|
Wyjście Spis treści Wstecz Dalej
Autor artykułu |
©2026 mgr Jerzy Wałaszek
|
Transformator (ang. transformer) jest urządzeniem elektrycznym, które przenosi energię elektryczną pomiędzy dwoma lub więcej obwodami wykorzystując indukcję elektromagnetyczną. Składa się z co najmniej dwóch cewek (istnieją też konstrukcje jednocewkowe, o czym piszemy dalej) nawiniętych na wspólnym rdzeniu:

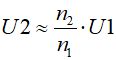
Cewki te są rozdzielone elektrycznie. Oznaczmy je symbolami L1 i L2. Liczbę zwojów cewki L1 oznaczmy jako n1, a liczbę zwojów cewki L2 oznaczmy jako n2. Jeśli do zacisków cewki L1 przyłożymy zmienne napięcie U1, to przez zwoje cewki L1 popłynie zmienny prąd I1, który wytworzy w rdzeniu zmienny strumień magnetyczny Φ1 przenikający zwoje cewki L2:

Strumień ten indukuje w zwojach cewki L2 napięcie U2 o przybliżonej wartości:

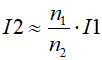
Jeśli do zacisków cewki L2 podłączymy odbiornik, to popłynie prąd I2:

Wzór na prąd I2 jest następujący:

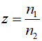
Dokładna równość nie zachodzi, ponieważ w transformatorze rzeczywistym występują różnego rodzaju straty, np. część strumienia magnetycznego wytworzonego przez cewkę L1 rozprasza się poza rdzeniem i nie obejmuje zwojów cewki L2. Niemniej na potrzeby tego artykułu przyjmijmy, że straty te nie przekraczają 10% w dobrze skonstruowanym transformatorze. Oznaczmy symbolem z przekładnię transformatora:

Wzory na napięcia i prądy będą teraz następujące (dla prostoty przyjmujemy równości):

Cewkę zasilającą L1 nazywamy uzwojeniem pierwotnym (ang. primary winding), a cewkę odbiorczą L2 nazywamy uzwojeniem wtórnym (ang. secondary winding). Uzwojeń wtórnych transformator może mieć kilka.
Napięcie zasilające U1 nazywamy napięciem pierwotnym (ang. primary voltage), a napięcie U2 indukowane w uzwojeniu wtórnym nazywamy napięciem wtórnym (ang. secondary voltage).
Podobnie z prądami: I1 to prąd pierwotny (ang. primary current), a I2 to prąd wtórny (ang. secondary current).
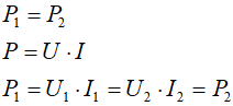
Jeśli pominiemy straty mocy w transformatorze, to moc pobierana przez uzwojenie wtórne musi być równa mocy pobieranej przez uzwojenie pierwotne:

Aby zminimalizować straty na rozpraszaniu strumienia magnetycznego uzwojenia pierwotne i wtórne są zwykle nawijane koncentrycznie:

Oprócz transformatorów dwuuzwojeniowych stosowane są również transformatory jednouzwojeniowe, które nazywamy autotransformatorami (ang. autotransformers):
Na uzwojeniu autotransformatora są odczepy:

Autotransformatory umożliwiają oszczędzanie na uzwojeniach, jeśli przekładnia z jest bliska 1. Wadą autotransformatorów jest brak separacji elektrycznej pomiędzy stroną pierwotną a wtórną. Stosuje się je zwykle w energetyce przy wysokich napięciach. Wzory obliczeniowe są praktycznie identyczne jak dla transformatorów dwuuzwojeniowych.
W praktyce amatorskiej transformatory stosuje się do obniżania napięcia sieciowego 240V do poziomu bezpiecznego dla układów elektronicznych, np. 9V. Zwykle nie będziesz wykonywał transformatora samodzielnie, ponieważ nawijanie uzwojeń bez odpowiednich narzędzi jest czasochłonne i kłopotliwe. Transformatory sprzedają praktycznie wszystkie sklepy elektroniczne.
Dobierając transformator, musisz wziąć pod uwagę kilka parametrów:
Napięcie zasilające strony pierwotnej – w Polsce napięcie sieciowe ma wartość 240V. Niekiedy w sprzedaży możesz napotkać transformatory na napięcie 110V, które nie nadają się do pracy z naszą siecią.
Moc przenoszona – pozwala określić maksymalny prąd, który możesz pobierać z transformatora. Zwykle transformator pracuje z mniejszym prądem, ponieważ przy obciążeniu maksymalnym nagrzewa się.
Napięcie strony wtórnej – powinno odpowiadać docelowemu napięciu, które chcesz uzyskać. Musisz jednak pamiętać, iż napięcie wyjściowe z transformatora jest napięciem przemiennym o częstotliwości 50Hz. Do zasilania układów elektronicznych zwykle będzie ci potrzebne napięcie stałe, zatem napięcie z transformatora należy wyprostować. Typowy prostownik mostkowy zmniejsza napięcie o około 1,4V z powodu spadków na złączach n-p diod. Jeśli chcesz uzyskać 9V, musisz posiadać transformator dający na wyjściu co najmniej 10,4V:

W takim układzie otrzymasz napięcie tętniące z częstotliwością 100Hz:

Napięcie to można wygładzić za pomocą odpowiednio dobranego kondensatora. Po wygładzeniu napięcie wzrośnie:

Kondensator magazynuje energię. Gdy napięcie rośnie, kondensator ładuje się, gdy napięcie spada, kondensator oddaje zgromadzony ładunek. Powoduje to zmniejszenie tętnień. Dla typowych zastosowań kondensator powinien posiadać pojemność około 1000µF.
Jeśli chcesz się pozbyć tętnień, musisz zastosować stabilizator, czyli układ, który utrzymuje napięcie wyjściowe na określonym poziomie. Stabilizator musi być zasilany napięciem wyższym od napięcia stabilizowanego.
Najprostszy stabilizator otrzymasz z diody Zenera. Dioda Zenera pracuje w kierunku zaporowym. Posiada ona taką cechę, iż jeśli napięcie wsteczne na diodzie przekroczy napięcie przebicia, zwane tutaj napięciem Zenera, to przez diodę zacznie płynąć prąd, a na diodzie utrzymuje się napięcie Zenera dla dużych zakresów prądu:

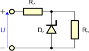
Układ stabilizujący wygląda następująco:

Rz jest opornikiem polaryzującym diodę Zenera, tak aby w normalnych warunkach pracy wystąpiło na niej napięcie Zenera.
Dz jest diodą Zenera o napięciu Zenera UZ.
RO jest obciążeniem.
Oprócz napięcia Zenera charakterystycznym parametrem diody Zenera jest maksymalny prąd przebicia IZmax oraz minimalny prąd przebicia IZmin. Prąd płynący przez diodę IZ nie powinien być większy od IZmax (grozi spaleniem diody), ani mniejszy od IZmin (nie pojawi się efekt Zenera):

Ustalmy średnią wartość:

Ponieważ zwykle prąd minimalny jest bardzo mały, wzór można uprościć:

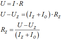
Rozrysujmy napięcia i prądy:

Cała sztuka polega na wyliczeniu wartości opornika RZ, jeśli znamy U, IZ oraz IO lub RO. Przez opornik RZ przepływa prąd diody Zenera IZ plus prąd obciążenia IO. Wartość tego opornika powinna być taka, aby spadek napięcia na nim pomniejszał napięcie U do wartości napięcia Zenera UZ. Z prawa Ohma:

W drugim przypadku, gdy znamy RO :

Nasz zasilacz będzie wyglądał teraz następująco:

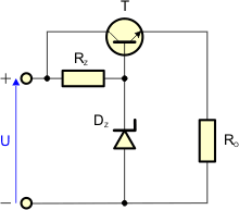
Tego typu zasilacz nadaje się do zasilania układów pobierających niewielki prąd (porównywalny z IZ). Przy większych obciążeniach stosowany jest dodatkowy tranzystor:

Przeanalizujmy taki układ. Zaznaczmy istotne napięcia oraz prądy:

| U | – | napięcie zasilające |
| UR | – | spadek napięcia na oporniku RZ |
| UBE | – | napięcie pomiędzy bazą a emiterem tranzystora, około 0,6V |
| UO | – | spadek napięcia na obciążeniu |
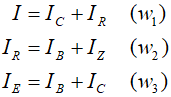
Nasza sieć tworzy dwa oczka. Zgodnie z drugim prawem Kirchoffa mamy:

Napięcie na odbiorniku będzie równe:

Zatem chcąc otrzymać napięcie odbiornika 5V, musisz zastosować diodę o napięciu Zenera równym 5,6V.
Zaznaczmy teraz rozpływy prądów:

| I | – | prąd całkowity pobierany ze źródła zasilania |
| IC | – | prąd kolektora tranzystora T |
| IR | – | prąd płynący przez opornik RZ |
| IB | – | prąd bazy tranzystora T |
| IZ | – | prąd płynący przez diodę Zenera DZ |
| IE | – | prąd emitera tranzystora T |
| IO | – | prąd płynący przez obciążenie RO |
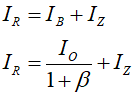
W sieci wyróżniamy trzy istotne węzły: w1, w2 i w3 (węzeł wewnątrz tranzystora T). Zgodnie z pierwszym prawem Kirchoffa mamy:

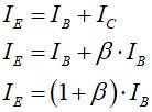
Tutaj rozwiązanie również polega na wyliczeniu opornika RZ przy znanych: U, UZ, β (współczynnik wzmocnienia prądowego tranzystora), IO lub RO. Prądy bazy i kolektora łączy prosta zależność:

Ponieważ prąd emitera jest sumą prądów bazy i kolektora, otrzymujemy:

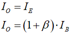
A ponieważ prąd emitera jest również prądem obciążenia:

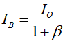
Z tego wzoru wyliczamy prąd bazy tranzystora:

W następnym kroku ustalamy prąd płynący przez diodę Zenera. Powinien on być większy od IZmin, aby na diodzie pojawiło się stałe napięcie Zenera. Wartość odczytasz z parametrów diody, które udostępniają w sieci producenci.
Mając dane prąd bazy i prąd diody Zenera, wyliczamy prąd opornika RZ:

Gdy znamy prąd opornika, wyliczamy jego wartość z prawa Ohma:

Jeśli zamiast prądu obciążenia IO znamy oporność obciążenia RO, to:

Nasz zasilacz wygląda następująco:

W praktyce zwykle stosuje się stabilizatory w postaci układów scalonych, np LM7805 (napięcie wyjściowe 5V), LM7809 (9V), LM7812 (12V) itp., ponieważ posiadają one lepsze parametry oraz zabezpieczenia przed zwarciami i przeciążeniami:
![]() |
![]() |
Stabilizator scalony LM78XX posiada trzy wyprowadzenia:

Do nóżki nr 1 doprowadzasz napięcie z prostownika wygładzone kondensatorem, do nóżki nr 2 podłączasz masę układu, a z nóżki nr 3 zasilasz swój obwód napięciem stabilizowanym o wartości zależnej od typu stabilizatora.
Ze stabilizatorów LM78xx możesz pobierać prąd do 1A (w wersji LM78Lxx do 100mA). Dokładne parametry znajdziesz w danych udostępnianych przez producentów.
Uwaga: zawsze sprawdzaj funkcje wyprowadzeń w danych producenta dla układów o innych oznaczeniach niż 78xx, ponieważ mogą posiadać inny układ wyprowadzeń, mimo podobieństw obudowy, np. stabilizator LD1117 (3,3V):
:Przy zastosowaniu stabilizatora zasilacz wygląda następująco:

Przed i za stabilizatorem dodano tutaj kondensatory 0,1µF, które mają za zadanie filtrowanie zakłóceń pojawiających się często przy zasilaniu układów cyfrowych.
Przy projekcie takiego zasilacza należy zwrócić uwagę, aby napięcie wejściowe (1) nie było dużo wyższe od napięcia stabilizowanego na wyjściu (3). Różnica kilku wolt jest wystarczająca do poprawnego działania stabilizatora (np. zasilanie 9V, wyjście 5V). W przeciwnym razie należy zapewnić odpowiedni radiator, ponieważ układy 78xx mają tendencję do grzania się – na szczęście posiadają zabezpieczenie termiczne i przy zbyt wysokiej temperaturze pracy po prostu się wyłączą aż do ostygnięcia.

Zobacz do Projektów, gdzie opisane są konstrukcje różnych zasilaczy.

Zasilacze transformatorowe powoli odchodzą do historii. Ich miejsce zajmują obecnie zasilacze impulsowe (ang. switched-mode power supply), które są mniejsze i lżejsze. Zasilacze impulsowe posiadają dużą sprawność oraz mogą przenosić znaczną moc. Spotkasz je w sprzęcie komputerowym, ładowarkach telefonów, itp.

Zasilacz impulsowy również posiada transformator, jednak z powodu pracy w zakresie kilkudziesięciu (a nawet kilkuset) kHz transformator jest dużo mniejszy od tradycyjnego. Obecnie staniały znacznie układy zasilaczy impulsowych, co niewątpliwie jest dobrą informacją dla elektroników amatorów. Zasilacze impulsowe możesz zamawiać w sklepach internetowych.
![]() |
Zespół Przedmiotowy Chemii-Fizyki-Informatyki w I Liceum Ogólnokształcącym im. Kazimierza Brodzińskiego w Tarnowie ul. Piłsudskiego 4 ©2026 mgr Jerzy Wałaszek |
Materiały tylko do użytku dydaktycznego. Ich kopiowanie i powielanie jest dozwolone pod warunkiem podania źródła oraz niepobierania za to pieniędzy.
Pytania proszę przesyłać na adres email:
Serwis wykorzystuje pliki cookies. Jeśli nie chcesz ich otrzymywać, zablokuj je w swojej przeglądarce.
Informacje dodatkowe.