|
Serwis Edukacyjny Nauczycieli I-LO w Tarnowie
Materiały dla uczniów liceum |
Wyjście Spis treści Wstecz Dalej
Autor artykułu: mgr Jerzy Wałaszek |
©2026 mgr Jerzy Wałaszek
|
W naszym serwisie jest nowszy artykuł o obliczaniu pierwiastków funkcji: "Metody numeryczne".
| SPIS TREŚCI |
| Podrozdziały |
Mamy daną funkcję f(x), jeden punkty startowy xo i przedział 〈a;b〉 poszukiwań pierwiastka, do którego należy punkt xo. W przedziale poszukiwań pierwiastka funkcja musi spełniać następujące warunki:
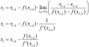
Gdy funkcja f(x) spełnia podane warunki, to w przedziale 〈a;b〉 istnieje pierwiastek i możemy go wyszukać metodą Newtona. Jeśli we wzorze metody siecznych:=

punkty xi-1 i xi-2 zaczną się do siebie zbliżać dążąc w granicy do równości, to ułamek tam występujący przejdzie w odwrotność pochodnej funkcji f(x) w punkcie xi-1:

Sieczna w granicy stanie się styczną. Otrzymany wzór nosi nazwę wzoru Newtona. Pozwala on wyliczyć punkt przecięcia stycznej do wykresu funkcji w punkcie xi-1 z osią OX. Do wyznaczenia kolejnego przybliżenia pierwiastka xi potrzebujemy tylko jednego punktu, który został wyznaczony w poprzednim obiegu - w metodzie siecznych potrzebne były dwa punkty.
Zaletą metody Newtona jest bardzo szybka zbieżność. Wadą - we wzorze występuje pochodna, której obliczenie może być trudne dla niektórych funkcji. Jednakże metodę Newtona najczęściej stosuje się do wielomianów, których pochodne są bardzo proste i liczy się je algorytmicznie.

Zasada metody Newtona jest następująca:
Obliczenia rozpoczynamy od punktu xo leżącego dostatecznie blisko poszukiwanego pierwiastka funkcji. W przedziale pomiędzy punktem xo a docelowym pierwiastkiem funkcja musi posiadać niezerową pierwszą pochodną. Pożądane jest również, aby w punkcie xo druga pochodna miała ten sam znak, co funkcja f(x). W przeciwnym razie metoda Newtona zamiast zbliżać się do punktu pierwiastka ucieknie od niego.
Obliczamy nowy punkt xo zgodnie ze wzorem i sprawdzamy, czy wartość funkcji w tym punkcie jest dostatecznie bliska 0. Jeśli tak, kończymy. W przeciwnym razie wyznaczony kolejny punkt xo wykorzystując ostatnio wyliczony. Działania te prowadzimy dotąd, aż zbliżymy się dostatecznie do pierwiastka funkcji - różnica pomiędzy dwoma kolejno wyznaczonymi pierwiastkami będzie dostatecznie mała.
Ponieważ metoda Newtona może być rozbieżna przy źle wybranym punkcie startowym, będziemy zliczali obiegi - jeśli rozwiązanie nie pojawi się po wykonaniu zadanej ich liczby, przerwiemy obliczenia.
Przykład:
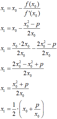
Znanym przykładem zastosowania metody Newtona jest rekurencyjne wyliczanie pierwiastka kwadratowego z danej liczby p. Wartość pierwiastka jest miejscem zerowym funkcji:

Pochodna tej funkcji jest bardzo prosta i wyraża się wzorem:

Przyjmijmy za punkt startowy pewną liczbę x0. Wtedy pierwsze przybliżenie otrzymamy wg wzoru:

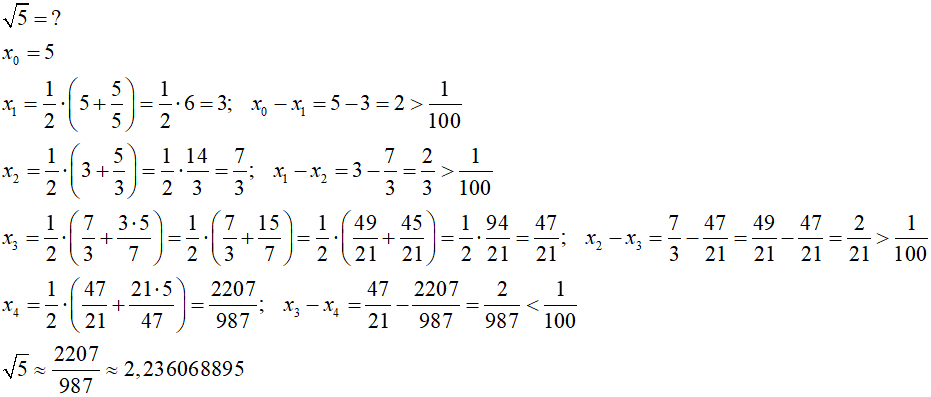
Kolejne przybliżenie otrzymamy podstawiając we wzorze za x0 obliczone x1. Wg tej metody postępujemy dotąd, aż różnica dwóch ostatnich przybliżeń będzie mniejsza od pożądanej dokładności wyznaczenia pierwiastka. Dla przykładu wyznaczmy tą metodą pierwiastek z liczby 5 z dokładnością do 0,01. Za punkt początkowy przyjmijmy 5.

Sprawdźmy: 2,2360688952 = 5,000004103. Przybliżenie jest zatem bardzo dobre!
| f(x) | – | funkcja, której pierwiastek liczymy. Musi być ciągła i określona w przedziale poszukiwań pierwiastka. |
| fp(x) | – | pierwsza pochodna funkcji f(x). W przedziale poszukiwań pierwiastka nie może przyjmować wartości 0. |
| xo | – | punkt startowy, od którego rozpoczynamy obliczenia pierwiastka funkcji f(x). xo ∈ R |
| xo | – | pierwiastek funkcji f(x) |
| i | – | licznik obiegów pętli. Obiegi są zliczane wstecz od wartości i = 64; i ∈ C |
| x1 | – | poprzednie przybliżenie pierwiastka funkcji f(x); x1 ∈ R |
| fo | – | wartość funkcji w punkcie xo; fo ∈ R |
| f1 | – | wartości pierwszej pochodnej funkcji punkcie xo; f1 ∈ R |
| εo | – | określa dokładność porównania z zerem; εo = 0.0000000001 |
| εx | – | określa dokładność wyznaczania pierwiastka xo; εx = 0.0000000001 |
| K01: | Czytaj xo | |
| K02: | x1 ← xo
- 1; fo ← f(xo); i ← 64 |
|
| K03: | Dopóki (i > 0) ∧ (| x1 - xo | > εx)
∧ (|
fo | >
εo): wykonuj kroki K04...K07 |
|
| K04: | f1 ← fp (xo) | |
| K05: | Jeśli | f1
| < εo, to pisz "Zły punkt startowy" i zakończ |
|
| K06: |
![]() |
|
| K07: | i ← i - 1 | |
| K08: | Jeśli i = 0, to pisz "Przekroczony limit obiegów" i zakończ |
|
| K09: | Pisz xo i zakończ |

Algorytm wyznaczania pierwiastka funkcji metodą Newtona rozpoczyna się od odczytu punktu startowego xo. W następnym kroku ustalamy wartość punktu x1 - będzie on przechowywał poprzednie przybliżenie pierwiastka. Jednakże na początku "poprzednie" przybliżenie jeszcze nie zostało policzone, zatem zmiennej x1 nadajemy taką wartość, aby wykonała się pętla wyliczająca pierwiastek funkcji. Dodatkowo do zmiennej fo wpisujemy wartość funkcji w punkcie xo oraz ustalamy maksymalną liczbę obiegów pętli na 64 w zmiennej i.
Rozpoczynamy pętlę wyliczającą kolejne przybliżenia pierwiastka. Pętla jest przerywana w następujących przypadkach:
Jeśli nie zajdzie żadna z opisanych powyżej trzech sytuacji, Wyznaczamy wartość pierwszej pochodnej w punkcie xo i umieszczamy wynik w zmiennej f1. Następnie sprawdzamy, czy wyliczona pochodna jest równa zero. Jeśli tak, musimy zakończyć algorytm z odpowiednim komunikatem, ponieważ we wzorze na przybliżony pierwiastek f1 występuje w mianowniku ułamka. Sytuacja taka może pojawić się przy źle dobranym punkcie startowym xo.
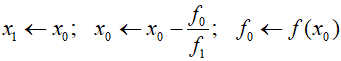
Przesuwamy xo do x1 zapamiętując w ten sposób poprzednio wyznaczony pierwiastek przybliżony funkcji. Obliczamy nowe przybliżenie pierwiastka i umieszczamy wynik w zmiennej xo. Wyznaczamy wartość funkcji w punkcie xo i umieszczamy wynik w zmiennej fo. Na końcu pętli zmniejszamy licznik i wykonujemy kolejny obieg.
Programy wyznaczają miejsce zerowe funkcji:

Pierwiastków należy poszukiwać w przedziałach 〈-1;0〉 i 〈1;2〉.
C++// Program znajduje miejsce
// zerowe funkcji f(x)
// za pomocą algorytmu Newtona
// ---------------------------
// (C)2006 mgr J.Wałaszek
#include <iostream>
#include <iomanip>
#include <cmath>
#include <cstdlib>
using namespace std;
// dokładność porównania z zerem
const double EPS0 = 0.0000000001;
// dokładność wyznaczenia pierwiastka
const double EPSX = 0.0000000001;
// Funkcja, której miejsce
// zerowe obliczamy
// f(x) = x^3*(x+sin(x^2-1)-1)-1
// <-1,0> i <1,2>
//------------------------------
double f(double x)
{
return x * x * x * (x + sin(x *
x - 1) - 1) - 1;
}
// Oblicza pochodną funkcji f(x)
// -----------------------------
double fp(double x)
{
return x * x * (2 * x * x *
cos(x * x - 1) + 3 *
sin(x * x - 1) + 4 *
x - 3);
}
//---------------
// Program główny
//---------------
int main()
{
double x0,x1,f0,f1;
int i;
cout << setprecision(8)
<< fixed
<< "Obliczanie pierwiastka funkcji\n"
" Metoda Newtona\n"
"f(x) = x^3*(x+sin(x^2-1)-1)-1\n"
"-----------------------------\n"
" (C)2006 mgr Jerzy Walaszek\n\n"
"Podaj punkt startowy x0 = ";
cin >> x0;
cout << "\nWYNIK:\n\n";
x1 = x0 - 1;
f0 = f(x0);
i = 64;
while (i && (fabs(x1 - x0) > EPSX) &&
(fabs(f0) > EPS0))
{
f1 = fp(x0);
if(fabs(f1) < EPS0)
{
cout << "Zly punkt startowy\n";
i = 0;
break;
}
x1 = x0;
x0 = x0 - f0 / f1;
f0 = f(x0);
if(!(--i))
cout << "Przekroczony limit obiegow\n";
}
if(i)
cout << "x0 = "
<< setw(15) << x0 << endl;
cout << "\n";
system("pause");
return 0;
}
|
Pascal// Program znajduje miejsce
// zerowe funkcji f(x)
// za pomocą algorytmu Newtona
// ---------------------------
// (C)2006 mgr J.Wałaszek
program mzf1;
uses math;
const
// dokładność porównania z zerem
EPS0 = 0.0000000001;
// dokładność wyznaczenia pierwiastka
EPSX = 0.0000000001;
// Funkcja, której miejsce
// zerowe obliczamy
// f(x) = x^3*(x+sin(x^2-1)-1)-1
// <-1,0> i <1,2>
//------------------------------
function f(x : real) : double;
begin
Result := x * x * x *
(x + sin(x * x - 1)
- 1) - 1;
end;
// Oblicza pochodną funkcji f(x)
//------------------------------
function fp(x : real) : double;
begin
Result := x * x * (2 * x * x *
cos(x * x - 1) + 3 *
sin(x * x - 1) + 4 *
x - 3)
end;
//---------------
// Program główny
//---------------
var
x0,x1,f0,f1 : double;
i : integer;
begin
writeln('Obliczanie pierwiastka funkcji');
writeln(' Metoda Newtona');
writeln('f(x) = x^3*(x+sin(x^2-1)-1)-1');
writeln('-----------------------------');
writeln(' (C)2006 mgr Jerzy Walaszek');
writeln;
write('Podaj punkt startowy x0 = ');
readln(x0);
writeln;
writeln('WYNIK:');
writeln;
x1 := x0 - 1;
f0 := f(x0);
i := 64;
while (i > 0) and
(abs(x1 - x0) > EPSX) and
(abs(f0) > EPS0) do
begin
f1 := fp(x0);
if abs(f1) < EPS0 then
begin
writeln('Zly punkt startowy');
i := 0;
break;
end;
x1 := x0;
x0 := x0 - f0 / f1;
f0 := f(x0);
dec(i);
if i = 0 then
writeln('Przekroczony limit obiegow');
end;
if i > 0 then
writeln('x0 = ',x0:15:8);
writeln;
writeln('Nacisnij Enter...');
readln;
end.
|
Basic' Program znajduje miejsce
' zerowe funkcji f(x)
' za pomocą algorytmu Newtona
' ---------------------------
' (C)2006 mgr J.Wałaszek
Declare Function f(x As Double) As Double
Declare Function fp(x As Double) As Double
' Dokładność porównania z zerem
Const EPS0 As Double = 0.0000000001
' Dokładność wyznaczenia pierwiastka
Const EPSX As Double = 0.0000000001
'---------------
' Program główny
'---------------
Dim As double x0, x1, f0, f1
Dim i As Integer
Print "Obliczanie pierwiastka funkcji"
Print " Metoda Newtona"
Print "f(x) = x^3*(x+sin(x^2-1)-1)-1"
Print "-----------------------------"
Print " (C)2006 mgr Jerzy Walaszek"
Print
Input "Podaj punkt startowy x0 = ", x0
Print
print "WYNIK:"
Print
x1 = x0 - 1
f0 = f(x0)
i = 64
While (i > 0) And _
(Abs(x1 - x0) > EPSX) And _
(Abs(f0) > EPS0)
f1 = fp(x0)
If Abs(f1) < EPS0 Then
Print "Zly punkt startowy"
i = 0
Exit While
End If
x1 = x0
x0 = x0 - f0 / f1
f0 = f(x0)
i -= 1
If i = 0 Then _
Print "Przekroczony limit obiegow"
Wend
If i > 0 Then _
Print Using "x0 = ######.########"; x0
Print
Print "Nacisnij Enter..."
Sleep
End
' Funkcja, której miejsce
' zerowe obliczamy
' f(x) = x^3*(x+sin(x^2-1)-1)-1
' <-1,0> i <1,2>
'------------------------------
Function f(x As Double) As Double
Return x * x * x * _
(x + Sin(x * x - 1) - 1) - 1
End Function
' Oblicza pochodną funkcji f(x)
'------------------------------
Function fp(x As Double) As Double
Return x * x * (2 * x * x * _
Cos(x * x - 1) + 3 * _
Sin(x * x - 1) + 4 * x - 3)
End Function
|
Python
(dodatek)# Program znajduje miejsce
# zerowe funkcji f(x)
# za pomocą algorytmu Newtona
# ---------------------------
# (C)2006 mgr J.Wałaszek
import math
# Funkcja, której miejsce
# zerowe obliczamy
# f(x) = x^3*(x+sin(x^2-1)-1)-1
# <-1,0> i <1,2>
#------------------------------
def f(x):
return x * x * x * \
(x + math.sin(x * \
x - 1) - 1) - 1
# Oblicza pochodną funkcji f(x)
#------------------------------
def fp(x):
return x * x * (2 * x * x * \
math.cos(x * x - 1) + 3 * \
math.sin(x * x - 1) + \
4 * x - 3)
# Dokładność porównania z zerem
EPS0 = 0.0000000001
# Dokładność wyznaczenia pierwiastka
EPSX = 0.0000000001
#---------------
# Program główny
#---------------
print("Obliczanie pierwiastka funkcji")
print(" Metodą Newtona")
print("f(x) = x^3*(x+sin(x^2-1)-1)-1")
print("-----------------------------")
print(" (C)2026 mgr Jerzy Wałaszek")
print()
x0 = float(input("Podaj punkt startowy x0 = "))
print()
print("WYNIK:")
print()
x1, f0, i = x0 - 1, f(x0), 64
while (i > 0) and \
(abs(x1 - x0) > EPSX) and \
(abs(f0) > EPS0):
f1 = fp(x0)
if abs(f1) < EPS0:
print("Zły punkt startowy")
i = 0
break
x1 = x0
x0 = x0 - f0 / f1
f0 = f(x0)
i -= 1
if not i:
print("Przekroczony limit obiegów")
if i > 0:
print("x0 = %15.8f" % x0)
print()
input("Naciśnij Enter...")
|
| Wynik: |
Obliczanie pierwiastka funkcji
Metodą Newtona
f(x) = x^3*(x+sin(x^2-1)-1)-1
-----------------------------
(C)2026 mgr Jerzy Wałaszek
Podaj punkt startowy x0 = 1
WYNIK:
x0 = 1.18983299
Naciśnij Enter...
|
JavaScript<html>
<head>
</head>
<body>
<div style="overflow-x: auto;"
align="center">
<table
border="0"
cellpadding="4"
style="border-collapse:
collapse">
<tr>
<td nowrap>
<form
name="frmbincode"
style="text-align: center;
background-color:
#E7E7DA">
<big><b>Obliczanie<br>
pierwiastka funkcji<br>
Metodą Newtona
</b></big><br>
<br>
f(x) = x<sup>3</sup>(x +
sin(x<sup>2 </sup>–
1) - 1) - 1<br>
<br>
(C)2026
mgr Jerzy Wałaszek
I LO w Tarnowie
<hr>
Wpisz do pola edycyjnego
punkt startowy:<br>
<br>
x<sub>0</sub> =
<input
type="text"
name="inp_x0"
size="16"
value="1"
style="text-align:
right">
<hr>
<input
type="button"
value="Oblicz"
name="B1"
onclick="main()">
<hr>
<b>Wynik:</b>
<div id="out">.</div>
</form>
</td>
</tr>
</table>
</div>
<script language=javascript>
// Program znajduje
// miejsce zerowe funkcji f(x)
// za pomocą algorytmu Newtona
// ---------------------------
// (C)2006 mgr J.Wałaszek
// dokładność porównania
// z zerem
var EPS0 = 0.0000000001;
// dokładność wyznaczenia
// pierwiastka
var EPSX = 0.0000000001;
// Funkcja, której miejsce
// zerowe obliczamy
// f(x) = x^3*(x+sin(x^2-1)-1)-1
// <-1,0> i <1,2>
function f(x)
{
return x*x*x*
(x+Math.sin(x*x-1)-
1)- 1
}
// Oblicza pochodną
// funkcji f(x)
function fp(x)
{
return x*x*(2*x*x*
Math.cos(x*x-1)+3*
Math.sin(x*x-1)+4*x-3)
}
//---------------
// Program główny
//---------------
function main()
{
var x0,x1,f0,f1,i,t
x0 = parseFloat(document
.frmbincode
.inp_x0.value)
if(isNaN(x0))
t = "<font color=red><b>" +
"Błędne dane wejściowe" +
"</b></font>"
else
{
x1 = x0 - 1
f0 = f(x0)
i = 64
while (i && (Math.abs(x1-x0) >
EPSX) && (Math.abs(f0) >
EPS0))
{
f1 = fp(x0)
if(Math.abs(f1) < EPS0)
{
t = "<font color=red><b>" +
"Zly punkt startowy" +
"</b></font>"
i = 0
break
}
x1 = x0
x0 = x0 - f0 / f1
f0 = f(x0)
if(!(--i))
t = "<font color=red><b>" +
"Przekroczony limit " +
"obiegów</b></font>"
}
if(i)
t = "x<sub>0</sub> = " + x0
}
document.getElementById("out")
.innerHTML = t
}
</script>
</body>
</html> |
Tutaj możesz przetestować działanie prezentowanego skryptu. Przykładowa funkcja posiada pierwiastki w przedziałach 〈-1;0〉 i 〈1;2〉.
![]() |
Zespół Przedmiotowy Chemii-Fizyki-Informatyki w I Liceum Ogólnokształcącym im. Kazimierza Brodzińskiego w Tarnowie ul. Piłsudskiego 4 ©2026 mgr Jerzy Wałaszek |
Materiały tylko do użytku dydaktycznego. Ich kopiowanie i powielanie jest dozwolone pod warunkiem podania źródła oraz niepobierania za to pieniędzy.
Pytania proszę przesyłać na adres email:
Serwis wykorzystuje pliki cookies. Jeśli nie chcesz ich otrzymywać, zablokuj je w swojej przeglądarce.
Informacje dodatkowe.