|
Serwis Edukacyjny w I-LO w Tarnowie
Materiały dla uczniów liceum |
Wyjście Spis treści Wstecz Dalej
Autor artykułu: mgr Jerzy Wałaszek |
©2026 mgr Jerzy Wałaszek
|
| SPIS TREŚCI REMANENT |
|
Równanie liniowe (ang. linear equation) przyjmuje ogólnie postać:

Wyrazy a1,...,an oraz b nazywamy współczynnikami równania (ang. coefficients). Mogą one przyjmować wartości rzeczywiste lub zespolone. Wyrazy x1,...,xn nazywamy zmiennymi równania (ang. variables) lub niewiadomymi x (ang. unknown x). Rozwiązaniem równania (ang. equation solution) są takie wartości zmiennych x1,...,xn, które po wstawieniu do równania powodują spełnienie równości.
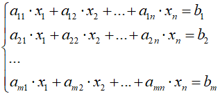
Przez układ m równań liniowych z n niewiadomymi (ang. system of linear equations) będziemy rozumieli zbiór m równań liniowych z tymi samymi niewiadomymi x:

Zapiszmy współczynniki i zmienne w postaci macierzowej:

Cały układ równań możemy zapisać w postaci macierzowej:


Układ równań liniowych może:
W tym rozdziale zajmiemy się rozwiązywaniem układu dwóch równań liniowych z dwiema niewiadomymi:

Wyrazy a, b, c, d, e, f są współczynnikami, x i y są poszukiwanymi niewiadomymi.
Mamy układ dwóch równań liniowych z dwoma niewiadomymi:

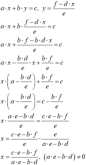
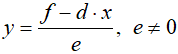
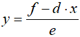
Wyznaczymy wzory na niewiadome. Z równania 2 wyliczamy zmienną y:

Wyprowadzony wzór wykorzystujemy w równaniu 1 do zastąpienia zmiennej y i wyliczenia zmiennej x:

Otrzymaliśmy wzór na zmienną x. Obliczamy x, po czym wynik wstawiamy do wzoru:

i otrzymujemy wartość zmiennej y.
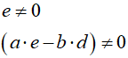
Aby układ równań miał rozwiązanie, musi spełnić dwa warunki:

Postąpimy w sposób następujący:
Jeśli współczynnik e jest równy 0, to wymieniamy ze sobą parami współczynniki: a z d, b z e, c z f. Jeśli współczynnik e wciąż jest zerowy, to kończymy z błędem, układ równań nie posiada jednoznacznego rozwiązania lub jest sprzeczny. Następnie obliczamy wartość a · e – b · d. Jeśli wynosi ona zero, to również kończymy z błędem. Jeśli nie, wartość x liczymy ze wzoru:

Wartość x wykorzystujemy do policzenia wartości y ze wzoru:

Poniższy program wykorzystuje ten algorytm do rozwiązania układu dwóch równań liniowych z dwiema niewiadomymi. Dane do programu wczytywane są z okna konsoli w postaci 6 liczb, które odpowiadają kolejnym współczynnikom układu.
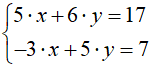
Układ równań:

|
Dane wejściowe:
5 6 17 -3 5 7 |
|
Przykładowy program w języku C++ // Układy równań liniowych
// (C)2019 mgr Jerzy Wałaszek
// Metody numeryczne
//---------------------------
#include <iostream>
#include <iomanip>
#include <cmath>
using namespace std;
const double EPS = 0.000000001;
int main()
{
setlocale(LC_ALL,"");
cout << setprecision(4)<< fixed;
double a,b,c,d,e,f; // Współczynniki
double x,y; // Zmienne
double dd; // Dzielnik
cout << "Rozwiązywanie układu 2 równań liniowych z 2 niewiadomymi\n"
"--------------------------------------------------------\n\n"
"Wprowadź współczynniki:\n";
cin >> a >> b >> c >> d >> e >> f;
cout << endl
<< setw(9)<< a << " * x = " << setw(9)<< b << " * y = " << setw(9)<< c << endl
<< setw(9)<< d << " * x = " << setw(9)<< e << " * y = " << setw(9)<< f << endl << endl;
if(fabs(e)< EPS)
{
swap(a,d); swap(b,e); swap(c,f);
}
dd = a * e - b * d;
if((fabs(e)< EPS)|| (fabs(dd)< EPS))cout << "BRAK ROZWIĄZANIA\n\n";
else
{
x = (c * e - b * f)/ dd;
y = (f - d * x)/ e;
cout << "x = " << setw(9)<< x << endl
<< "y = " << setw(9)<< y << endl << endl;
}
return 0;
} |
| Wynik |
| Rozwiązywanie układu 2 równań liniowych z
2 niewiadomymi -------------------------------------------------------- Wprowadź współczynniki: 5 6 17 -3 5 7 5.0000 * x + 6.0000 * y = 17.0000 -3.0000 * x + 5.0000 * y = 7.0000 x = 1.0000 y = 2.0000 |
![]() |
Zespół Przedmiotowy Chemii-Fizyki-Informatyki w I Liceum Ogólnokształcącym im. Kazimierza Brodzińskiego w Tarnowie ul. Piłsudskiego 4 ©2026 mgr Jerzy Wałaszek |
Materiały tylko do użytku dydaktycznego. Ich kopiowanie i powielanie jest dozwolone pod warunkiem podania źródła oraz niepobierania za to pieniędzy.
Pytania proszę przesyłać na adres email:
Serwis wykorzystuje pliki cookies. Jeśli nie chcesz ich otrzymywać, zablokuj je w swojej przeglądarce.
Informacje dodatkowe.