|
Serwis Edukacyjny Nauczycieli I-LO w Tarnowie
Materiały dla uczniów liceum |
Wyjście Spis treści Wstecz Dalej
Autor artykułu: mgr Jerzy Wałaszek |
©2026 mgr Jerzy Wałaszek
|
W naszym serwisie jest nowszy artykuł o obliczaniu pierwiastków funkcji: "Metody numeryczne".
| SPIS TREŚCI |
| Podrozdziały |
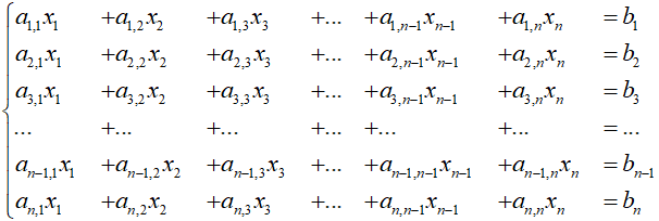
Mamy dany układ n równań liniowych z n niewiadomymi. Zapiszmy go następująco:

Następnie utwórzmy macierz A współczynników ai,j tego układu równań oraz wektor kolumnowy B wyrazów bi:

Macierz A jest macierzą kwadratową o wymiarze
Aby znaleźć wartości kolejnych niewiadomych, postępujemy następująco:
W macierzy A współczynników dla każdej
niewiadomej

Metoda ta nosi nazwę wzorów Cramera (ang. Cramer's Rule).
Przykład:
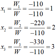
Rozwiążemy przy pomocy podanych powyżej wzorów Cramera układ 3 równań liniowych z trzema niewiadomymi x1, x2 i x3:

Najpierw tworzymy macierz A współczynników oraz wektor kolumnowy B:

Wykorzystując regułę Sarrusa obliczamy wyznacznik główny W:

Teraz dla niewiadomej x1 w macierzy A zastępujemy kolumnę nr 1 wektorem B i obliczamy jej wyznacznik W1:

Podobnie postępujemy dla pozostałych niewiadomych:


Podsumujmy otrzymane wyniki:

Zgodnie ze wzorami Cramera mamy:

Technicznie macierz A
współczynników oraz wektor kolumnowy B będziemy
przechowywać w jednej tablicy o n wierszach
| AB = | 1 | 2 | 3 | ... | n-1 | n | n+1 | ||
| a1,1 | a1,2 | a1,3 | ... | a1,n-1 | a1,n | b1 | |||
| a2,1 | a2,2 | a2,3 | ... | a2,n-1 | a2,n | b2 | |||
| a3,1 | a3,2 | a3,3 | ... | a3,n-1 | a3,n | b3 | |||
| ... | ... | ... | ... | ... | ... | ... | |||
| an-1,1 | an-1,2 | an-1,3 | ... | an-1,n-1 | an-1,n | bn-1 | |||
| an,1 | an,2 | an,3 | ... | an,n-1 | an,n | bn |
| n | – | ilość niewiadomych oraz układów równań. n ∈ N, n < 9 |
| AB[ ] | – | tablica n×(n+1)
elementowa zawierająca współczynniki ai,j oraz wyrazy wolne bi, ai,j,bi ∈ R; i,j ∈ N; i,j = 1,2,...,n |
| X[ ] | – | tablica n elementowa zawierająca wartości kolejnych niewiadomych xi. xi ∈ R , i ∈ N , i = 1,2,...,n, lub informacja, iż dany układ równań nie posiada jednoznacznego rozwiązania. |
| det(stopień,wiersz,wektorkolumn[],
macierz[]) funkcja wyliczająca odpowiedni wyznacznik |
| W | – | wyznacznikiem główny układu równań. |
| WK[ ] | – | wektor kolumn zawierający numery kolumn tablicy AB[ ]. Wykorzystywany jest do podmiany kolumny z wyrazami wolnymi bi w miejsce kolumny współczynników dla odpowiedniej zmiennej. |
| i | – | zmienna sterująca pętli, i ∈ N |
| ε | – | określa dokładność porównania z zerem. ε = 0.0000000001 |
| K01: | Dla i =
1, 2, ..., n: wykonuj WK[i] ← i |
|
| K02: | W ← det(n, 1, WK[ ]) | |
| K03: | Jeśli | W | < ε ,to pisz "Brak rozwiązania" i zakończ |
|
| K04: | Dla i =
1, 2, ..., n: wykonuj kroki K05...K07 |
|
| K05: | WK[i] ← n + 1 | |
| K06: | X[i] ← det(n,1,WK[ ], AB[ ]) | |
| K07: | WK[i] ← i | |
| K08: | Zakończ |

Algorytm rozpoczynamy od ustawienia wektora kolumn
Następnie obliczamy wyznacznik macierzy współczynników aij. Wartość wyznacznika zapamiętujemy w zmiennej W.
Jeśli wyznacznik główny W wpada w otoczenie zera o promieniu ε, to układ równań nie posiada jednoznacznego rozwiązania. Wypisujemy odpowiednią informację i kończymy algorytm.
W przeciwnym razie rozwiązanie istnieje. W
Po zakończeniu pętli nr 2 w tablicy
Prezentowane poniżej przykładowe programy odczytują dane z pliku in.txt i zapisują wyniki do pliku out.txt. Przyjęliśmy to rozwiązanie z uwagi na dużą liczbę danych, które muszą być dostarczone do programu - klawiatura nie byłaby zbyt wygodna. Pliki znajdują się w bieżącym katalogu. Plik in.txt powinien posiadać następującą strukturę:
W pierwszym wierszu liczba od 1 do 8 (ważne, gdyż z uwagi na czasochłonność obliczeń ograniczyłem maksymalny rozmiar macierzy do przechowania maksymalnie 8 równań) określająca ilość równań, czyli n.
W następnych n wierszach powinny być
umieszczone współczynniki. Jeden wiersz określa współczynniki jednego równania.
Kolejne współczynniki powinny być od siebie oddzielone przynajmniej jedną
spacją. Pierwsze n
współczynników odnosi się do współczynników przy kolejnych niewiadomych. Ostatni
5 2 -2 2 -7 6 -4 7 -3 -2 7 2 11 2 2 -1 1 4 9 9 8 -2 2 -2 21 4 8 -3 3 -1 16 |
Plik określa układ 5 równań liniowych:
| 2x1 | - | 2x2 | + | 2x3 | - | 7x4 | + | 6x5 | = | -4 |
| 7x1 | - | 3x2 | - | 2x3 | + | 7x4 | + | 2x5 | = | 11 |
| 2x1 | + | 2x2 | - | x3 | + | x4 | + | 4x5 | = | 9 |
| 9x1 | + | 8x2 | - | 2x3 | + | 2x4 | - | 2x5 | = | 21 |
| 4x1 | + | 8x2 | - | 3x3 | + | 3x4 | - | x5 | = | 16 |
C++// Program rozwiązuje układ
// równań liniowych o n
// niewiadomych za pomocą
// metody wyznacznikowej
// Cramera. n <= 8
//-------------------------
// (C)2006 mgr J.Wałaszek
#include <iostream>
#include <iomanip>
#include <fstream>
#include <cmath>
#include <cstdlib>
using namespace std;
// Rekurencyjna funkcja
// obliczania wyznacznika
//-----------------------
long double det(int stopien,
int wiersz,
int wk[],
double A[][9])
{
int i,j,k,m;
// wektor kolumn
// dla podmacierzy
int kolumny[8];
long double suma;
if(stopien == 1)
return A[wiersz][wk[0]];
else
{
suma = 0;
m = 1;
for(i = 0; i < stopien; i++)
{
k = 0;
for(j = 0; j < stopien - 1; j++)
{
if(k == i) k++;
kolumny[j] = wk[k++];
}
suma += m * A[wiersz][wk[i]] *
det(stopien - 1,
wiersz + 1,
kolumny,
A);
m = -m;
}
return suma;
}
}
//---------------
// Program główny
//---------------
int main()
{
// dokładność porównania z zerem
const double EPS = 0.0000000001;
ifstream fin; // Plik wejściowy
ofstream fout; // Plik wyjściowy
int i,j,n,WK[8];
double AB[8][9],X[8];
long double W;
cout << setprecision(2)
<< fixed;
cout << " Uklad rownan liniowych\n"
" ----------------------\n"
"(C)2006 mgr Jerzy Walaszek\n\n";
// Dane dla programu odczytujemy
// z pliku tekstowego o nazwie in.txt,
// który musi się znajdować
// w tym samym katalogu co program
// Pierwszy wiersz pliku powinien
// zawierać liczbę n. Następne
// n kolejnych wierszy powinno zawierać
// współczynniki ai dla tego wiersza,
// a na końcu współczynnik bi. Kolejne
// współczynniki oddzielone są
// od siebie przynajmniej jedną spacją.
fin.open("in.txt");
fin >> n;
if(n <= 8)
{
for(i = 0; i < n; i++)
for(j = 0; j <= n; j++)
fin >> AB[i][j];
fin.close();
// Wyświetlamy wczytany układ
// równań w oknie konsoli
for(i = 0; i < n; i++)
for(j = 0; j <= n; j++)
{
if(!j)
cout << setw(5) << AB[i][j];
else if(j == n)
cout << "= "
<< setw(5) << AB[i][j]
<< endl;
else
{
if(AB[i][j] > 0)
cout << "+"
<< setw(5) << AB[i][j];
else
cout << "-"
<< setw(5)
<< fabs(AB[i][j]);
}
if(j < n)
cout << "*x" << j + 1 << " ";
}
cout << "\n\nWyniki:\n\n";
// Otwieramy plik wyników out.txt
fout.open("out.txt");
// Obliczamy wyznacznik główny
for(i = 0; i < n; i++)
WK[i] = i;
W = det(n,0,WK,AB);
if(fabs(W) < EPS)
cout << "Brak rozwiazania\n";
else
{
// Obliczamy kolejne
// wyznaczniki Wi
for(i = 0; i < n; i++)
{
// podmieniamy kolumnę
// współczynnikami bi
WK[i] = n;
X[i] = det(n,0,WK,AB) / W;
// przywracamy kolumnę
// współczynników ai
WK[i] = i;
}
// Wypisujemy wyniki
// do okna konsoli oraz
// do pliku out.txt
for(i = 0; i < n; i++)
{
cout << "x"
<< i + 1
<< " = "
<< setw(10)
<< X[i]
<< endl;
fout << X[i] << endl;
}
fout.close();
}
}
else
{
fin.close();
cout << "Zbyt wiele rownan!\n";
}
cout << endl << endl;
system("pause");
return 0;
}
|
Pascal// Program rozwiązuje układ
// równań liniowych o n
// niewiadomych za pomocą
// metody wyznacznikowej
// Cramera. n <= 8
//-------------------------
// (C)2006 mgr J.Wałaszek
program mzfl4;
{$APPTYPE CONSOLE}
const
// dokładność porównania z zerem
EPS = 0.0000000001;
type
kwektor = array[1..8] of integer;
macierz = array[1..8,1..9] of double;
// Rekurencyjna funkcja
// obliczania wyznacznika
//-----------------------
function det(stopien, wiersz : integer;
var wk : kwektor;
var A : macierz) : extended;
var
i,j,k,m : integer;
// wektor kolumn dla podmacierzy
kolumny : kwektor;
begin
if stopien = 1 then
Result := A[wiersz,wk[1]]
else
begin
Result := 0; m := 1;
for i := 1 to stopien do
begin
k := 1;
for j := 1 to stopien - 1 do
begin
if k = i then inc(k);
kolumny[j] := wk[k];
inc(k);
end;
Result := Result + m *
A[wiersz,wk[i]] *
det(stopien - 1,
wiersz +1 ,
kolumny,
A);
m := -m;
end;
end;
end;
//-----------------------------------------------------
// Program główny
//-----------------------------------------------------
var
f : Text;
i,j,n : integer;
AB : macierz;
W : extended;
X : array[1..8] of double;
WK : kwektor;
begin
writeln(' Uklad rownan liniowych');
writeln(' ----------------------');
writeln('(C)2006 mgr Jerzy Walaszek');
writeln;
// Dane dla programu odczytujemy
// z pliku tekstowego o nazwie in.txt,
// który musi się znajdować
// w tym samym katalogu co program
// Pierwszy wiersz pliku powinien
// zawierać liczbę n. Następne
// n kolejnych wierszy powinno zawierać
// współczynniki ai dla tego wiersza,
// a na końcu współczynnik bi. Kolejne
// współczynniki oddzielone są
// od siebie przynajmniej jedną spacją.
assignfile(f,'in.txt');
reset(f);
readln(f,n);
if n <= 8 then
begin
for i := 1 to n do
for j := 1 to n + 1 do
read(f,AB[i,j]);
closefile(f);
// Wyświetlamy wczytany układ
// równań w oknie konsoli
for i := 1 to n do
for j := 1 to n + 1 do
begin
if j = 1 then
write(AB[i,j]:5:2)
else if j = n + 1 then
writeln('= ',AB[i,j]:5:2)
else
begin
if AB[i,j] > 0 then
write('+',AB[i,j]:5:2)
else
write('-',abs(AB[i,j]):5:2);
end;
if j <= n then write('*x',j,' ');
end;
writeln;
writeln('Wyniki:');
writeln;
// Otwieramy plik wyników out.txt
assignfile(f,'out.txt');
rewrite(f);
// Obliczamy wyznacznik główny
for i := 1 to n do
WK[i] := i;
W := det(n,1,WK,AB);
if abs(W) < EPS then
writeln('Brak rozwiazania')
else
begin
// Obliczamy kolejne
// wyznaczniki Wi
for i := 1 to n do
begin
// Podmieniamy kolumnę
// współczynnikami bi
WK[i] := n + 1;
X[i] := det(n,1,WK,AB) / W;
// przywracamy kolumnę
// współczynników ai
WK[i] := i
end;
// Wypisujemy wyniki do okna
// konsoli oraz do pliku out.txt
for i := 1 to n do
begin
writeln('x',i,' = ',X[i]:10:5);
writeln(f,X[i]);
end;
end;
end
else writeln('Za wiele rownan!');
closefile(f);
writeln;
writeln('Nacisnij Enter...');
readln;
end.
|
Basic' Program rozwiązuje układ równań
' liniowych o n niewiadomych za
' pomocą metody wyznacznikowej
' Cramera. n <= 8
'--------------------------------
' (C)2006 mgr J.Wałaszek I LO
Declare Function det(stopien As Integer, _
wiersz As Integer, _
wk() As Integer, _
A() As Double) _
As Double
' dokładność porównania z zerem
Const EPS As Double = 0.0000000001
'---------------
' Program główny
'---------------
Dim As Integer i,j,n,WK(7)
Dim As Double AB(7,8),X(7),W
Print " Uklad rownan liniowych"
Print " ----------------------"
Print "(C)2006 mgr Jerzy Walaszek"
Print
' Dane dla programu odczytujemy
' z pliku tekstowego o nazwie in.txt,
' który musi się znajdować
' w tym samym katalogu co program
' Pierwszy wiersz pliku powinien
' zawierać liczbę n. Następne
' n kolejnych wierszy powinno zawierać
' współczynniki ai dla tego wiersza,
' a na końcu współczynnik bi. Kolejne
' współczynniki oddzielone są
' od siebie przynajmniej jedną spacją.
Open "in.txt" For Input As #1
Input #1,n
If n <= 8 Then
For i = 0 To n - 1
For j = 0 To n
Input #1, AB(i,j)
Next
Next
' Wyświetlamy wczytany układ
' równań w oknie konsoli
For i = 0 To n - 1
For j = 0 To n
If j = 0 Then
Print Using "##.##";AB(i,j);
Elseif j = n Then
Print Using " = ##.##";AB(i,j)
Else
Print Using " +##.##";AB(i,j);
End If
If j < n Then Print Using "*X#";j+1;
Next
Next
Print
Print "Wyniki:"
Print
' Otwieramy plik wyników out.txt
Open "out.txt" For Output As #2
' Obliczamy wyznacznik główny
For i = 0 To n-1
WK(i) = i
Next
W = det(n,0,WK(),AB())
If Abs(W) < EPS Then
Print #2,"Brak rozwiazania"
Print "Brak rozwiazania"
Else
' Obliczamy kolejne wyznaczniki Wi
For i = 0 To n - 1
' Podmieniamy kolumnę
' współczynnikami bi
WK(i) = n
X(i) = det(n,0,WK(),AB()) / W
' Przywracamy kolumnę
' współczynników ai
WK(i) = i
Next
' Wypisujemy wyniki do okna
' konsoli oraz do pliku out.txt
For i = 0 To n - 1
Print #2,Using _
"x# = ####.#####";i;X(i)
Print Using _
"x# = ####.#####";i;X(i)
Next
Close #2
End If
Else
Print "Za wiele rownan!"
End If
Close #1
Print
Print "Koniec. Nacisnij klawisz Enter..."
Sleep
End
' Rekurencyjna funkcja
' obliczania wyznacznika
'-----------------------
Function det(stopien As Integer, _
wiersz As Integer, _
wk() As Integer, _
A() As Double) _
As Double
Dim As Integer i, j, k, m
' wektor kolumn dla podmacierzy
Dim kolumny(7) As Integer
Dim suma As Double
If stopien = 1 Then
Return A(wiersz, wk(0))
Else
suma = 0 : m = 1
For i = 0 To stopien - 1
k = 0
For j = 0 To stopien - 2
If k = i Then k += 1
kolumny(j) = wk(k)
k += 1
Next
suma += m * _
A(wiersz, wk(i)) * _
det(stopien - 1, _
wiersz + 1, _
kolumny(), A())
m = -m
Next
Return suma
End If
End Function
|
Python
(dodatek)# Program rozwiązuje układ równań
# liniowych o n niewiadomych za
# pomocą metody wyznacznikowej
# Cramera. n <= 8
#--------------------------------
# (C)2026 mgr J.Wałaszek I LO
# Stała dokładności
EPS = 0.0000000001
# Rekurencyjna funkcja obliczania
# wyznacznika
def det(stopien, wiersz, wk, a):
if stopien == 1:
return a[wiersz][wk[0]]
else:
suma,m = 0.0, 1
for i in range(stopien):
# Tworzymy wektor kolumn
# dla podmacierzy
kolumny = []
for j in range(stopien):
if j != i:
kolumny.append(wk[j])
suma += m * a[wiersz][wk[i]] * \
det(stopien - 1,
wiersz + 1,
kolumny, a)
m = -m
return suma
#---------------
# Program główny
#---------------
print(" Układ równań liniowych")
print(" Metoda Cramera")
print(" ----------------------")
print("(C)2026 mgr Jerzy Wałaszek")
print()
# Inicjalizacja struktur
ab = [[0.0 for _ in range(9)]
for _ in range(8)]
x = [0.0 for _ in range(8)]
wk = [0 for _ in range(8)]
# Dane dla programu odczytujemy
# z pliku tekstowego o nazwie in.txt,
# który musi się znajdować
# w tym samym katalogu co program
# Pierwszy wiersz pliku powinien
# zawierać liczbę n. Następne
# n kolejnych wierszy powinno zawierać
# współczynniki ai dla tego wiersza,
# a na końcu współczynnik bi. Kolejne
# współczynniki oddzielone są
# od siebie przynajmniej jedną spacją.
with open("in.txt", "r",
encoding="utf-8") as f1:
dane = f1.read().split() # tworzymy listę
it = 0
n = int(dane[it])
if n <= 8:
# Wczytywanie danych
for i in range(n):
for j in range(n + 1):
it += 1
ab[i][j] = float(dane[it])
# Wyświetlanie układu
for i in range(n):
linia = ""
for j in range(n + 1):
if j == 0:
linia += f"{ab[i][j]:5.2f}"
elif j == n:
linia += f" = {ab[i][j]:5.2f}"
else:
if ab[i][j] < 0:
linia += f" -{-ab[i][j]:5.2f}"
else:
linia += f" +{ab[i][j]:5.2f}"
if j < n:
linia += f"*X{j+1}"
print(linia)
print("\nWyniki:\n")
# Obliczanie wyznacznika głównego
for i in range(n): wk[i] = i
w = det(n, 0, wk[:n], ab)
with open("out.txt", "w",
encoding="utf-8") as f2:
if abs(w) < EPS:
komunikat = "Brak rozwiązania"
print(komunikat)
f2.write(komunikat + "\n")
else:
# Obliczanie kolejnych
# wyznaczników metodą Cramera
for i in range(n):
wk[i] = n
x[i] = det(n, 0, wk[:n], ab) / w
wk[i] = i
# Wypisywanie wyników
for i in range(n):
wynik = f"X{i+1} = {x[i]:10.5f}"
print(wynik)
f2.write(wynik + "\n")
else:
print("Za wiele równań!")
input("\nNaciśnij Enter...")
|
| Wynik: |
Układ równań liniowych
Metoda Cramera
----------------------
(C)2026 mgr Jerzy Wałaszek
2.00*X1 - 2.00*X2 + 2.00*X3 - 7.00*X4 + 6.00*X5 = -4.00
7.00*X1 - 3.00*X2 - 2.00*X3 + 7.00*X4 + 2.00*X5 = 11.00
2.00*X1 + 2.00*X2 - 1.00*X3 + 1.00*X4 + 4.00*X5 = 9.00
9.00*X1 + 8.00*X2 - 2.00*X3 + 2.00*X4 - 2.00*X5 = 21.00
4.00*X1 + 8.00*X2 - 3.00*X3 + 3.00*X4 - 1.00*X5 = 16.00
Wyniki:
X1 = 1.00000
X2 = 2.00000
X3 = 3.00000
X4 = 2.00000
X5 = 1.00000
Naciśnij Enter...
|
Program w JavaScript pobiera dane z okna tekstowego. Spowodowane jest to tym, iż w JavaScript dostęp do plików komputera użytkownika jest ograniczony - przecież nie chciałbyś, aby jakaś strona WWW buszowała po dysku twardym twojego komputera - byłby to raj dla hackerów.
Dane dla układu równań możesz wkleić poprzez schowek do okna tekstowego formularza.
JavaScript<html>
<head>
</head>
<body>
<div style="overflow-x: auto;"
align="center">
<table
border="0"
cellpadding="4"
style="border-collapse:
collapse">
<tr>
<td nowrap>
<form
name="frmbincode"
style="text-align: center;
background-color:
#E7E7DA">
<big><b>
Demonstracja rozwiązywania<br>
układu równań<br>
metodą Cramera</b>
</big><br>
<br>
(C)2026
mgr Jerzy Wałaszek
I LO w Tarnowie
<hr>
Tutaj wprowadź wiersze<br>
ze współczynnikami<br>
układu równań:<br>
<br>
<textarea
rows="9"
name="input"
cols="50">
5
2 -2 2 -7 6 -4
7 -3 -2 7 2 11
2 2 -1 1 4 9
9 8 -2 2 -2 21
4 8 -3 3 -1 16
</textarea>
<hr>
<input
type="button"
value="Licz"
name="B1"
onclick="main()">
<hr>
<b>Wyniki:</b>
<div
id="out"
align="center">.</div>
</form>
</td>
</tr>
</table>
</div>
<script language=javascript>
// Program rozwiązuje układ
// równań liniowych o n niewiadomych
// za pomocą metody wyznacznikowej
// Cramera. n <= 8
//----------------------------------
// (C)2006 mgr J.Wałaszek
// I LO w Tarnowie
// Rekurencyjna funkcja
// obliczania wyznacznika
//-----------------------
function det(stopien, wiersz, wk, A)
{
var i,j,k,m
// wektor kolumn dla podmacierzy
var kolumny = new Array(8)
var suma
if(stopien == 1)
return A[wiersz][wk[0]]
else
{
suma = 0
m = 1
for(i = 0; i < stopien; i++)
{
k = 0
for(j = 0; j < stopien - 1; j++)
{
if(k == i) k++
kolumny[j] = wk[k++]
}
suma += m * A[wiersz][wk[i]] *
det(stopien - 1,
wiersz + 1,
kolumny,
A)
m = -m
}
return suma
}
}
//---------------
// Program główny
//---------------
function main()
{
// dokładność porównania z zerem
var EPS = 0.0000000001;
var MAXEQ = 8
var i,j,k,n,W,t,s,z;
var WK = new Array(8)
var AB = new Array(8)
var X = new Array(8)
// Dane dla programu odczytujemy
// z pola tekstowego. Pierwszy wiersz
// pola powinien zawierać liczbę n.
// Następne n kolejnych wierszy
// powinno zawierać współczynniki ai
// dla tego wiersza, a na końcu
// współczynnik bi. Kolejne
// współczynniki oddzielone są od
// siebie przynajmniej jedną spacją.
t = "<font color=red>" +
"<b>Złe dane</b></font>"
s = document.frmbincode.input.value
if(s.length > 0)
{
// Odczytujemy współczynniki
// z pola tekstowego formularza
while((j = s.indexOf('\n')) != -1)
s = s.substring(0,j) + " " +
s.substring(j + 1,s.length)
while((j = s.indexOf('\r')) != -1)
s = s.substring(0,j) + " " +
s.substring(j + 1,s.length)
while((j = s.indexOf('\t')) != -1)
s = s.substring(0,j) + " " +
s.substring(j + 1,s.length)
while(s.length > 0 &&
(s.charAt(0) == " "))
s = s.substring(1,s.length)
while(s.length > 0 &&
(s.charAt(s.length-1) == " "))
s = s.substring(0,s.length - 1)
while(s.length > 0 &&
((j = s.indexOf(" ")) != -1))
s = s.substring(0,j) +
s.substring(j+1,s.length)
s = s.split(' ')
if(s.length > 0)
{
n = parseInt(s[0])
if((!isNaN(n)) &&
(s.length >= n * (n + 1) + 1) &&
(n <= MAXEQ))
{
k = 1; z = true
for(i = 0; i < n; i++)
{
AB[i] = new Array(n + 1)
for(j = 0; j <= n; j++)
z = z && !isNaN(AB[i][j] =
parseFloat(s[k++]))
}
if(z)
{
// Wyświetlamy układ równań
t = "<table border='0' " +
"cellpadding='4' " +
"style='border-collapse: " +
"collapse'>" +
"<tr><td nowrap>"
for(i = 0; i < n; i++)
{
for(j = 0; j <= n; j++)
{
if(!j)
t += AB[i][j]
else if (j == n)
t += " = " + AB[i][j]
else
t += (AB[i][j] < 0) ?
" - " + Math.abs(AB[i][j]):
" + " + AB[i][j]
if(j < n)
t += "x<sub>" +
(j + 1) + "</sub>"
}
t += "<br>"
}
t += "</td></tr><tr><td nowrap>"
// Obliczamy wyznacznik główny
for(i = 0; i < n; i++) WK[i] = i
W = det(n, 0, WK, AB)
if(Math.abs(W) < EPS)
t += "<font color=red><b>" +
"Brak rozwiazania" +
"</b></font>"
else
{
// Obliczamy kolejne
// wyznaczniki Wi
for(i = 0; i < n; i++)
{
// podmieniamy kolumnę
// współczynnikami bi
WK[i] = n;
X[i] = det(n, 0, WK, AB) / W
// przywracamy kolumnę
// współczynników ai
WK[i] = i;
}
// Wypisujemy wyniki
for(i = 0; i < n; i++)
t += "x<sub>" +
(i + 1) + "</sub> = " +
X[i] + "<br>"
t += "</td></tr></table>"
}
}
}
}
}
document.getElementById("out")
.innerHTML = t
}
</script>
</body>
</html>
|
![]() |
Zespół Przedmiotowy Chemii-Fizyki-Informatyki w I Liceum Ogólnokształcącym im. Kazimierza Brodzińskiego w Tarnowie ul. Piłsudskiego 4 ©2026 mgr Jerzy Wałaszek |
Materiały tylko do użytku dydaktycznego. Ich kopiowanie i powielanie jest dozwolone pod warunkiem podania źródła oraz niepobierania za to pieniędzy.
Pytania proszę przesyłać na adres email:
Serwis wykorzystuje pliki cookies. Jeśli nie chcesz ich otrzymywać, zablokuj je w swojej przeglądarce.
Informacje dodatkowe.