|
Serwis Edukacyjny w I-LO w Tarnowie
Materiały dla uczniów liceum |
Wyjście Spis treści Wstecz Dalej
Autor artykułu: mgr Jerzy Wałaszek |
©2026 mgr Jerzy Wałaszek
|
| SPIS TREŚCI |
|
Funkcja kwadratowa ( ang. quadratic function ) jest wielomianem stopnia drugiego:

Współczynniki a, b i c są liczbami rzeczywistymi.
Wykresem funkcji kwadratowej jest parabola:

Równanie kwadratowe ( ang. quadratic equation ) powstaje, gdy przyrównamy funkcję kwadratową do zera:

Matematycy już od czasów starożytnych badali równanie kwadratowe, ponieważ często pojawia się ono przy rozwiązywaniu różnych problemów praktycznych.
W zależności od położenia paraboli względem osi OX, mamy następujące przypadki:



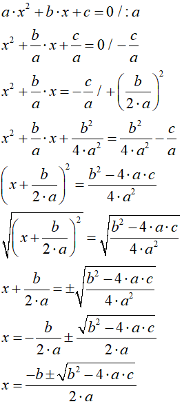
Równanie kwadratowe rozwiązujemy następująco:

Formalnie rozwiązanie wygląda następująco:
Jeśli współczynnik a jest równy 0, to równanie kwadratowe redukuje się do równania liniowego:

Równanie to rozwiązujemy wg metody opisanej w poprzednim rozdziale.
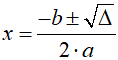
Jeśli a jest różne od zera, to wyliczamy tzw. wyróżnik delta ( ang. delta discriminant ):
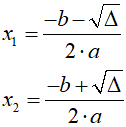
Pierwiastki równania możemy teraz zapisać jako:

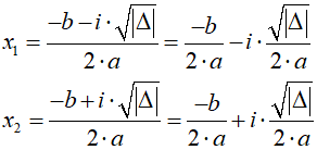
W zależności od wartości wyróżnika delta mamy następujące przypadki:



Zwróć uwagę, że równanie wielomianowe ma zawsze tyle pierwiastków, ile wynosi stopień wielomianu. Jest to własność równań wielomianowych udowodniona przez matematyków. Stąd równanie kwadratowe będące równaniem wielomianowym stopnia drugiego ma zawsze dwa pierwiastki.
| ε | – | dokładność przyrównania do zera |
| a,b,c | – | współczynniki |
| x1, x2 | – | rozwiązania |
| delta | – | wyróżnik równania |
| K01: | Jeśli |a| >
ε, to idź do kroku K04 |
Sprawdzamy, czy a jest różne od zera |
| K02: | Rozwiąż równanie liniowe bx + c = 0 | Wykorzystujemy algorytm z poprzedniego rozdziału |
| K03: | Zakończ | |
| K04: | ![]() |
Obliczamy wyróżnik delta |
| K05: | Jeśli |delta|
<
ε, to![]() Zakończ |
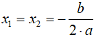
delta = 0? Pierwiastek podwójny |
| K06: | Jeśli delta <
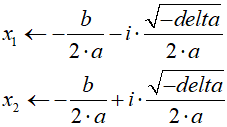
0,
to![]() Zakończ |
delta < 0? Dwa pierwiastki zespolone |
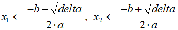
| K07: | ![]() |
Dwa pierwiastki rzeczywiste |
| K08: | Zakończ |
Przykładowy program rozwiązuje kilka równań, a algorytm został w nim zaimplementowany w postaci funkcji.
Brak pierwiastków rzeczywistych:

Pierwiastek podwójny:

Dwa pierwiastki rzeczywiste:

|
Przykładowy program w języku C++
// Równanie kwadratowe
// (C)2019 mgr Jerzy Wałaszek
// Metody numeryczne
//---------------------------
#include <iostream>
#include <cmath>
#include <iomanip>
using namespace std;
// Tutaj definiujemy dane wejściowe
//----------------------------------
double eps = 1e-12; // Dokładność porównania z zerem
// Funkcja rozwiązująca równanie kwadratowe
// a,b,c - współczynniki wielomianu
//-----------------------------------------
void qe(double a, double b, double c)
{
double delta,x1,x2,xre,xim;
cout << endl;
cout << "Równanie: " << a << " * x^2 + " << b << " * x + " << c << " = 0" << endl;
// Jeśli a = 0, to mamy równanie liniowe
if(fabs(a) < eps)
{
cout << "Równanie redukuje się do równania liniowego." << endl;
if(fabs(b) <= eps)
{
cout << "Równanie jest ";
if(fabs(c) <= eps) cout << " nieoznaczone";
else cout << " sprzeczne";
}
else
{
x1 = - c / b;
cout << "Wynik x = " << x1;
}
}
else
{
// Obliczamy wyróżnik
delta = b * b - 4 * a * c;
// W zależności od wartości wyróżnika mamy 3 różne przypadki
if(fabs(delta) < eps) // 1. delta = 0
{
x1 = - b / 2 / a;
cout << "PIERWIASTEK PODWÓJNY:" << endl
<< "x1 = x2 = " << x1;
}
else if (delta < 0) // 2. delta < 0
{
xre = - b / 2 / a; // Część rzeczywista
xim = sqrt(-delta) / 2 / a; // Część urojona
cout << "PIERWIASTKI ZESPOLONE:" << endl
<< "x1 = " << xre << " + " << xim << "i" << endl
<< "x2 = " << xre << " + " << -xim << "i";
}
else // 3. delta > 0
{
delta = sqrt(delta);
x1 = (- b - delta) / 2 / a;
x2 = (- b + delta) / 2 / a;
cout << "PIERWIASTKI RZECZYWISTE:" << endl
<< "x1 = " << x1 << endl
<< "x2 = " << x2;
}
}
cout << endl;
}
// Program główny
//---------------
int main()
{
setlocale(LC_ALL,"");
cout << fixed;
cout << "Równania kwadratowe" << endl
<< "-------------------" << endl;
qe(3,12,15);
qe(9,12,4);
qe(1,-1,-2);
cout << endl;
return 0;
}
|
| Wynik |
| Równania kwadratowe ------------------- Równanie: 3.000000 * x^2 + 12.000000 * x + 15.000000 = 0 PIERWIASTKI ZESPOLONE: x1 = -2.000000 + 1.000000i x2 = -2.000000 + -1.000000i Równanie: 9.000000 * x^2 + 12.000000 * x + 4.000000 = 0 PIERWIASTEK PODWÓJNY: x1 = x2 = -0.666667 Równanie: 1.000000 * x^2 + -1.000000 * x + -2.000000 = 0 PIERWIASTKI RZECZYWISTE: x1 = -1.000000 x2 = 2.000000 |
![]() |
Zespół Przedmiotowy Chemii-Fizyki-Informatyki w I Liceum Ogólnokształcącym im. Kazimierza Brodzińskiego w Tarnowie ul. Piłsudskiego 4 ©2026 mgr Jerzy Wałaszek |
Materiały tylko do użytku dydaktycznego. Ich kopiowanie i powielanie jest dozwolone pod warunkiem podania źródła oraz niepobierania za to pieniędzy.
Pytania proszę przesyłać na adres email:
Serwis wykorzystuje pliki cookies. Jeśli nie chcesz ich otrzymywać, zablokuj je w swojej przeglądarce.
Informacje dodatkowe.