|
Serwis Edukacyjny w I-LO w Tarnowie
Materiały dla uczniów liceum |
Wyjście Spis treści Wstecz Dalej
Autor artykułu: mgr Jerzy Wałaszek |
©2026 mgr Jerzy Wałaszek
|
| SPIS TREŚCI |
|
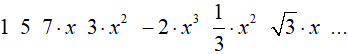
Wprowadźmy pojęcie jednomianu ( ang. monomial ). Najogólniej mówiąc jest to iloczyn zmiennej podniesionej do całkowitej i dodatniej potęgi oraz liczby rzeczywistej. Przykłady jednomianów są następujące:

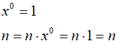
Pojedyncza liczba również jest jednomianem, ponieważ jest iloczynem przez zmienną x podniesioną do potęgi zerowej, co zawsze jest równe 1:

Liczba stojąca przy zmiennej nazywana jest współczynnikiem jednomianu. Potęga zmiennej nazywana jest stopniem wielomianu. Wielomian ( ang. polynomial ) jest sumą jednomianów. Przykłady wielomianów:

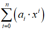
Ogólnie wielomian stopnia n-tego zapisujemy jako:

Matematycznie zapisujemy to jako sumę n jednomianów:

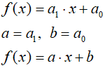
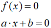
Funkcja liniowa ( ang. linear function ) jest wielomianem stopnia pierwszego, co możemy zapisać jako:


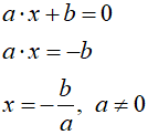
Równanie liniowe powstaje, jeśli przyrównamy funkcję liniową do 0:

Jeśli współczynnik a jest różny od zera, to równanie posiada rozwiązanie:

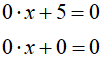
Jeśli a jest równe zero, to przy b różnym od zera równanie jest sprzeczne ( żadna wartość x nie spełnia równania ), a przy b równym zero, równanie jest nieoznaczone ( każda wartość x spełnia równanie ).
| ε | – | dokładność przyrównania do zera |
| a,b | – | współczynniki |
| x | – | pierwiastek równania |
| K01: | Jeśli | a | > ε, to idź do kroku K04 |
Sprawdzamy, czy a jest różne od zera |
| K02: | Jeśli |b| > ε, to pisz "Równanie nieoznaczone" inaczej pisz "Równanie sprzeczne" |
Jeśli nie, to mamy błąd |
| K03: | Zakończ z błędem | |
| K04: |
![]() |
Obliczamy wynik |
| K05: | Zakończ |
Poniższy program znajduje rozwiązanie równania:

|
Przykładowy program w języku C++
// Równanie liniowe
// (C)2019 mgr Jerzy Wałaszek
// Metody numeryczne
//---------------------------
#include <iostream>
#include <cmath>
#include <iomanip>
using namespace std;
// Tutaj definiujemy dane wejściowe
//----------------------------------
double eps = 1e-7; // Dokładność porównania z zerem
double a = 6; // Współczynniki
double b = -12;
// Program główny
//---------------
int main()
{
// Zmienne
double x;
setlocale(LC_ALL,"");
cout << fixed;
cout << "Równanie liniowe" << endl
<< "----------------" << endl << endl;
cout << a << " * x + " << b << " = 0" << endl << endl;
// Sprawdzamy, czy a jest równe zero
if(fabs(a) <= eps)
{
cout << "Równanie ";
if(fabs(b) <= eps) cout << " nieoznaczone";
else cout << " sprzeczne";
}
else
{
x = - b / a;
cout << "Wynik x = " << x;
}
cout << endl << endl;
return 0;
}
|
| Wynik |
| Równanie liniowe ---------------- 6.000000 * x + -12.000000 = 0 Wynik x = 2.000000 |
Sprawdź rozwiązanie równań:

![]() |
Zespół Przedmiotowy Chemii-Fizyki-Informatyki w I Liceum Ogólnokształcącym im. Kazimierza Brodzińskiego w Tarnowie ul. Piłsudskiego 4 ©2026 mgr Jerzy Wałaszek |
Materiały tylko do użytku dydaktycznego. Ich kopiowanie i powielanie jest dozwolone pod warunkiem podania źródła oraz niepobierania za to pieniędzy.
Pytania proszę przesyłać na adres email:
Serwis wykorzystuje pliki cookies. Jeśli nie chcesz ich otrzymywać, zablokuj je w swojej przeglądarce.
Informacje dodatkowe.