sklepie elektronicznym za parę złotych):

Zdarza się, że występuje konieczność przesłania pomiędzy dwoma urządzeniami wielu sygnałów. W takim przypadku zastosowanie znajdują taśmy wielożyłowe:

Można zakupić tasiemki z przylutowanymi gniazdami goldpin żeńskimi lub męskimi (są również w sprzedaży taśmy z mieszanymi rodzajami goldpinów):

Samodzielne wykonanie takiej tasiemki z wtykami goldpin jest możliwe, ale żmudne i w sumie nieopłacalne, ponieważ gotowa tasiemka kosztuje kilka złotych.
Najczęściej na tasiemkach montuje się gotowe wtyczki wielostykowe, np. typu Kanda:

Tego typu wtyczki posiadają specjalnie ustawione ostrza, które przy zamknięciu zatrzasku przebijają izolację żyłek w taśmie i tworzą trwałe połączenie elektryczne:

Do przesyłania wielu sygnałów służą przewody wielożyłowe. Takim typowym przykładem, z którym się na pewno spotkasz, jest skrętka UTP (ang. Unshielded Twisted Pair) stosowana w sieci Ethernet do łączenia komputerów z przełącznikami lub koncentratorami sieciowymi.

We wspólnym płaszczu izolacji są umieszczone cztery pary skręconych ze sobą przewodów. Przewód sygnałowy ma pełny kolor (brązowy, zielony, niebieski lub pomarańczowy). Z przewodem sygnałowym skręcony jest przewód masy koloru białego z paskiem o kolorze przewodu sygnałowego. Same żyły mogą być wykonane z pojedynczego drutu (nadaje się na zworki dla płytek stykowych) lub z linki, która zwiększa elastyczność przewodu oraz poszerza pasmo przepustowości. Takie skręcenie przewodu masy z przewodem sygnałowym powoduje zmniejszenie zakłóceń.
Możesz również spotkać skrętki ekranowane STP (ang. Shielded Twisted Pair). Posiadają one ekran z folii, którą są owinięte przewody wewnątrz kabla:

Dodatkowy ekran zmniejsza wpływ zakłóceń na przesyłane sygnały. Tego typu przewody stosuje się zwykle w warunkach przemysłowych, gdzie sieć Ethernet musi pracować w środowisku maszyn wywołujących różne zakłócenia elektryczne i magnetyczne.
Skrętek zwykle nie lutuje się, lecz stosuje się wtyczki i gniazda, gdzie przewody są zaciskane specjalnymi zaciskaczami:

Jeśli masz do czynienia z sieciami Ethernet, to taki sprzęt musisz posiadać na swoim wyposażeniu. Przydatny jest również tester przewodów STP/UTP, który pozwoli sprawdzić ci ciągłość połączenia:

Tester składa się z dwóch części: nadajnika i odbiornika. Badany przewód STP/UTP zaopatrzony we wtyczki RJ-45 wpinasz z jednej strony do nadajnika (może być w dużej odległości w zależności od długości kabla), a z drugiej strony do odbiornika i uruchamiasz test. W odbiorniku obserwujesz zapalające się kolejno diody LED. Jeśli wszystkie żyły przewodu mają ciągłość, to diody będą się zapalać kolejno w określonej kolejności. Tester pozwala wykryć przerwy oraz zwarcia żył. Jest to również podstawowe wyposażenie osób pracujących z sieciami Ethernet.
Drugim rodzajem przewodu wielożyłowego, często spotykanego w praktyce elektronika, jest kabel USB (ang. Universal Serial Bus):

Wewnątrz kabla USB znajdują się cztery przewody, dwa zasilania oraz dwa sygnałowe do transmisji danych:

Całość jest ekranowana w celu ochrony przed zakłóceniami.
Żyły kabla USB możesz lutować samodzielnie do wtyczek USB, lecz lepszym pomysłem jest zakup gotowego kabla, gdzie połączenie będzie wykonane profesjonalnie.
![]() |
Zespół Przedmiotowy Chemii-Fizyki-Informatyki w I Liceum Ogólnokształcącym im. Kazimierza Brodzińskiego w Tarnowie ul. Piłsudskiego 4 ©2026 mgr Jerzy Wałaszek |
Materiały tylko do użytku dydaktycznego. Ich kopiowanie i powielanie jest dozwolone pod warunkiem podania źródła oraz niepobierania za to pieniędzy.
Pytania proszę przesyłać na adres email:
Serwis wykorzystuje pliki cookies. Jeśli nie chcesz ich otrzymywać, zablokuj je w swojej przeglądarce.
Informacje dodatkowe.