|
Serwis Edukacyjny w I-LO w Tarnowie
Materiały dla uczniów liceum |
Wyjście Spis treści Wstecz Dalej
Autor artykułu: mgr Jerzy Wałaszek |
©2026 mgr Jerzy Wałaszek
|
| SPIS TREŚCI |
|
| Podrozdziały |
Funkcja sześcienna ( ang. qubic function ) jest wielomianem trzeciego stopnia:

Równanie sześcienne ( ang. qubic equation ) powstaje, gdy przyrównamy funkcję sześcienną do 0:

Współczynniki a, b, c i d są liczbami rzeczywistymi.
Wykres funkcji sześciennej wygląda następująco:

W zależności od położenia tego wykresu mamy następujące możliwości:




Równanie sześcienne zawsze posiada przynajmniej jeden pierwiastek rzeczywisty. Zrozumiesz to natychmiast po przyjrzeniu się wykresowi funkcji sześciennej.
Rozwiązanie równań sześciennych jest dużo trudniejsze obliczeniowo od rozwiązywania równań kwadratowych. Dokładne metody opracowano dopiero w XVI wieku. Zajmijmy się najpierw prostymi przypadkami.
Mamy równanie sześcienne typu:

W równaniu tym współczynnik d jest równy zero. Skoro tak, to zmienną x możemy wyprowadzić przed nawias:

Wynika z tego, iż jeden z pierwiastków tego równania jest równy 0. W nawiasie otrzymaliśmy wielomian kwadratowy, który rozwiązujemy algorytmem z poprzedniego rozdziału. W ten sposób otrzymamy dwa dalsze pierwiastki, które mogą być rzeczywiste lub zespolone.
| ε | – | dokładność przyrównania do zera |
| a,b,c | – | współczynniki, a różne od 0 |
| x1, x2, x3 | – | rozwiązania |
| delta | – | wyróżnik |
| K01: | x1 ← 0 | Jeden pierwiastek zawsze jest równy 0 |
| K02: |
![]() |
Obliczamy wyróżnik delta |
| K03: | Jeśli |delta|
<
ε, to![]() Zakończ |
delta = 0? Pierwiastek podwójny |
| K04: | Jeśli delta <
0,
to![]() Zakończ |
delta < 0? Dwa pierwiastki zespolone |
| K05: | ![]() |
delta > 0. Dwa pierwiastki rzeczywiste |
| K06: | Zakończ |
Poniższy program rozwiązuje równania sześcienne przy założeniu, iż współczynnik d jest równy 0, a współczynnik a jest różny od zera:
|
Przykładowy program w języku C++
// Równanie sześcienne
// (C)2019 mgr Jerzy Wałaszek
// Metody numeryczne
//---------------------------
#include <iostream>
#include <cmath>
#include <iomanip>
using namespace std;
// Tutaj definiujemy dane wejściowe
//----------------------------------
double eps = 1e-12; // Dokładność porównania z zerem
// Funkcja rozwiązująca równanie sześcienne
// a,b,c - współczynniki wielomianu
//-----------------------------------------
void ce(double a, double b, double c)
{
double delta;
cout << endl;
cout << "Równanie: " << a << " * x^3 + " << b << " * x^2 + " << c << " * x = 0" << endl;
// Jeden z pierwiastków zawsze jest równy 0
cout << "x1 = 0" << endl;
// Rozwiązujemy równanie kwadratowe
delta = b * b - 4 * a * c;
if(fabs(delta) < eps) cout << "x2 = x3 = " << - b / 2 / a;
else if(delta < 0)
{
double re = - b / 2 / a;
double im = sqrt(-delta) / 2 / a;
cout << "x2 = " << re << " + " << -im << "i" << endl
<< "x3 = " << re << " + " << im << "i";
}
else
{
delta = sqrt(delta);
cout << "x2 = " << (-b - delta) / 2 / a << endl
<< "x3 = " << (-b + delta) / 2 / a;
}
cout << endl;
}
// Program główny
//---------------
int main()
{
setlocale(LC_ALL,"");
cout << fixed;
cout << "Rozwiązywanie równań sześciennych typu" << endl
<< " 3 2" << endl
<< "ax + bx + cx = 0" << endl
<< "----------------" << endl;
ce(3,12,15);
ce(9,12,4);
ce(1,-1,-2);
cout << endl;
return 0;
}
|
| Wynik |
| Rozwiązywanie równań sześciennych typu 3 2 ax + bx + cx = 0 ---------------- Równanie: 3.000000 * x^3 + 12.000000 * x^2 + 15.000000 * x = 0 x1 = 0 x2 = -2.000000 + -1.000000i x3 = -2.000000 + 1.000000i Równanie: 9.000000 * x^3 + 12.000000 * x^2 + 4.000000 * x = 0 x1 = 0 x2 = x3 = -0.666667 Równanie: 1.000000 * x^3 + -1.000000 * x^2 + -2.000000 * x = 0 x1 = 0 x2 = -1.000000 x3 = 2.000000 |
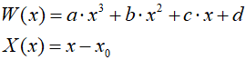
Wielomiany można dzielić, podobnie jak liczby. Wynikiem dzielenia wielomianu W ( x ) przez wielomian X ( x ) jest wielomian P ( x ) oraz wielomian reszty z dzielenia R ( x ) o następujących własnościach:

Jeśli wielomian reszty z dzielenia R( x ) = 0, to wielomian W( x ) jest podzielny przez wielomian X ( x ), a wynikiem dzielenia jest P ( x ).
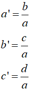
Załóżmy, że

W takim przypadku:

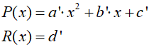
Problem sprowadza się do wyznaczenia współczynników a', b', c' oraz d'. Współczynniki te w prosty sposób wyznaczamy wg tzw. schematu Hornera:

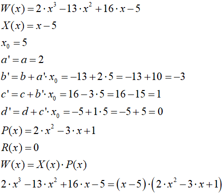
Jeśli d' = 0, to dwumian x - x0 dzieli bez reszty wielomian W ( x ), czyli:

Oznacza to, iż x0 jest pierwiastkiem wielomianu W ( x ).
Jeśli d' jest różne od 0, to możemy potraktować je jako wartość wielomianu W ( x ) dla x = x0. W tej interpretacji schemat Hornera może służyć do szybkiego wyznaczania wartości wielomianu ( korzystamy z tego w programach ).
Przykład:

Jeśli znamy pierwiastek rzeczywisty x0 równania sześciennego ax3+bx2+cx+d = 0, to przy pomocy schematu Hornera dzielimy wielomian przez dwumian x - x0 i pozostałe dwa pierwiastki wyznaczamy algorytmem rozwiązywania równań kwadratowych. Ponieważ każde równanie sześcienne ma co najmniej jeden pierwiastek rzeczywisty, to do jego znalezienia możemy wykorzystać jedną z metod znajdowania przybliżonego pierwiastka funkcji. Szczególnie dobrym wyborem będzie tutaj metoda Newtona, ponieważ jest szybka i pochodną wielomianu liczy się bardzo prosto:

Algorytm będzie zatem następujący:
Poniższy program jest przykładem zastosowania tego algorytmu.
|
Przykładowy program w języku C++
// Równanie sześcienne
// (C)2019 mgr Jerzy Wałaszek
// Metody numeryczne
//---------------------------
#include <iostream>
#include <cmath>
#include <iomanip>
using namespace std;
// Tutaj definiujemy dane wejściowe
//----------------------------------
double epsx = 1e-14; // Dokładność wyznaczania pierwiastka
double epsy = 1e-14; // Dokładność porównania z zerem
// Funkcja rozwiązująca równanie sześcienne
// a,b,c,d - współczynniki wielomianu
//-----------------------------------------
void nh(double a, double b, double c, double d)
{
double x0,x1,x2,f0,f1;
int n = 32;
bool result = false;
cout << endl
<< "Równanie: "
<< a << " * x^3 + "
<< b << " * x^2 + "
<< c << " * x + "
<< d << " = 0" << endl;
// Najpierw szukamy pierwiastka rzeczywistego metodą Newtona
x0 = 1; // Punkt startowy
while(--n)
{
// Obliczamy wartość funkcji w punkcie x0
f0 = x0 * (c + x0 * (b + x0 * a)) + d;
// Sprawdzamy, czy funkcja jest dostatecznie bliska zeru
if(fabs(f0) < epsy)
{
result = true;
break;
}
// Obliczamy wartość pierwszej pochodnej funkcji
f1 = x0 * (2 * b + 3 * a * x0) + c;
// Zapamiętujemy bieżące przybliżenie
x1 = x0;
// Obliczamy kolejne przybliżenie
x0 -= f0/f1;
// Sprawdzamy, czy odległość pomiędzy dwoma ostatnimi przybliżeniami
// jest mniejsza od założonej dokładności
if(fabs(x1 - x0) < epsx)
{
result = true;
break;
}
// Kontynuujemy obliczenia
}
if(result)
{
// Mamy pierwiastek x0
// Schematem Hornera dzielimy wielomian równania
// przez dwumian (x - x0)
double ap,bp,cp,delta;
ap = a;
bp = b + ap * x0;
cp = c + bp * x0;
// Rozwiązujemy równanie ap * x^2 + bp * x + cp = 0
delta = bp * bp - 4 * ap * cp;
if(fabs(delta) < epsx)
{
x1 = x2 = - bp / 2 / ap;
}
else if(delta < 0)
{
result = false; // Zaznaczamy, że wynik jest zespolony
x1 = -bp / 2 / ap; // Część rzeczywista
x2 = sqrt(-delta) / 2 / ap; // Część urojona
}
else
{
delta = sqrt(delta);
x1 = (-bp - delta) / 2 / ap;
x2 = (-bp + delta) / 2 / ap;
}
// Wyświetlamy wyniki
cout << "x0 = " << x0 << endl;
if(result) cout << "x1 = " << x1 << endl
<< "x2 = " << x2;
else cout << "x1 = " << x1 << " + " << -x2 << "i" << endl
<< "x2 = " << x1 << " + " << x2 << "i";
}
else cout << "Błąd, przekroczono zadaną liczbę obiegów" << endl
<< "OBLICZENIA PRZERWANE!";
cout << endl;
}
// Program główny
//---------------
int main()
{
setlocale(LC_ALL,"");
cout << fixed;
cout << "Równania sześcienne typu" << endl
<< " 3 2" << endl
<< "ax + bx + cx + d = 0" << endl
<< "--------------------" << endl;
nh(1,-6,11,-6);
nh(1,-1,-16,-20);
nh(1,-2,-10,-25);
cout << endl;
return 0;
}
|
| Wynik |
| Równania sześcienne typu 3 2 ax + bx + cx + d = 0 -------------------- Równanie: 1.000000 * x^3 + -6.000000 * x^2 + 11.000000 * x + -6.000000 = 0 x0 = 1.000000 x1 = 2.000000 x2 = 3.000000 Równanie: 1.000000 * x^3 + -1.000000 * x^2 + -16.000000 * x + -20.000000 = 0 x0 = -2.000000 x1 = -2.000000 x2 = 5.000000 Równanie: 1.000000 * x^3 + -2.000000 * x^2 + -10.000000 * x + -25.000000 = 0 x0 = 5.000000 x1 = -1.500000 + -1.658312i x2 = -1.500000 + 1.658312i |
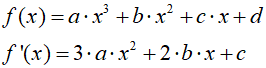
Zastosowana metoda Newtona może zawieść dla niektórych równań sześciennych, ponieważ w pewnych wypadkach pochodna zeruje się ( metodę Newtona stosuje się wtedy, gdy pierwsza pochodna jest różna od zera pomiędzy punktem startowym, a najbliższym pierwiastkiem ), co wprowadza duże błędy do wyniku. Na przykład, dla równań:

otrzymujemy wyniki:
|
Równania sześcienne typu 3 2 ax + bx + cx + d = 0 -------------------- Równanie: 1.000000 * x^3 + 0.000000 * x^2 + 0.000000 * x + 0.000000 = 0 x0 = 0.000018 x1 = -0.000009 + -0.000015i x2 = -0.000009 + 0.000015i Równanie: 1.000000 * x^3 + 3.000000 * x^2 + 3.000000 * x + 1.000000 = 0 x0 = -0.999984 x1 = -1.000008 + -0.000014i x2 = -1.000008 + 0.000014i Równanie: 1.000000 * x^3 + -6.000000 * x^2 + 12.000000 * x + -8.000000 = 0 x0 = 1.999982 x1 = 2.000009 + -0.000015i x2 = 2.000009 + 0.000015i Równanie: 1.000000 * x^3 + 9.000000 * x^2 + 27.000000 * x + 27.000000 = 0 x0 = -2.999979 x1 = -3.000010 + -0.000018i x2 = -3.000010 + 0.000018i |
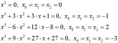
Kolejny algorytm jest ulepszeniem algorytmu nr 2, w którym pozbywamy się z rachunków pochodnej równej zero. Przyjrzyjmy się wykresowi funkcji sześciennej f ( x ) = ax3 + bx2 + cx + d :

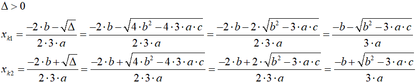
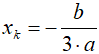
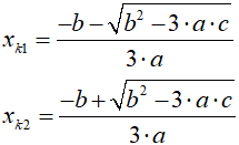
Zwróć uwagę, iż funkcja f ( x ) posiada dwa punkty, w których styczne do wykresu ( zaznaczone kolorem czerwonym ) są równoległe do osi OX, a zatem nie przecinają jej lub leżą na tej osi. Punkty te oznaczyliśmy symbolami K1 i K2 i będziemy nazywać punktami krytycznymi ( ang. critical points ) funkcji f ( x ). Mają one współrzędne K1: (xk1, f ( xk1 ) ) oraz K2: (xk2, f ( xk2 ) ). Styczna do wykresu funkcji w punkcie K1 lub K2 będzie równoległa do osi OX, jeśli pierwsza pochodna funkcji f(x ) ma w tym punkcie wartość zero. Ta własność pozwala nam znaleźć punkty K1 i K2:

Otrzymujemy równanie kwadratowe. Wyliczamy wyróżnik delta:

W zależności od wartości wyróżnika delta mamy trzy przypadki:



Teraz rozważymy kolejno możliwe położenia pierwiastków równania sześciennego.








Z powyższych rozważań wyłania się następujący schemat algorytmu:
Poniższy program jest przykładową realizacją przedstawionego powyżej algorytmu:
|
Przykładowy program w języku C++
// Równanie sześcienne
// (C)2019 mgr Jerzy Wałaszek
// Metody numeryczne
//---------------------------
#include <iostream>
#include <cmath>
#include <iomanip>
using namespace std;
// Tutaj definiujemy dane wejściowe
//----------------------------------
double epsx = 1e-14; // Dokładność wyznaczania pierwiastka
double epsy = 1e-14; // Dokładność porównania z zerem
// Funkcja rozwiązująca równanie sześcienne
// a,b,c,d - współczynniki wielomianu
//-----------------------------------------
void nh(double a, double b, double c, double d)
{
double x0,x1,x2,f0,f1,delta;
int n = 32;
bool result = false;
cout << endl
<< "Równanie: "
<< a << " * x^3 + "
<< b << " * x^2 + "
<< c << " * x + "
<< d << " = 0" << endl;
// Znajdujemy punkty krytyczne
delta = b * b - 3 * a * c;
if(fabs(delta) < epsx)
{
x0 = - b / 3 / a;
f0 = x0 * (c + x0 * (b + x0 * a)) + d;
if(fabs(f0) < epsy) result = true; // Sygnalizujemy pierwiastek x0
else if(a * f0 > 0) x0 -= 1; // Punkt startowy na lewo od x0
else x0 += 1; // Punkt startowy na prawo od x0
}
else if(delta < 0) x0 = 0; // Brak punktów krytycznych, dowolny punkt startowy
else
{
delta = sqrt(delta);
x0 = (-b - delta) / 3 / a;
x1 = (-b + delta) / 3 / a;
f0 = x0 * (c + x0 * (b + x0 * a)) + d;
f1 = x1 * (c + x1 * (b + x1 * a)) + d;
if(fabs(f0) < epsy) result = true; // Sygnalizujemy pierwiastek x0
else if(fabs(f1) < epsy)
{
x0 = x1;
result = true; // Sygnalizujemy pierwiastek x0
}
else if(f0 * f1 < 0) x0 = (x0 + x1) / 2;
else
{
if(a * f0 > 0) x0 -= 1; // Punkt startowy na lewo od x0
else x0 = x1 + 1; // Punkt startowy na prawo od x1
}
}
if(!result) // Jeśli nie ma pierwiastka, to szukamy go metodą Newtona
while(--n)
{
// Obliczamy wartość funkcji w punkcie x0
f0 = x0 * (c + x0 * (b + x0 * a)) + d;
// Sprawdzamy, czy funkcja jest dostatecznie bliska zeru
if(fabs(f0) < epsy)
{
result = true;
break;
}
// Obliczamy wartość pierwszej pochodnej funkcji
f1 = x0 * (2 * b + 3 * a * x0) + c;
// Zapamiętujemy bieżące przybliżenie
x1 = x0;
// Obliczamy kolejne przybliżenie
x0 -= f0/f1;
// Sprawdzamy, czy odległość pomiędzy dwoma ostatnimi przybliżeniami
// jest mniejsza od założonej dokładności
if(fabs(x1 - x0) < epsx)
{
result = true;
break;
}
// Kontynuujemy obliczenia
}
if(result)
{
// Mamy pierwiastek x0
// Schematem Hornera dzielimy wielomian równania
// przez dwumian (x - x0)
double ap,bp,cp;
ap = a;
bp = b + ap * x0;
cp = c + bp * x0;
// Rozwiązujemy równanie ap * x^2 + bp * x + cp = 0
delta = bp * bp - 4 * ap * cp;
if(fabs(delta) < epsx) x1 = x2 = - bp / 2 / ap;
else if(delta < 0)
{
result = false; // Sygnalizujemy wynik zespolony
x1 = -bp / 2 / ap; // Część rzeczywista
x2 = sqrt(-delta) / 2 / ap; // Część urojona
}
else
{
delta = sqrt(delta);
x1 = (-bp - delta) / 2 / ap;
x2 = (-bp + delta) / 2 / ap;
}
// Wyświetlamy wyniki
cout << "x0 = " << x0 << endl;
if(result) cout << "x1 = " << x1 << endl
<< "x2 = " << x2;
else cout << "x1 = " << x1 << " + " << -x2 << "i" << endl
<< "x2 = " << x1 << " + " << x2 << "i";
}
else cout << "Błąd, przekroczono zadaną liczbę obiegów" << endl
<< "OBLICZENIA PRZERWANE!";
cout << endl;
}
// Program główny
//---------------
int main()
{
setlocale(LC_ALL,"");
cout << fixed;
cout << "Równania sześcienne typu" << endl
<< " 3 2" << endl
<< "ax + bx + cx + d = 0" << endl
<< "--------------------" << endl;
nh(1,0,0,0);
nh(1,3,3,1);
nh(1,-6,12,-8);
nh(1,9,27,27);
nh(1,-6,11,-6);
nh(1,-1,-16,-20);
nh(1,-2,-10,-25);
cout << endl;
return 0;
}
|
| Wynik |
| Równania sześcienne typu 3 2 ax + bx + cx + d = 0 -------------------- Równanie: 1.000000 * x^3 + 0.000000 * x^2 + 0.000000 * x + 0.000000 = 0 x0 = -0.000000 x1 = -0.000000 x2 = -0.000000 Równanie: 1.000000 * x^3 + 3.000000 * x^2 + 3.000000 * x + 1.000000 = 0 x0 = -1.000000 x1 = -1.000000 x2 = -1.000000 Równanie: 1.000000 * x^3 + -6.000000 * x^2 + 12.000000 * x + -8.000000 = 0 x0 = 2.000000 x1 = 2.000000 x2 = 2.000000 Równanie: 1.000000 * x^3 + 9.000000 * x^2 + 27.000000 * x + 27.000000 = 0 x0 = -3.000000 x1 = -3.000000 x2 = -3.000000 Równanie: 1.000000 * x^3 + -6.000000 * x^2 + 11.000000 * x + -6.000000 = 0 x0 = 2.000000 x1 = 1.000000 x2 = 3.000000 Równanie: 1.000000 * x^3 + -1.000000 * x^2 + -16.000000 * x + -20.000000 = 0 x0 = -2.000000 x1 = -2.000000 x2 = 5.000000 Równanie: 1.000000 * x^3 + -2.000000 * x^2 + -10.000000 * x + -25.000000 = 0 x0 = 5.000000 x1 = -1.500000 + -1.658312i x2 = -1.500000 + 1.658312i |
Porównaj otrzymane wyniki z wynikami poprzedniego programu. Zwróć uwagę, iż teraz pierwiastki potrójne są znajdowane prawidłowo. Pierwiastki niekoniecznie otrzymujemy w kolejności od najmniejszego do największego. Jeśli ma to znaczenie, to należy zastosować prosty algorytm sortujący.
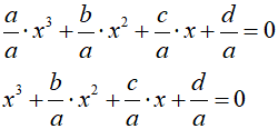
Równania sześcienne można rozwiązywać, podobnie jak równania kwadratowe, licząc wyróżnik delta. Jednakże w tym przypadku postać wyróżnika jest dużo bardziej skomplikowana. Nie będziemy wyprowadzać wzorów, opiszemy jedynie metodę rozwiązywania dowolnych równań sześciennych.
Mamy równanie sześcienne:

Dzielimy wszystkie współczynniki przez a:

Przyjmujemy nowe współczynniki:

i otrzymujemy równanie wynikowe:

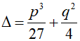
W pierwszym kroku wyliczamy wyróżnik delta. Ponieważ ma on dosyć skomplikowany wzór, zastosujemy podstawienia:

Wyróżnik równania zdefiniujemy teraz następująco:

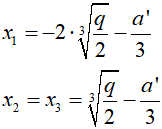
W zależności od wartości wyróżnika delta mamy trzy możliwe przypadki:






Poniższy program jest przykładową realizacją przedstawionego powyżej algorytmu:
|
Przykładowy program w języku C++
// Równanie sześcienne
// (C)2019 mgr Jerzy Wałaszek
// Metody numeryczne
//---------------------------
#include <iostream>
#include <cmath>
#include <iomanip>
using namespace std;
// Tutaj definiujemy dane wejściowe
//----------------------------------
double epsy = 1e-12; // Dokładność porównania z zerem
const double M_PI = 3.14159265358979323846;
// Funkcja rozwiązująca równanie sześcienne
// a,b,c,d - współczynniki wielomianu
//-----------------------------------------
void ce(double a, double b, double c, double d)
{
double x1,x2,x3,p,q,delta;
bool cmplx = false; // Znacznik wyniku zespolonego
cout << endl
<< "Równanie: "
<< a << " * x^3 + "
<< b << " * x^2 + "
<< c << " * x + "
<< d << " = 0" << endl;
// Modyfikujemy współczynniki równania
d /= a;
c /= a;
b /= a;
a = b;
b = c;
c = d;
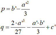
// Obliczamy wyróżnik delta
p = b - a * a / 3;
q = 2 * a * a * a / 27 - a * b / 3 + c;
delta = p * p * p / 27 + q * q / 4;
// Sprawdzamy przypadki
if(fabs(delta) < epsy) // 3 pierwiastki, 2 podwójne
{
q = ((q > 0) - (q < 0)) * pow(fabs(q) / 2, 1 / 3.0);
x1 = -2 * q - a / 3;
x2 = x3 = q - a / 3;
}
else if(delta > 0) // 1 pierwiastek rzeczywisty, 2 zespolone
{
cmplx = true; // Wynik zespolony
q /= -2;
delta = sqrt(delta);
x1 = ((q + delta > 0) - (q + delta < 0)) * pow(fabs(q + delta), 1 / 3.0) +
((q - delta > 0) - (q - delta < 0)) * pow(fabs(q - delta), 1 / 3.0) - a / 3;
// Schematem Hornera dzielimy wielomian równania sześciennego
// przez dwumian x - x1
double aa,bb,cc;
aa = 1;
bb = a + aa * x1;
cc = b + bb * x1;
// Obliczamy wyróżnik równania kwadratowego
delta = bb * bb - 4 * aa * cc;
delta = sqrt(-delta);
x2 = - bb / 2 / aa ; // Część rzeczywista
x3 = delta / 2 / aa; // Część urojona
}
else // 3 pierwiastki rzeczywiste
{
a /= 3;
p = sqrt(-p);
double pp = 2 / sqrt(3) * p;
q = 3 * sqrt(3) * q / 2 / p / p / p;
x1 = pp * sin(asin(q) / 3) - a;
x2 = - pp * sin(asin(q) / 3 + M_PI / 3) - a;
x3 = pp * cos(asin(q) / 3 + M_PI / 6) - a;
}
cout << "x1 = " << x1 << endl;
if(cmplx) cout << "x2 = " << x2 << " + " << -x3 << "i" << endl
<< "x3 = " << x2 << " + " << x3 << "i";
else cout << "x2 = " << x2 << endl
<< "x3 = " << x3;
cout << endl;
}
// Program główny
//---------------
int main()
{
setlocale(LC_ALL,"");
cout << fixed;
cout << "Równania sześcienne typu" << endl
<< " 3 2" << endl
<< "ax + bx + cx + d = 0" << endl
<< "--------------------" << endl;
ce(1,0,0,0);
ce(1,3,3,1);
ce(1,-6,12,-8);
ce(1,9,27,27);
ce(1,-6,11,-6);
ce(1,-1,-16,-20);
ce(1,-2,-10,-25);
cout << endl;
return 0;
}
|
| Wynik |
| Równania sześcienne typu 3 2 ax + bx + cx + d = 0 -------------------- Równanie: 1.000000 * x^3 + 0.000000 * x^2 + 0.000000 * x + 0.000000 = 0 x1 = -0.000000 x2 = 0.000000 x3 = 0.000000 Równanie: 1.000000 * x^3 + 3.000000 * x^2 + 3.000000 * x + 1.000000 = 0 x1 = -1.000000 x2 = -1.000000 x3 = -1.000000 Równanie: 1.000000 * x^3 + -6.000000 * x^2 + 12.000000 * x + -8.000000 = 0 x1 = 2.000000 x2 = 2.000000 x3 = 2.000000 Równanie: 1.000000 * x^3 + 9.000000 * x^2 + 27.000000 * x + 27.000000 = 0 x1 = -3.000000 x2 = -3.000000 x3 = -3.000000 Równanie: 1.000000 * x^3 + -6.000000 * x^2 + 11.000000 * x + -6.000000 = 0 x1 = 2.000000 x2 = 1.000000 x3 = 3.000000 Równanie: 1.000000 * x^3 + -1.000000 * x^2 + -16.000000 * x + -20.000000 = 0 x1 = 5.000000 x2 = -2.000000 x3 = -2.000000 Równanie: 1.000000 * x^3 + -2.000000 * x^2 + -10.000000 * x + -25.000000 = 0 x1 = 5.000000 x2 = -1.500000 + -1.658312i x3 = -1.500000 + 1.658312i |
![]() |
Zespół Przedmiotowy Chemii-Fizyki-Informatyki w I Liceum Ogólnokształcącym im. Kazimierza Brodzińskiego w Tarnowie ul. Piłsudskiego 4 ©2026 mgr Jerzy Wałaszek |
Materiały tylko do użytku dydaktycznego. Ich kopiowanie i powielanie jest dozwolone pod warunkiem podania źródła oraz niepobierania za to pieniędzy.
Pytania proszę przesyłać na adres email:
Serwis wykorzystuje pliki cookies. Jeśli nie chcesz ich otrzymywać, zablokuj je w swojej przeglądarce.
Informacje dodatkowe.