|
Serwis Edukacyjny Nauczycieli I-LO w Tarnowie
Materiały dla uczniów liceum |
Wyjście Spis treści Wstecz Dalej
Autor artykułu: mgr Jerzy Wałaszek |
©2026 mgr Jerzy Wałaszek
|
W naszym serwisie jest nowszy artykuł o obliczaniu pierwiastków funkcji: "Metody numeryczne".
| SPIS TREŚCI |
| Podrozdziały |
Mamy daną funkcję f(x) oraz przedział 〈a;b〉, w którym będziemy poszukiwali miejsca zerowego (czyli pierwiastka funkcji f(x)). Aby można było zastosować algorytm połowienia (zwany również algorytmem bisekcji), w przedziale 〈a;b〉 muszą być spełnione poniższe warunki:






| f(x) | – | funkcja, której pierwiastek liczymy. Musi być ciągła i określona w przedziale poszukiwań pierwiastka. |
| a,b | – | punkty krańcowe przedziału poszukiwań pierwiastka funkcji f(x); a,b ∈ R |
| x0 | – | pierwiastek funkcji f(x) |
| fa , fb, f0 | – | wartości funkcji odpowiednio w punktach a, b, x0; fa, fb, f0 ∈ R |
| ε0 | – | określa dokładność porównania z zerem; ε0 = 0.0000000001 |
| εx | – | określa dokładność wyznaczania pierwiastka x0; εx = 0.0000000001 |
| K01: | Czytaj a i b | |
| K02: | fa ← f(a) ; fb ← f(b) | |
| K03: | Jeśli fa ·
fb > 0, to pisz "Brak pierwiastka" i zakończ |
|
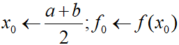
| K04: | Dopóki | a - b | > εx: wykonuj kroki K05...K07 |
|
| K05: |
![]() |
|
| K06: | Jeśli | f0 | < ε0, to idź do kroku K08 |
|
| K07: | Jeśli fa
·
f0 < 0, to b ← x0 inaczej a ← x0; fa ← f0 |
|
| K08: | Pisz x0 i zakończ |

Wykonanie algorytmu rozpoczynamy od odczytu zakresu poszukiwań pierwiastka danej funkcji. W zmiennych fa i fb umieszczamy wartość funkcji na krańcach tego zakresu
Pierwszy test ma na celu sprawdzenie warunku różnych znaków wartości funkcji na krańcach zakresu poszukiwań pierwiastka. Różne znaki gwarantują nam istnienie pierwiastka w danym przedziale poszukiwań. Zatem jeśli funkcja na krańcach nie przybiera różnych znaków, wypisujemy odpowiedni komunikat i kończymy algorytm.
Rozpoczynamy pętlę wyliczania kolejnych przybliżeń pierwiastka funkcji. Pętla wykonuje się do momentu, aż przedział poszukiwań pierwiastka osiągnie długość εx.
Wewnątrz pętli wyznaczamy punkt x0 leżący w środku przedziału 〈a;b〉 oraz obliczamy wartość funkcji w punkcie x0 i umieszczamy ją w zmiennej f0. Jeśli wartość f0 jest dostatecznie bliska zeru (wpada w otoczenie zera o promieniu ε0), przerywamy pętlę, wypisujemy x0 i kończymy algorytm.
W przeciwnym razie za nowy przedział 〈a;b〉 przyjmujemy połówkę wyznaczoną przez x0, w której funkcja zmienia znak. Testujemy iloczyn fa przez f0. Jeśli iloczyn jest ujemny, to różne znaki funkcja przyjmuje w połówce 〈a;b〉. Zatem za nowy koniec b przyjmujemy x0 i kontynuujemy pętlę. W przeciwnym razie zmiana znaku występuje w drugiej połówce przedziału - 〈a;b〉. Za nowy początek a przyjmujemy x0. Dodatkowo za fa przyjmujemy f0 - zwolni nas to od konieczności ponownego wyliczania wartości funkcji w nowym punkcie a. Po tych czynnościach kontynuujemy pętlę wyznaczania kolejnych przybliżeń pierwiastka x0.
Programy wyznaczają miejsce zerowe funkcji:

Pierwiastków należy poszukiwać w przedziałach 〈-1;0〉 i 〈1;2〉.
C++// Program znajduje miejsce
// zerowe funkcji f(x) za
// pomocą algorytmu
// połowienia - bisekcji
// ------------------------
// (C)2006 mgr J.Wałaszek
#include <iostream>
#include <iomanip>
#include <cmath>
#include <cstdlib>
using namespace std;
// dokładność porównania z zerem
const double EPS0 = 0.0000000001;
// dokładność wyznaczenia pierwiastka
const double EPSX = 0.0000000001;
// Funkcja, której miejsce
// zerowe obliczamy
// f(x) = x^3*(x+sin(x^2-1)-1)-1
// <-1,0> i <1,2>
double f(double x)
{
return x * x * x *
(x + sin(x * x - 1) - 1)
- 1;
}
//---------------
// Program główny
//---------------
int main()
{
double a,b,x0,fa,fb,f0;
cout << setprecision(5)
<< fixed
<< "Obliczanie pierwiastka funkcji\n"
<< " metoda bisekcji\n"
<< "f(x) = x^3*(x+sin(x^2-1)-1)-1\n"
<< "------------------------------\n"
<< " (C)2006 mgr Jerzy Walaszek\n\n"
<< "Podaj przedział poszukiwania:\n\n";
cout << "a = "; cin >> a;
cout << "b = "; cin >> b;
cout << "\nWYNIK:\n\n";
fa = f(a); fb = f(b);
if(fa * fb > 0)
cout << "Brak pierwiastka\n";
else
{
while(fabs(a - b) > EPSX)
{
x0 = (a + b) / 2; f0 = f(x0);
if(fabs(f0) < EPS0) break;
if(fa * f0 < 0) b = x0;
else
{
a = x0; fa = f0;
}
}
cout << "x0 = "
<< setw(15) << x0 << endl;
}
cout << endl;
system("pause");
return 0;
}
|
Pascal// Program znajduje miejsce
// zerowe funkcji f(x) za
// pomocą algorytmu
// połowienia - bisekcji
// ------------------------
// (C)2006 mgr J.Wałaszek
program mzf1;
uses math;
const
// dokładność porównania z zerem
EPS0 = 0.0000000001;
// dokładność wyznaczenia pierwiastka
EPSX = 0.0000000001;
// Funkcja, której miejsce
// zerowe obliczamy
// f(x) = x^3*(x+sin(x^2-1)-1)-1
// <-1,0> i <1,2>
// -----------------------------
function f(x : real) : double;
begin
f := x * x * x * (x +
sin(x * x - 1) - 1) - 1;
end;
//---------------
// Program główny
//---------------
var
a,b,x0,fa,fb,f0 : double;
begin
writeln('Obliczanie pierwiastka funkcji');
writeln(' metoda bisekcji');
writeln('f(x) = x^3*(x+sin(x^2-1)-1)-1');
writeln('------------------------------');
writeln(' (C)2006 mgr Jerzy Walaszek');
writeln;
writeln('Podaj przedzial poszukiwania:');
writeln;
write('a = '); readln(a);
write('b = '); readln(b);
writeln;
writeln('WYNIK:');
writeln;
fa := f(a); fb := f(b);
if fa * fb > 0 then
writeln('Brak pierwiastka')
else
begin
while abs(a - b) > EPSX do
begin
x0 := (a + b) / 2; f0 := f(x0);
if abs(f0) < EPS0 then break;
if fa * f0 < 0 then b := x0
else
begin
a := x0; fa := f0;
end;
end;
writeln('x0 = ',x0:15:8);
end;
writeln;
writeln('Nacisnij Enter...');
readln;
end.
|
Basic' Program znajduje miejsce
' zerowe funkcji f(x) za
' pomocą algorytmu
' połowienia - bisekcji
' ------------------------
' (C)2006 mgr J.Wałaszek
Declare Function f(x As Double) As Double
' dokładność porównania z zerem
Const EPS0 As Double = 0.0000000001
' dokładność wyznaczenia pierwiastka
Const EPSX As Double = 0.0000000001
'---------------
' Program główny
'---------------
Dim As double a, b, x0, fa, fb, f0
Print "Obliczanie pierwiastka funkcji"
Print " metoda bisekcji"
Print "f(x) = x^3*(x+sin(x^2-1)-1)-1"
Print "------------------------------"
Print " (C)2006 mgr Jerzy Walaszek"
Print
Print "Podaj przedzial poszukiwania:"
Print
Input "a = ", a
Input "b = ", b
Print
Print "WYNIK:"
Print
fa = f(a) : fb = f(b)
If fa * fb > 0 Then
Print "Brak pierwiastka"
Else
While Abs(a - b) > EPSX
x0 = (a + b) / 2 : f0 = f(x0)
If Abs(f0) < EPS0 Then Exit While
If fa * f0 < 0 Then
b = x0
Else
a = x0 : fa = f0
End If
Wend
Print Using "x0 = ######.########"; x0
End If
Print
Print "Nacisnij Enter..."
Sleep
End
' Funkcja, której miejsce
' zerowe obliczamy
' f(x) = x^3*(x+sin(x^2-1)-1)-1
' <-1,0> i <1,2>
'------------------------------
Function f(x As Double) As Double
f = x*x*x*(x+Sin(x*x-1)-1)- 1
End Function
|
Python
(dodatek)# Program znajduje miejsce
# zerowe funkcji f(x) za
# pomocą algorytmu
# połowienia - bisekcji
# ------------------------
# (C)2026 mgr J.Wałaszek
import math
# Funkcja, której miejsce
# zerowe obliczamy
# f(x) = x^3*(x+sin(x^2-1)-1)-1
# <-1,0> i <1,2>
#------------------------------
def f(x):
return x * x * x * \
(x+math.sin(x*x-1)-1)- 1
# Dokładność porównania z zerem
EPS0 = 0.0000000001
# Dokładność wyznaczenia pierwiastka
EPSX = 0.0000000001
#---------------
# Program główny
#---------------
print("Obliczanie pierwiastka funkcji")
print(" metoda bisekcji")
print("f(x) = x^3*(x+sin(x^2-1)-1)-1")
print("------------------------------")
print(" (C)2026 mgr Jerzy Wałaszek")
print()
print("Podaj przedział poszukiwania:")
print()
a = float(input("a = "))
b = float(input("b = "))
print()
print("WYNIK:")
print()
fa, fb = f(a), f(b)
if fa * fb > 0:
print("Brak pierwiastka")
else:
while abs(a - b) > EPSX:
x0 = (a + b) / 2
f0 = f(x0)
if abs(f0) < EPS0: break
if fa * f0 < 0:
b = x0
else:
a, fa = x0, f0
print("x0 = %15.8f" % x0)
print()
input("Naciśnij Enter...")
|
| Wynik: |
Obliczanie pierwiastka funkcji
metoda bisekcji
f(x) = x^3*(x+sin(x^2-1)-1)-1
------------------------------
(C)2026 mgr Jerzy Wałaszek
Podaj przedział poszukiwania:
a = 1
b = 2
WYNIK:
x0 = 1.18983299
Naciśnij Enter...
|
JavaScript<html>
<head>
</head>
<body>
<div style="overflow-x: auto;"
align="center">
<table
border="0"
cellpadding="4"
style="border-collapse:
collapse">
<tr>
<td nowrap>
<form
name="frmbincode"
style="text-align: center;
background-color:
#E7E7DA;">
<b><big>
Obliczanie<br>
pierwiastka funkcji<br>
metodą Bisekcji
</big></b><br><br>
f(x) = x<sup>3</sup>(x +
sin(x<sup>2</sup>-1)-1)-1<br>
<br>
(C)2026
mgr Jerzy Wałaszek
I LO w Tarnowie
<hr>
Wpisz do pól edycyjnych<br>
krańce przedziału<br>
poszukiwań pierwiastka<br>
<br>
a = <input
type="text"
name="inp_a"
size="16"
value="1"
style="text-align:
right">
<br>
b = <input
type="text"
name="inp_b"
size="16"
value="2"
style="text-align:
right">
<hr>
<input
type="button"
value="Szukaj"
name="B1"
onclick="main()">
<hr>
<b>Wynik:</b>
<div id="out">.</div>
</form>
</td>
</tr>
</table>
</div>
<script language=javascript>
// Program znajduje
// miejsce zerowe
// funkcji f(x)
// za pomocą algorytmu
// połowienia - bisekcji
//----------------------
// (C)2006 mgr J.Wałaszek
// I LO w Tarnowie
// dokładność porównania
// z zerem
var EPS0 = 0.0000000001
// dokładność wyznaczenia
// pierwiastka
var EPSX = 0.0000000001
// Funkcja, której miejsce
// zerowe obliczamy.
// f(x) = x^3*(x+sin(x^2-1)-1)-1
// Pierwiastki w <-1,0> i <1,2>
function f(x)
{
return x * x * x * (x +
Math.sin(x * x - 1) - 1) - 1;
}
//---------------
// Program główny
//---------------
function main()
{
var a,b,x0,fa,fb,f0,t
a = parseFloat(document
.frmbincode.inp_a.value)
b = parseFloat(document
.frmbincode.inp_b.value)
if(isNaN(a) || isNaN(b))
t = "<font color=red><b>" +
"Złe krańce " +
"przedziału " +
"poszukiwań " +
"pierwiastka!" +
"</b></font>"
else
{
t = "x<sub>0</sub> = "
fa = f(a); fb = f(b)
if(fa * fb > 0)
t = "<font color=red><b>" +
"Brak pierwiastka" +
"</b></font>"
else
{
while(Math.abs(a-b)>EPSX)
{
x0 = (a + b) / 2
f0 = f(x0)
if(Math.abs(f0) < EPS0)
break
if(fa * f0 < 0)
b = x0
else
{
a = x0
fa = f0
}
}
t += x0
}
}
t = t
document.getElementById("out")
.innerHTML = t
}
</script>
</body>
</html>
|
Tutaj możesz przetestować działanie prezentowanego skryptu. Przykładowa funkcja posiada pierwiastki w przedziałach 〈-1;0〉 oraz 〈1;2〉.
![]() |
Zespół Przedmiotowy Chemii-Fizyki-Informatyki w I Liceum Ogólnokształcącym im. Kazimierza Brodzińskiego w Tarnowie ul. Piłsudskiego 4 ©2026 mgr Jerzy Wałaszek |
Materiały tylko do użytku dydaktycznego. Ich kopiowanie i powielanie jest dozwolone pod warunkiem podania źródła oraz niepobierania za to pieniędzy.
Pytania proszę przesyłać na adres email:
Serwis wykorzystuje pliki cookies. Jeśli nie chcesz ich otrzymywać, zablokuj je w swojej przeglądarce.
Informacje dodatkowe.