|
Serwis Edukacyjny w I-LO w Tarnowie
Materiały dla uczniów liceum |
Wyjście Spis treści Wstecz Dalej
Autor artykułu: mgr Jerzy Wałaszek |
©2026 mgr Jerzy Wałaszek
|
| SPIS TREŚCI |
|
| Podrozdziały |
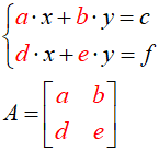
W poprzednim rozdziale rozwiązaliśmy układ dwóch równań liniowych:

Wyprowadziliśmy wzór na zmienną x:

Wyprowadźmy analogiczny wzór na zmienną y:

Ostatecznie:


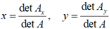
Przyjrzyj się tym wzorom. W obu wzorach mianowniki ułamków są tym samym wyrażeniem. Różne są liczniki. Jeśli potraktujemy liczniki i mianowniki tych ułamków jako wyznaczniki macierzy drugiego stopnia, to:

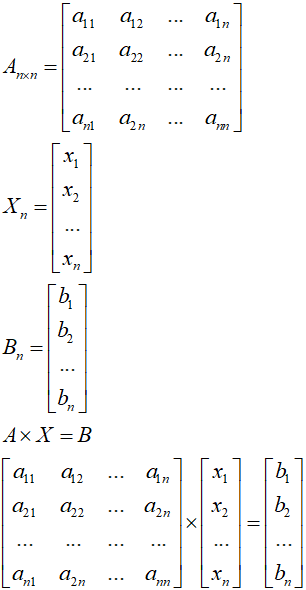
Zapiszmy nasz układ równań zapiszemy w postaci macierzowej:

Macierz A jest macierzą współczynników stojących przy niewiadomych:

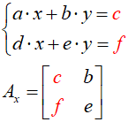
Macierz Ax powstaje z macierzy A, gdy kolumnę współczynników zmiennej x zastąpimy macierzą wyrazów wolnych B:

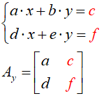
Macierz Ay powstaje z macierzy A, gdy kolumnę współczynników zmiennej y zastąpimy macierzą wyrazów wolnych B:

Układ posiada rozwiązanie, jeśli wyznacznik macierzy A jest różny od 0. Wykorzystując wyznaczniki, możemy teraz zapisać:

Wzory, które otrzymaliśmy w poprzednim podrozdziale, nie są przypadkowe. Matematyk szwajcarski Gabriel Cramer pokazał, iż za pomocą wyznaczników można rozwiązywać układy równań liniowych. Są to tak zwane wzory Cramera ( ang. Cramer's rule ).
Mamy układ n równań z n niewiadomymi:

Zapiszmy ten układ równań w postaci macierzowej:

Macierz kwadratowa A stopnia n jest macierzą współczynników a, które stoją przy niewiadomych x.
Wektor X jest macierzą niewiadomych x.
Wektor B jest macierzą współczynników wolnych b.
Oznaczmy przez Xi macierz, która powstaje z macierzy A przez zastąpienie wyrazów w kolumnie i-tej wyrazami wektora B:

Wartości zmiennych układu równań obliczamy ze wzorów Cramera:

Układ posiada rozwiązanie, jeśli wyznacznik macierzy współczynników A jest różny od zera. Jeśli wyznacznik macierzy A jest równy zero, to układ równań jest albo sprzeczny ( nie posiada rozwiązań ), albo nieoznaczony ( posiada więcej niż jedno rozwiązanie ).
Dla n niewiadomych x metoda Cramera wymaga policzenia n + 1 wyznaczników stopnia n. Powoduje to, iż ma ona klasę złożoności obliczeniowej równą O(n4), jeśli wyznaczniki są liczone za pomocą rozkładu LU. Istnieją lepsze metody rozwiązywania układów równań liniowych.
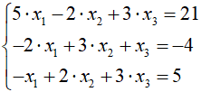
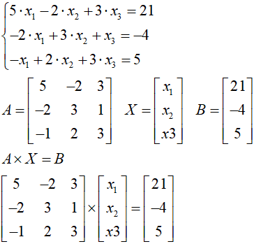
Przykład:

Układ zapisujemy macierzowo:

Obliczamy wyznacznik macierzy współczynników A. Wykorzystujemy schemat Saurrusa:

Obliczamy wyznacznik macierzy X1:

Obliczamy wyznacznik macierzy X2:

Obliczamy wyznacznik macierzy X3:

Obliczamy niewiadome:

Sprawdzamy, czy wyliczone wartości niewiadomych spełniają równania:

Poniższy program rozwiązuje za pomocą wzorów Cramera układ równań liniowych. Program zawiera funkcję obliczającą wyznacznik macierzy, która wykorzystuje rozkład LU z piwotowaniem. Dane wejściowe do programu wyglądają następująco:
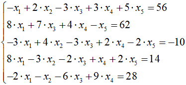
Układ równań:

|
Dane wejściowe:
5 -1 2 -3 3 5 8 0 7 4 -1 -3 4 -3 2 -2 8 -3 -2 1 2 -2 -1 -6 9 0 56 62 -10 14 28 |
|
Przykładowy program w języku C++
// Wzory Cramera
// (C)2019 mgr Jerzy Wałaszek
// Metody numeryczne
//---------------------------
#include <iostream>
#include <iomanip>
#include <cmath>
using namespace std;
const double EPS = 0.000000001;
// Funkcja oblicza wartość wyznacznika macierzy
// metodą rozkładu LU z piwotowaniem
// n - stopień macierzy
// A - wskaźnik macierzy
//---------------------------------------------
double det(int n, double ** A)
{
int i, j, k, * W, md, maxw;
double sum, akk, maxe;
// Mnożnik korekcyjny dla wyznacznika
md = 1;
// Tworzymy wektor wierszowy
W = new int [n];
// Inicjujemy wektor wierszowy numerami wierszy
for(i = 0; i < n; i++) W[i] = i;
// Rozkład LU
for(k = 0; k < n; k++)
{
maxw = k; // numer wiersza z elementem max
maxe = fabs(A[W[k]][k]);
// Szukamy elementu max
for(i = k + 1; i < n; i++)
if(fabs(A[W[i]][k]) > maxe)
{
maxw = i;
maxe = fabs(A[W[i]][k]);
}
// Jeśli max jest zero, to macierz jest zdegenerowana
if(maxe <= EPS) return 0;
// Jeśli max nie leży na przekątnej, zamieniamy wiersze
if(maxw != k)
{
md = -md; // Modyfikujemy mnożnik
swap(W[k], W[maxw]);
}
// Dzielnik
akk = A[W[k]][k];
// Normalizujemy kolumnę
for(i = k + 1; i < n; i++)
A[W[i]][k] = A[W[i]][k] / akk;
// Modyfikujemy podmacierz
for(i = k + 1; i < n; i++)
for(j = k + 1; j < n; j++)
A[W[i]][j] = A[W[i]][j] - A[W[i]][k] * A[W[k]][j];
}
// Obliczamy wyznacznik;
sum = md * A[W[0]][0];
for(k = 1; k < n; k++) sum *= A[W[k]][k];
delete [] W;
return sum;
}
// Program główny
//---------------
int main()
{
setlocale(LC_ALL,"");
cout << setprecision(5) << fixed;
cout << "Rozwiązywanie układu równań liniowych wzorami Cramera" << endl
<< "-----------------------------------------------------" << endl << endl
<< "Wpisz dane wejściowe:" << endl << endl;
int i,j,k; // Indeksy
int n; // Liczba równań w układzie
cin >> n;
// Tworzymy dynamicznie potrzebne macierze
double ** A ; // Macierz współczynników przy niewiadomych x
double ** Xi ; // Macierz pomocnicza
A = new double * [n];
Xi = new double * [n];
for(i = 0; i < n; i++)
{
A[i] = new double[n];
Xi[i] = new double[n];
}
// Odczytujemy współczynniki
for(i = 0; i < n; i++)
for(j = 0; j < n; j++)
{
cin >> A[i][j];
Xi[i][j] = A[i][j];
}
double * B; // Macierz wyrazów wolnych
B = new double[n];
// Odczytujemy wyrazy wolne
for(i = 0; i < n; i++) cin >> B[i];
cout << endl;
// Rozpoczynamy od obliczenia wyznacznika macierzy A
double detA = det(n,Xi);
if(fabs(detA) < EPS) cout << "Układ równań nie ma rozwiązania" << endl;
else
{
// Tworzymy macierz rozwiąń
double * X = new double[n];
// Rozpoczynamy wyliczanie niewiadomych
for(k = 0; k < n; k++)
{
// Ustawiamy macierz pomocniczą Xi
for(i = 0; i < n; i++)
for(j = 0; j < n; j++)
if(j == k) Xi[i][j] = B[i];
else Xi[i][j] = A[i][j];
// Obliczamy niewiadomą:
X[k] = det(n,Xi) / detA;
}
// Wyświetlamy wyniki:
for(i = 0; i < n; i++)
cout << "x" << i << " = " << setw(12) << X[i] << endl;
// Usuwamy tablicę dynamiczną:
delete [] X;
}
cout << endl;
for(i = 0; i < n; i++)
{
delete [] A[i];
delete [] Xi[i];
}
delete [] A;
delete [] Xi;
delete [] B;
return 0;
}
|
| Wynik |
| Rozwiązywanie układu równań liniowych
wzorami Cramera ----------------------------------------------------- Wpisz dane wejściowe: 5 -1 2 -3 3 5 8 0 7 4 -1 -3 4 -3 2 -2 8 -3 -2 1 2 -2 -1 -6 9 0 56 62 -10 14 28 x0 = 1.00000 x1 = 3.00000 x2 = 5.00000 x3 = 7.00000 x4 = 9.00000 |
![]() |
Zespół Przedmiotowy Chemii-Fizyki-Informatyki w I Liceum Ogólnokształcącym im. Kazimierza Brodzińskiego w Tarnowie ul. Piłsudskiego 4 ©2026 mgr Jerzy Wałaszek |
Materiały tylko do użytku dydaktycznego. Ich kopiowanie i powielanie jest dozwolone pod warunkiem podania źródła oraz niepobierania za to pieniędzy.
Pytania proszę przesyłać na adres email:
Serwis wykorzystuje pliki cookies. Jeśli nie chcesz ich otrzymywać, zablokuj je w swojej przeglądarce.
Informacje dodatkowe.