|
Serwis Edukacyjny w I-LO w Tarnowie
Materiały dla uczniów liceum |
Wyjście Spis treści Wstecz Dalej
Autor artykułu: mgr Jerzy Wałaszek |
©2026 mgr Jerzy Wałaszek
|
| SPIS TREŚCI |
|
| Podrozdziały |
Do rozwiązania układu równań można wykorzystać rozkład LU. Postępujemy następująco:
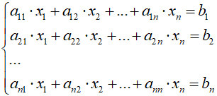
Mamy dany układ równań n liniowych z n niewiadomymi:

Zapiszmy ten układ w postaci macierzowej:

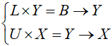
Załóżmy, iż dokonaliśmy rozkładu LU macierzy współczynników A:

Nasze równanie możemy teraz zapisać jako:

Ponieważ mnożenie macierzy jest łączne, to:

Robimy podstawienie:

Otrzymujemy:

Rozwiązanie układu jest dwuetapowe. Najpierw wyznaczamy macierz Y z ostatniego równania, a następnie wyznaczamy macierz X z podstawienia:

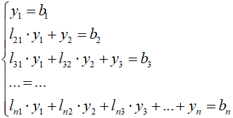
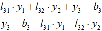
Okazuje się, że ze względu na postać macierzy L i U rozwiązanie takiego układu jest bardzo proste. Rozpiszmy pierwsze równanie macierzowe:


Z pierwszego równania w układzie od razu dostajemy wartość pierwszej niewiadomej y:

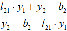
Wstawiając ją do równania drugiego wyliczamy drugą niewiadomą y:

Wyliczone wartości niewiadomych y wstawiamy do równania trzeciego i otrzymujemy:

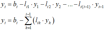
Metoda ta nosi nazwę podstawiania w przód ( ang. forward-substitution ). Uogólniając, widzimy wyraźnie, że niewiadomą y i wyliczamy z poprzednio wyliczonych niewiadomych y 1, y 2, ..., y i - 1. Wzór jest następujący:

Gdy znajdziemy wektor Y, to przechodzimy do drugiego równania macierzowego:

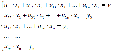
Rozpiszmy je:


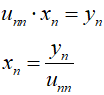
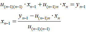
Tutaj mamy sytuację odwrotną do poprzedniej. Rozwiązywanie rozpoczynamy od ostatniego równania:

Wyliczoną wartość xn wstawiamy do równania przedostatniego:

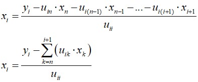
Niewiadome x wyliczamy od ostatniej do pierwszej. Taka metoda postępowania nosi nazwę podstawiania wstecz ( ang. back-substitution ). Wzór uogólniony ma postać:

Rozwiązanie układu istnieje, jeśli wszystkie elementy przekątnej głównej macierzy U są niezerowe. Warunek ten jest sprawdzany w algorytmie rozkładu LU.
Zwróć uwagę, iż macierze X i Y mogą być tą samą macierzą X, ponieważ w obu fazach wyliczania niewiadomych elementy y nie kolidują z elementami x.
Metoda rozwiązywania układu równań liniowych z wykorzystaniem rozkładu LU jest następująca:
| ε | – | dokładność przyrównania do zera |
| n | – | stopień macierzy |
| A | – | macierz n × n współczynników |
| B | – | macierz n × 1 z wyrazami wolnymi |
| X | – | macierz n × 1 dla rozwiązań |
| true/false | – | określa, czy operacja powiodła się, czy nie. |
| X | – | macierz n × 1 z wartościami niewiadomych, jeśli wynikiem jest true. |
| i,j,k | – | indeksy |
| s | – | suma |
| W | – | macierz 1 × n z numerami wierszy macierzy A. |
| maxw | – | numer wiersza z elementem maksymalnym |
| maxe | – | moduł elementu maksymalnego |
| akk | – | element macierzy A leżący na jej przekątnej po piwotowaniu |
| K01: | Dla i = 0,1,...,n – 1: wykonuj W [ i ] ← i |
ustawiamy wektor wierszowy |
| K02: | Dla k = 0,1,...,n – 1: wykonuj kroki K03...K12 |
rozpoczynamy rozkład LU |
| K03: | maxw ← k | wiersz z elementem maksymalnym |
| K04: | maxe ← | A [ W [ k ], k ] | | moduł elementu maksymalnego |
| K05: | Dla i = k + 1, k +
2,..., n – 1: wykonuj krok K07 |
szukamy elementu większego |
| K06: |
Jeśli | A [W [ i ], k ] | > maxe, to maxw ← i maxe ← | A [ W [ i ], k ] | |
|
| K07: | Jeśli maxe ≤ ε, to zakończ z wynikiem false |
macierz jest zdegenerowana |
| K08: | Jeśli maxw ≠
W [ k ], to W [ k ] ↔ W [ maxw ] |
znaleziono element maksymalny |
| K09: | akk ← A [ W [ k ], k ] | rozkład LU |
| K10: | Dla i = k + 1, k +
2,...,n – 1: wykonuj: A [ W [ i ], k ] ← A [ W [ i ], k ] / akk |
normalizacja kolumny |
| K11: | Dla i = k + 1,k +
2,...,n – 1: wykonuj krok K12 |
modyfikujemy podmacierz |
| K12: | Dla j = k + 1,k +
2,...,n – 1: wykonuj: A [ W [ i ], j ] ← A [ W [ i ], j ] - A [ W [ i ], k ] × A [ W [ k ], j ] |
|
| K13: | X [ 0 ] ← B [ W [ 0 ] ] | w X tworzymy macierz Y |
| K14: | Dla i = 1,...,n – 1: wykonuj kroki K15...K17 |
stosujemy podstawienia w przód |
| K15: | s ← B [ W [ i ] ] | |
| K16: | Dla j = 0,...,i –
1: wykonuj s ← s – A [ W [ i ], j ] × X [ j ] |
|
| K17: | X [ i ] ← s | |
| K18: | X [ n – 1 ] ← X [ n – 1 ] / A [ W [ n – 1], n – 1] | w X wyliczamy niewiadome x |
| K19: | Dla i = n – 2,...,0: wykonuj kroki K20...K22 |
stosujemy podstawienia wstecz |
| K20: | s ← X [ i ] | |
| K21: | Dla j = n –
1,...,i + 1: wykonuj s ← s – A [ W [ i ], j ] × X [ j ] |
|
| K22: | X [ i ] ← s / A [ W [ i ], i ] | |
| K23: | Zakończ z wynikiem true |
Poniższy program jest przykładową realizacją powyższego algorytmu. W programie łączymy macierz współczynników A z macierzą wyrazów wolnych B w jedną macierz AB o rozmiarze n × n + 1. Dane wejściowe do programu są następujące:
Pierwsza liczba określa liczbę równań i niewiadomych n. Następne liczby określają współczynniki przy niewiadomych oraz wyrazy wolne. Należy wprowadzać je wierszami. Pierwsze n liczb w każdym wierszu to kolejne współczynniki przy niewiadomych. Po tych n współczynnikach należy wprowadzić wyraz wolny. Wierszy takich musi być n.
Układ równań:

|
Dane wejściowe:
5 -1 2 -3 3 5 56 8 0 7 4 -1 62 -3 4 -3 2 -2 -10 8 -3 -2 1 2 14 -2 -1 -6 9 0 28 |
|
Przykładowy program w języku C++
// Eliminacja Gaussa
// (C)2019 mgr Jerzy Wałaszek
// Metody numeryczne
//---------------------------
#include <iostream>
#include <iomanip>
#include <cmath>
using namespace std;
const double EPS = 0.000000001;
// Funkcja rozwiązuje układ równań
// metodą rozkładu LU
// n - stopień macierzy
// AB - wskaźnik macierzy n x (n +1)
// X - wskaźnik macierzy rozwiązań n x 1
// Jeśli układ został rozwiązany, to wynikiem jest true.
// Inaczej wynikiem jest false.
//------------------------------------------------------
bool LUeq(int n, double ** AB, double * X)
{
int i, j, k, * W, maxw;
double s, akk, maxe;
// Tworzymy wektor wierszowy
W = new int [n];
// Inicjujemy wektor wierszowy numerami wierszy
for(i = 0; i < n; i++) W[i] = i;
// Rozkład LU
for(k = 0; k < n; k++)
{
maxw = k; // numer wiersza z elementem max
maxe = fabs(AB[W[k]][k]);
// Szukamy elementu max
for(i = k + 1; i < n; i++)
if(fabs(AB[W[i]][k]) > maxe)
{
maxw = i;
maxe = fabs(AB[W[i]][k]);
}
// Jeśli max jest zero, to macierz jest zdegenerowana
if(maxe <= EPS)
{
delete [] W;
return false;
}
// Jeśli max nie leży na przekątnej, zamieniamy wiersze
if(maxw != k) swap(W[k], W[maxw]);
// Dzielnik
akk = AB[W[k]][k];
// Normalizujemy kolumnę
for(i = k + 1; i < n; i++) AB[W[i]][k] /= akk;
// Modyfikujemy podmacierz
for(i = k + 1; i < n; i++)
for(j = k + 1; j < n; j++) AB[W[i]][j] -= AB[W[i]][k] * AB[W[k]][j];
}
// Teraz rozwiązujemy układ równań w dwóch etapach
// Najpierw w X wyznaczamy macierz Y stosując podstawienia w przód
X[0] = AB[W[0]][n];
for(i = 1; i < n; i++)
{
s = AB[W[i]][n];
for(j = 0; j < i; j++) s -= AB[W[i]][j] * X[j];
X[i] = s;
}
// Wyznaczamy X stosując podstawienia wstecz
X[n - 1] /= AB[W[n - 1]][n - 1];
for(i = n - 2; i >= 0; i--)
{
s = X[i];
for(j = n - 1; j > i; j--) s -= AB[W[i]][j] * X[j];
X[i] = s / AB[W[i]][i];
}
delete [] W;
return true;
}
// Program główny
//---------------
int main()
{
setlocale(LC_ALL,"");
cout << setprecision(5) << fixed;
cout << "Rozwiązywanie układu równań liniowych metodą rozkładu LU" << endl
<< "--------------------------------------------------------" << endl << endl
<< "Wpisz dane wejściowe:" << endl << endl;
int n; // Liczba równań w układzie
cin >> n;
int i,j;
// Tworzymy dynamicznie potrzebne macierze
double ** AB ; // Macierz współczynników przy niewiadomych x oraz wyrazów wolnych
double * X ; // Macierz niewiadomych
AB = new double * [n];
X = new double [n];
for(i = 0; i < n; i ++) AB[i] = new double [n + 1];
// Odczytujemy dane układu równań
for(i = 0; i < n; i++)
for(j = 0; j <= n; j++) cin >> AB[i][j];
cout << endl;
// Rozwiązujemy układ równań
if(LUeq(n,AB,X))
{
for(i = 0; i < n; i++)
cout << "x" << i << " = " << setw(12) << X[i] << endl;
}
else cout << "Błąd w trakcie obliczeń!!!" << endl;
cout << endl;
// Usuwamy tablice dynamiczne
for(i = 0; i < n; i++) delete [] AB[i];
delete [] AB;
delete [] X;
return 0;
}
|
| Wynik |
| Rozwiązywanie układu równań liniowych
metodą rozkładu LU -------------------------------------------------------- Wpisz dane wejściowe: 5 -1 2 -3 3 5 56 8 0 7 4 -1 62 -3 4 -3 2 -2 -10 8 -3 -2 1 2 14 -2 -1 -6 9 0 28 x0 = 1.00000 x1 = 3.00000 x2 = 5.00000 x3 = 7.00000 x4 = 9.00000 |
![]() |
Zespół Przedmiotowy Chemii-Fizyki-Informatyki w I Liceum Ogólnokształcącym im. Kazimierza Brodzińskiego w Tarnowie ul. Piłsudskiego 4 ©2026 mgr Jerzy Wałaszek |
Materiały tylko do użytku dydaktycznego. Ich kopiowanie i powielanie jest dozwolone pod warunkiem podania źródła oraz niepobierania za to pieniędzy.
Pytania proszę przesyłać na adres email:
Serwis wykorzystuje pliki cookies. Jeśli nie chcesz ich otrzymywać, zablokuj je w swojej przeglądarce.
Informacje dodatkowe.