|
Serwis Edukacyjny w I-LO w Tarnowie
Materiały dla uczniów liceum |
Wyjście Spis treści Wstecz Dalej
Autor artykułu: mgr Jerzy Wałaszek |
©2026 mgr Jerzy Wałaszek
|
| SPIS TREŚCI |
|
| Podrozdziały |
Metoda Steffensena ( ang. Steffensen's method ) jest bardzo podobna do metody Newtona, jednak nie wymaga liczenia pochodnej funkcji. Warunki początkowe są takie same jak dla metody Newtona:
Na osi OX wybieramy pewien przedział [a,b] o następujących własnościach:

Dodatkowo w przedziale [a,b] pierwsza pochodna funkcji jest różna od zera. Warunek ten gwarantuje nam, iż w tym przedziale funkcja nie posiada minimum/maksimum lokalnego.
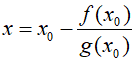
Metoda Steffensena wykorzystuje do obliczania następnego przybliżenia pierwiastka funkcji podobny wzór jak metoda Newtona. Różnica jest taka, iż pochodna jest zastąpiona funkcją g(x). Zasada działania tej metody jest następująca:
Wybieramy przedział [a,b] spełniający warunki początkowe. W przedziale [a,b] wybieramy punkt startowy x0. Następne przybliżenie wyliczamy wg wzoru:

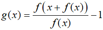
We wzorze występuje funkcja g(x), której wartość wyliczamy ze wzoru:

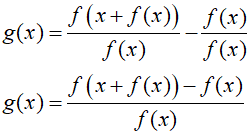
Przekształćmy ten wzór:

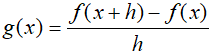
Podstawmy h = f(x):

Funkcja g(x) jest średnim nachyleniem funkcji f(x) pomiędzy punktami wykresu (x,f(x)) i (x+h,f(x+h)). Pierwszy punkt x należy do ciągu aproksymacji pierwiastka. Drugi punkt x+h jest punktem pomocniczym. Funkcja ta zwana jest również różnicą dzieloną pierwszego rzędu funkcji f(x) ( ang. first-order divided difference ). Przyrost h nie jest stały i maleje wraz z kolejnymi przybliżeniami x do pierwiastka funkcji f(x).
Obliczenia przerywamy, podobnie jak w metodzie Newtona, w jednym z trzech przypadków:
Jeśli żaden z tych przypadków nie wystąpił, to wyliczone x przepisujemy do x0 i kontynuujemy wyliczanie następnego przybliżenia pierwiastka funkcji.
Metoda Steffensena wyznacza pierwiastek funkcji równie szybko jak metoda Newtona, jednakże wymaga ona dwukrotnego wyliczania wartości funkcji f(x) w każdym obiegu. Zaletą jednak jest to, iż nie ma potrzeby wyznaczania pochodnej funkcji f(x). Jeśli obliczanie funkcji f(x) jest czasochłonne, to w praktyce może się okazać, że metody teoretycznie wolniejsze (np. metoda siecznych ) dadzą rozwiązanie szybciej, ponieważ są one mniej złożone obliczeniowo.
| εx | – | dokładność przybliżenia pierwiastka |
| εy | – | dokładność przybliżenia do zera |
| x | – | początkowe przybliżenia pierwiastka |
| f | – | funkcja, której pierwiastek będzie obliczany |
| n | – | maksymalna liczba aproksymacji |
| x | – | przybliżony pierwiastek funkcji |
| h | – | wartość funkcji w punkcie x |
| g | – | wartość różnicy dzielonej |
| x1 | – | przybliżenie pierwiastka z poprzedniego kroku |
| K01: | n ← n - 1 | Zmniejszamy licznik |
| K02: | Jeśli n = 0, to zakończ z błędem |
Sprawdzamy trzeci warunek zakończenia |
| K03: | h ← f ( x ) | Obliczamy wartość funkcji w punkcie x |
| K04: | Jeśli | h | < εy, to zakończ |
Pierwszy warunek zakończenia |
| K05: | ![]() |
Obliczamy różnicę dzieloną |
| K06: | x1 ← x | Zapamiętujemy bieżące przybliżenie pierwiastka |
| K07: |
![]() |
Wyliczamy kolejne przybliżenie pierwiastka |
| K08: | Jeśli | x1 - x | < εx, to zakończ |
Drugi warunek zakończenia |
| K09: | Idź do kroku K01 | Kontynuujemy obliczenia z nowym x |
Poniższy program jest przykładową realizacją algorytmu Steffensena. Program oblicza pierwiastek funkcji:

Wykres tej funkcji w przedziale [-3,1] jest następujący:

Z wykresu wynika, iż pierwiastek znajduje się w przedziale [-1,1 , -1]. Jako przybliżenia początkowe wybieramy x = -1.
|
Przykładowy program w języku C++
// Pierwiastek funkcji - metoda Steffensena
// (C)2019 mgr Jerzy Wałaszek
// Metody numeryczne
//------------------------------------------
#include <iostream>
#include <cmath>
#include <iomanip>
using namespace std;
// Tutaj definiujemy funkcję, której pierwiastek jest wyliczany
//-------------------------------------------------------------
double f(double x)
{
return sin(x*x-x+1/3.0)+0.5*x;
}
// Tutaj definiujemy parametry początkowe
double epsx = 1e-14; // Dokładność wyznaczania pierwiastka
double epsy = 1e-14; // Dokładność wyznaczania zera
double x = -1; // Punkt startowy
int n = 64; // Maksymalna liczba obiegów
// Program główny
//---------------
int main()
{
// Zmienne
double x1,h,g;
bool result = false;
setlocale(LC_ALL,"");
cout << setprecision(15) << fixed;
cout << "Obliczanie przybliżonego pierwiastka funkcji metodą Steffensena" << endl
<< "---------------------------------------------------------------" << endl << endl;
while(--n)
{
// Obliczamy wartość funkcji w punkcie x
h = f(x);
// Sprawdzamy, czy funkcja jest dostatecznie bliska zeru
if(fabs(h) < epsy)
{
result = true;
break;
}
// Obliczamy różnicę dzieloną
g = (f(x+h) - h) / h;
// Zapamiętujemy bieżące przybliżenie
x1 = x;
// Obliczamy kolejne przybliżenie
x -= h/g;
// Sprawdzamy, czy odległość pomiędzy dwoma ostatnimi przybliżeniami
// jest mniejsza od założonej dokładności
if(fabs(x1 - x) < epsx)
{
result = true;
break;
}
// Kontynuujemy obliczenia
}
if(!result) cout << "Zakończono z błędem!" << endl << endl;
cout << "Pierwiastek x = " << setw(18) << x << endl
<< "Wartość funkcji f(x) = " << setw(18) << h << endl
<< "Dokładność dla x epsx = " << setw(18) << epsx << endl
<< "Dokładność dla y epsy = " << setw(18) << epsy << endl
<< "Liczba obiegów n = " << 64 - n;
cout << endl << endl;
return 0;
}
|
| Wynik |
| Obliczanie przybliżonego pierwiastka
funkcji metodą Steffensena --------------------------------------------------------------- Pierwiastek x = -1.077713513691340 Wartość funkcji f(x) = -0.000000000000001 Dokładność dla x epsx = 0.000000000000010 Dokładność dla y epsy = 0.000000000000010 Liczba obiegów n = 7 |
Porównaj otrzymany wynik z pięcioma poprzednimi metodami:
|
Obliczanie przybliżonego pierwiastka funkcji metodą
bisekcji ------------------------------------------------------------ Pierwiastek x0 = -1.077713513691339 Wartość funkcji f(x0) = 0.000000000000002 Dokładność dla x epsx = 0.000000000000010 Dokładność dla y epsy = 0.000000000000010 Liczba obiegów i = 44 |
|
Obliczanie przybliżonego pierwiastka funkcji metodą
regula falsi ---------------------------------------------------------------- Pierwiastek x0 = -1.077713513691339 Wartość funkcji f(x0) = 0.000000000000001 Dokładność dla y epsy = 0.000000000000010 Liczba obiegów = 9 |
|
Obliczanie przybliżonego pierwiastka funkcji metodą
siecznych ------------------------------------------------------------- Pierwiastek xn = -1.077713513691340 Wartość funkcji f(xn) = 0.000000000000000 Dokładność dla x epsx = 0.000000000000010 Dokładność dla y epsy = 0.000000000000010 Liczba obiegów = 5 |
|
Obliczanie przybliżonego pierwiastka funkcji metodą
Mullera ----------------------------------------------------------- Pierwiastek x3 = -1.077713513691340 Wartość funkcji f(x3) = 0.000000000000000 Dokładność dla x epsx = 0.000000000000010 Dokładność dla y epsy = 0.000000000000010 Liczba obiegów n = 4 |
|
Obliczanie przybliżonego pierwiastka funkcji metodą
Newtona ----------------------------------------------------------- Pierwiastek x0 = -1.077713513691340 Wartość funkcji f(x0) = -0.000000000000001 Dokładność dla x epsx = 0.000000000001000 Dokładność dla y epsy = 0.000000000000010 Liczba obiegów n = 5 |
Działanie metody Steffensena można przyspieszyć przez zastosowanie tzw. ekstrapolacji Aitkena.
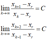
Załóżmy, że mamy ciąg kolejnych przybliżeń pierwiastka funkcji:

Ciąg ten jest zbieżny do pierwiastka funkcji xr:

Jeśli ciąg ten jest liniowo zbieżny do pierwiastka, to:

gdzie C to pewna wartość stała.
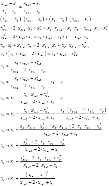
Dla odpowiednio dużego k możemy zapisać:

Wyliczmy przybliżoną wartość pierwiastka xr:

Okazuje się, że ciąg o wyrazach:

Jest szybciej zbieżny do xr od ciągu pierwotnego. Jest to tzw. ekstrapolacja Aitkena. Możemy ją połączyć z metodą Steffensena w sposób następujący:
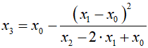
Wybieramy punkt startowy x0. Następnie za pomocą metody Steffensena wyliczamy dwa kolejne punkty x1 i x2. Punkty te są konieczne do wyznaczenia x3 ekstrapolacją Aitkena. Punkt x3 wyliczamy ze wzoru:

Sprawdzamy, czy funkcja w punkcie x3 jest dostatecznie bliska 0. Jeśli tak, kończymy.
Sprawdzamy, czy różnica ostatnich dwóch aproksymacji jest dostatecznie mała. Jeśli tak, kończymy.
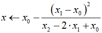
W przeciwnym razie za x0 przyjmujemy wyliczony punkt x3 i powtarzamy obliczenia. Przy złym wyborze x0 algorytm może nie być zbieżny do rozwiązania. Zatem należy ograniczyć liczbę dozwolonych aproksymacji tak, jak w poprzednich metodach.
Algorytm jest następujący:
| εx | – | dokładność przybliżenia pierwiastka |
| εy | – | dokładność przybliżenia do zera |
| x | – | początkowe przybliżenia pierwiastka |
| f | – | funkcja, której pierwiastek będzie obliczany |
| n | – | maksymalna liczba aproksymacji |
| x | – | przybliżony pierwiastek funkcji |
| h | – | wartość funkcji w punkcie x |
| g | – | wartość różnicy dzielonej |
| x1,x2 | – | przybliżenia pierwiastka z poprzedniego kroku |
| K01: | n ← n - 1 | Zmniejszamy licznik |
| K02: | Jeśli n = 0, to zakończ z błędem |
Sprawdzamy warunek zakończenia |
| K03: | h ← f ( x ) | Wyliczamy wartość funkcji w punkcie x |
| K04: | Jeśli | h | < εy, to zakończ |
Sprawdzamy warunek zakończenia |
| K05: | x0 ← x | Zapamiętujemy x |
| K06: |
![]() |
Obliczamy różnicę dzieloną |
| K07: | ![]() |
Wyliczamy kolejne przybliżenie pierwiastka |
| K08: | x1 ← x | Zapamiętujemy x |
| K09: | h ← f ( x ) | Wyliczamy wartość funkcji w punkcie x |
| K10: | Jeśli | h | < εy, to zakończ |
Sprawdzamy warunek zakończenia |
| K11: |
![]() |
Obliczamy różnicę dzieloną |
| K12: | ![]() |
Wyliczamy kolejne przybliżenie pierwiastka |
| K13: | x2 ← x | Zapamiętujemy x |
| K14: | ![]() |
Obliczamy kolejne x wg ekstrapolacji Aitkena |
| K15: | Jeśli | x - x2 | < εx, to zakończ |
Sprawdzamy warunek zakończenia |
| K16: | Idź do kroku K01 | Kontynuujemy z x ekstrapolowanym |
Poniższy program jest przykładową realizacją algorytmu Steffensena/Aitkena. Program oblicza pierwiastek funkcji:

Wykres tej funkcji w przedziale [-3,1] jest następujący:

Z wykresu wynika, iż pierwiastek znajduje się w przedziale [-1,1 , -1]. Jako przybliżenia początkowe wybieramy x = -1.
|
Przykładowy program w języku C++
// Pierwiastek funkcji - metoda Steffensena/Aitkena
// (C)2019 mgr Jerzy Wałaszek
// Metody numeryczne
//-------------------------------------------------
#include <iostream>
#include <cmath>
#include <iomanip>
using namespace std;
// Tutaj definiujemy funkcję, której pierwiastek jest wyliczany
//-------------------------------------------------------------
double f(double x)
{
return sin(x*x-x+1/3.0)+0.5*x;
}
// Tutaj definiujemy parametry początkowe
double epsx = 1e-14; // Dokładność wyznaczania pierwiastka
double epsy = 1e-14; // Dokładność wyznaczania zera
double x = -1; // Punkt startowy
int n = 64; // Maksymalna liczba obiegów
// Program główny
//---------------
int main()
{
// Zmienne
double x0,x1,x2,h,g;
bool result = false;
setlocale(LC_ALL,"");
cout << setprecision(15) << fixed;
cout << "Obliczanie przybliżonego pierwiastka funkcji metodą Steffensena/Aitkena" << endl
<< "-----------------------------------------------------------------------" << endl << endl;
while(--n)
{
// Obliczamy wartość funkcji w punkcie x
h = f(x);
// Sprawdzamy, czy funkcja jest dostatecznie bliska zeru
if(fabs(h) < epsy)
{
result = true;
break;
}
// Obliczamy różnicę dzieloną
g = (f(x+h) - h) / h;
// Zapamiętujemy bieżące przybliżenie
x0 = x;
// Obliczamy kolejne przybliżenie
x -= h/g;
// Zapamiętujemy bieżące przybliżenie
x1 = x;
// Obliczamy wartość funkcji w punkcie x
h = f(x);
// Sprawdzamy, czy funkcja jest dostatecznie bliska zeru
if(fabs(h) < epsy)
{
result = true;
break;
}
// Obliczamy różnicę dzieloną
g = (f(x+h) - h) / h;
// Obliczamy kolejne przybliżenie
x -= h/g;
// Zapamietujemy x
x2 = x;
// Kolejne przybliżenie wyliczamy ekstrapolacją Aitkena
x = x0 - (x1 - x0) * (x1 - x0) / (x2 - 2 * x1 + x0);
// Sprawdzamy, czy odległość pomiędzy dwoma ostatnimi przybliżeniami
// jest mniejsza od założonej dokładności
if(fabs(x - x2) < epsx)
{
result = true;
break;
}
// Kontynuujemy obliczenia z nowym punktem x
}
if(!result) cout << "Zakończono z błędem!" << endl << endl;
cout << "Pierwiastek x = " << setw(18) << x << endl
<< "Wartość funkcji f(x) = " << setw(18) << f(x) << endl
<< "Dokładność dla x epsx = " << setw(18) << epsx << endl
<< "Dokładność dla y epsy = " << setw(18) << epsy << endl
<< "Liczba obiegów n = " << 64 - n;
cout << endl << endl;
return 0;
}
|
| Wynik |
| Obliczanie przybliżonego pierwiastka
funkcji metodą Steffensena/Aitkena ----------------------------------------------------------------------- Pierwiastek x = -1.077713513691340 Wartość funkcji f(x) = 0.000000000000000 Dokładność dla x epsx = 0.000000000000010 Dokładność dla y epsy = 0.000000000000010 Liczba obiegów n = 4 |
Porównaj otrzymany wynik z sześcioma poprzednimi metodami:
|
Obliczanie przybliżonego pierwiastka funkcji metodą
bisekcji ------------------------------------------------------------ Pierwiastek x0 = -1.077713513691339 Wartość funkcji f(x0) = 0.000000000000002 Dokładność dla x epsx = 0.000000000000010 Dokładność dla y epsy = 0.000000000000010 Liczba obiegów i = 44 |
|
Obliczanie przybliżonego pierwiastka funkcji metodą
regula falsi ---------------------------------------------------------------- Pierwiastek x0 = -1.077713513691339 Wartość funkcji f(x0) = 0.000000000000001 Dokładność dla y epsy = 0.000000000000010 Liczba obiegów = 9 |
|
Obliczanie przybliżonego pierwiastka funkcji metodą
siecznych ------------------------------------------------------------- Pierwiastek xn = -1.077713513691340 Wartość funkcji f(xn) = 0.000000000000000 Dokładność dla x epsx = 0.000000000000010 Dokładność dla y epsy = 0.000000000000010 Liczba obiegów = 5 |
|
Obliczanie przybliżonego pierwiastka funkcji metodą
Mullera ----------------------------------------------------------- Pierwiastek x3 = -1.077713513691340 Wartość funkcji f(x3) = 0.000000000000000 Dokładność dla x epsx = 0.000000000000010 Dokładność dla y epsy = 0.000000000000010 Liczba obiegów n = 4 |
|
Obliczanie przybliżonego pierwiastka funkcji metodą
Newtona ----------------------------------------------------------- Pierwiastek x0 = -1.077713513691340 Wartość funkcji f(x0) = -0.000000000000001 Dokładność dla x epsx = 0.000000000001000 Dokładność dla y epsy = 0.000000000000010 Liczba obiegów n = 5 |
|
Obliczanie przybliżonego pierwiastka funkcji metodą
Steffensena --------------------------------------------------------------- Pierwiastek x = -1.077713513691340 Wartość funkcji f(x) = -0.000000000000001 Dokładność dla x epsx = 0.000000000000010 Dokładność dla y epsy = 0.000000000000010 Liczba obiegów n = 7 |
Każdy obieg aproksymacyjny Aitkena wymaga dwukrotnego wyliczania pierwiastka metodą Steffensona (dla x1 i x2 ). W efekcie koszt obliczeniowy obu metod jest podobny, pomimo iż liczba obiegów jest mniejsza. Z podanego porównania wynika, iż metoda siecznych daje całkiem przyzwoite wyniki w małej liczbie obiegów, dodatkowo jest bardzo prosta obliczeniowo.
![]() |
Zespół Przedmiotowy Chemii-Fizyki-Informatyki w I Liceum Ogólnokształcącym im. Kazimierza Brodzińskiego w Tarnowie ul. Piłsudskiego 4 ©2026 mgr Jerzy Wałaszek |
Materiały tylko do użytku dydaktycznego. Ich kopiowanie i powielanie jest dozwolone pod warunkiem podania źródła oraz niepobierania za to pieniędzy.
Pytania proszę przesyłać na adres email:
Serwis wykorzystuje pliki cookies. Jeśli nie chcesz ich otrzymywać, zablokuj je w swojej przeglądarce.
Informacje dodatkowe.