|
Serwis Edukacyjny w I-LO w Tarnowie
Materiały dla uczniów liceum |
Wyjście Spis treści Wstecz Dalej
Autor artykułu: mgr Jerzy Wałaszek |
©2026 mgr Jerzy Wałaszek
|
| SPIS TREŚCI REMANENT |
|
W równaniu nieliniowym zmienna x jest argumentem funkcji nieliniowej. Ogólnie możemy zapisać równanie w sposób następujący:

Po przekształceniu otrzymujemy:

Tworzymy nową funkcję:

I mamy równanie:

Problem sprowadza się zatem do znalezienia pierwiastków funkcji h(x). Każdy pierwiastek tej funkcji jest jednocześnie rozwiązaniem równania wyjściowego. Pierwiastki możemy szukać jedną z opisanych wcześniej metod pod warunkiem, że znamy przedział, w którym znajduje się pierwiastek. I tutaj mamy podstawową trudność. W przypadku ogólnym nie istnieje algorytm, który znajduje wszystkie pierwiastki równania metodami przybliżonymi. Możemy jedynie szukać pierwiastków w pewnym przedziale argumentów funkcji. Nie jest to zadanie proste. Zwykle jednak przy rozwiązywaniu problemów technicznych możemy określić przedział, w którym interesuje nas znalezienie rozwiązania. W takim przypadku możemy wykorzystać jedną z metod obliczania przybliżonego pierwiastka funkcji, np. metodę Steffensena, ponieważ wymaga ona tylko jednego punktu startowego.
Dla przykładu rozwiążmy następujące zadanie z fizyki.
Na wysokości h = 10 m znajduje się działo, którego lufa umieszczona jest poziomo. Z działa zostaje wystrzelony pocisk, który opuszcza lufę z prędkością V = 1000 m/s. Przed działem znajduje się teren, który wznosi się wg funkcji:

Na pocisk działa tylko siła ciążenia ziemskiego. Pominąć tarcie powietrza. Należy wyznaczyć odległość d od końca lufy działa, w jakiej upadnie pocisk.
Zobaczmy na rysunek poglądowy:

Najpierw rozważmy lot pocisku tak, jakby teren był płaski. Gdy kula opuści lufę armaty, to jej prędkość rozkłada się na dwie składowe:

| Vx – składowa pozioma Vy – składowa pionowa V – prędkość wypadkowa |
Składowa pozioma Vx jest stała, ponieważ na pocisk nie działa opór powietrza, który pomijamy w zadaniu w celu uproszczenia.
Składowa pionowa Vy pochodzi od przyciągania ziemskiego i wyraża się wzorem:
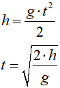
![]() gdzie: g – ziemskie przyspieszenie grawitacyjne równe 9,81 m/s2 t – czas trwania ruchu |
Jeśli teren jest płaski, to ruch pocisku będzie trwał tak długo, jak spada on w pionie z wysokości h, zatem:

Z kolei w tym czasie pocisk przesunie się w poziomie na odległość dmax:

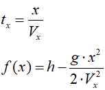
Jeśli teren się wznosi, to pocisk zderzy się z nim wcześniej w odległości d, która znajduje się w przedziale od 0 do dmax. Musimy teraz wyznaczyć funkcję wysokości pocisku w zależności od x. Oznaczmy tę funkcję jako f(x). W poziomie położenie x pocisk osiąga po czasie tx:

Z kolei po czasie tx pocisk znajduje się na wysokości hx:

Łączymy obie zależności i otrzymujemy funkcję wysokości pocisku f(x):

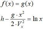
Wysokość terenu określa funkcja g(x):

Aby pocisk uderzył w teren, musi się znaleźć na wysokości terenu, zatem:

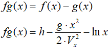
Tworzymy różnicę funkcji:

Szukamy pierwiastka funkcji fg(x), który jest równy odległości d:

Przedział poszukiwań to (0,dmax]. Za punkt startowy wybierzemy środek tego przedziału, czyli dmax / 2.
Poniższy program pokazuje w sposób przykładowy, jak znaleźć odległość d.
|
Przykładowy program w języku C++
// Równanie nieliniowe - metoda Steffensena
// (C)2019 mgr Jerzy Wałaszek
// Metody numeryczne
//------------------------------------------
#include <iostream>
#include <cmath>
#include <iomanip>
using namespace std;
// Tutaj definiujemy dane do zadania
//----------------------------------
double hh = 10; // Wysokość, na której znajduje się lufa działa
double gg = 9.81; // Przyspieszenie grawitacyjne Ziemi
double Vx = 1000; // Prędkość pocisku w osi x
// Tutaj definiujemy funkcję, której pierwiastek jest wyliczany
//-------------------------------------------------------------
double fg(double x)
{
return hh - gg * x * x / 2 / Vx / Vx - log(x);
}
// Tutaj definiujemy parametry początkowe
double epsx = 1e-7; // Dokładność wyznaczania pierwiastka
double epsy = 1e-7; // Dokładność wyznaczania zera
int n = 64; // Maksymalna liczba obiegów
// Program główny
//---------------
int main()
{
// Zmienne
double x,x1,h,g,dmax;
bool result = false;
setlocale(LC_ALL,"");
cout << fixed;
cout << "Równanie nieliniowe, rozwiązanie metodą Steffensena" << endl
<< "---------------------------------------------------" << endl << endl;
// Obliczamy dmax
dmax = Vx * sqrt(2 * hh / gg);
// Punkt startowy
x = dmax;
while(--n)
{
// Obliczamy wartość funkcji w punkcie x
h = fg(x);
// Sprawdzamy, czy funkcja jest dostatecznie bliska zeru
if(fabs(h)< epsy)
{
result = true;
break;
}
// Obliczamy różnicę dzieloną
g = (fg(x+h)- h)/ h;
// Zapamiętujemy bieżące przybliżenie
x1 = x;
// Obliczamy kolejne przybliżenie
x -= h/g;
// Sprawdzamy, czy odległość pomiędzy dwoma ostatnimi przybliżeniami
// jest mniejsza od założonej dokładności
if(fabs(x1 - x)< epsx)
{
result = true;
break;
}
// Kontynuujemy obliczenia
}
if(!result)cout << "Zakończono z błędem!" << endl << endl;
cout << "Zasięg strzału d = " << setw(18)<< x << endl << endl;
cout << "Zasięg maksymalny dmax = " << setw(18)<< dmax << endl << endl;
return 0;
}
|
| Wynik |
| Równanie nieliniowe, rozwiązanie metodą
Steffensena --------------------------------------- ----------- Zasięg strzału d = 819.198052 Zasięg maksymalny dmax = 1427.843123 |
Poeksperymentuj z tym programem. Zmieniaj dane wejściowe, funkcję terenu, punkt startowy, dokładności epsilon, itp.
![]() |
Zespół Przedmiotowy Chemii-Fizyki-Informatyki w I Liceum Ogólnokształcącym im. Kazimierza Brodzińskiego w Tarnowie ul. Piłsudskiego 4 ©2026 mgr Jerzy Wałaszek |
Materiały tylko do użytku dydaktycznego. Ich kopiowanie i powielanie jest dozwolone pod warunkiem podania źródła oraz niepobierania za to pieniędzy.
Pytania proszę przesyłać na adres email:
Serwis wykorzystuje pliki cookies. Jeśli nie chcesz ich otrzymywać, zablokuj je w swojej przeglądarce.
Informacje dodatkowe.