|
Serwis Edukacyjny w I-LO w Tarnowie
Materiały dla uczniów liceum |
Wyjście Spis treści Wstecz Dalej
Autor artykułu: mgr Jerzy Wałaszek |
©2026 mgr Jerzy Wałaszek
|
| SPIS TREŚCI REMANENT |
|
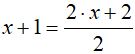
Równanie (ang. equation) jest tworem matematycznym, który wymaga równości dwóch wyrażeń:

Wyrażenia te mogą zawierać zmienne, np:

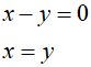
Rozwiązaniem równania są takie wartości zawartych w nim zmiennych, które powodują, iż równość jest spełniona, np:

Równanie może być:




Podział ze względu na rodzaj wyrażeń w równaniu:





Oprócz powyższych podziałów równanie może być:


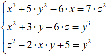
Powyższy podział nie wyczerpuje wszystkich możliwych typów równań, których jest bardzo wiele. Tutaj zajmiemy się opisem metod rozwiązywania wybranych rodzajów równań, z którymi często spotykamy się w naukach technicznych.
![]() |
Zespół Przedmiotowy Chemii-Fizyki-Informatyki w I Liceum Ogólnokształcącym im. Kazimierza Brodzińskiego w Tarnowie ul. Piłsudskiego 4 ©2026 mgr Jerzy Wałaszek |
Materiały tylko do użytku dydaktycznego. Ich kopiowanie i powielanie jest dozwolone pod warunkiem podania źródła oraz niepobierania za to pieniędzy.
Pytania proszę przesyłać na adres email:
Serwis wykorzystuje pliki cookies. Jeśli nie chcesz ich otrzymywać, zablokuj je w swojej przeglądarce.
Informacje dodatkowe.