|
Serwis Edukacyjny Nauczycieli I-LO w Tarnowie
Materiały dla uczniów liceum |
Wyjście Spis treści Wstecz Dalej
Autor artykułu: mgr Jerzy Wałaszek |
©2026 mgr Jerzy Wałaszek
|
W naszym serwisie jest nowszy artykuł o obliczaniu pierwiastków funkcji: "Metody numeryczne".
| SPIS TREŚCI |
| Podrozdziały |
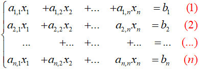
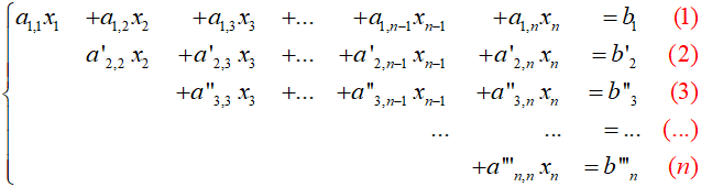
Podstawową wadą metody Cramera jest konieczność liczenia wyznaczników, co jest dosyć czasochłonne. Dużo lepszym rozwiązaniem jest metoda eliminacji Gaussa. Na początku postępujemy podobnie. Mamy dany układ n równań liniowych z n niewiadomymi:

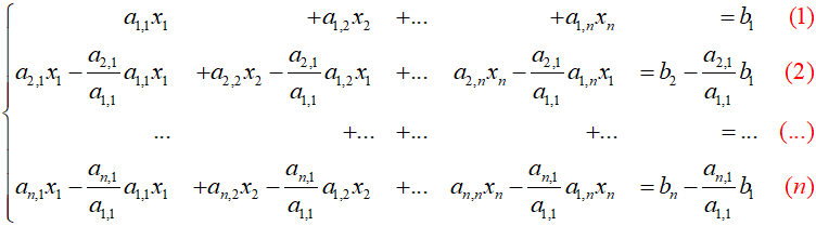
Pierwszy etap algorytmu zwany jest etapem eliminacji
zmiennych. Od i-tego


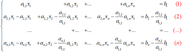
W efekcie otrzymujemy układ równań, w którym niewiadoma x1
dla równań

Teraz od i-tego

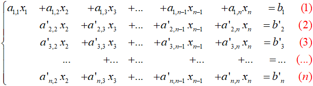
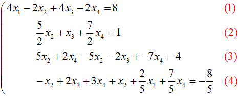
Postępując dalej w ten sam sposób otrzymamy następujący układ równań:

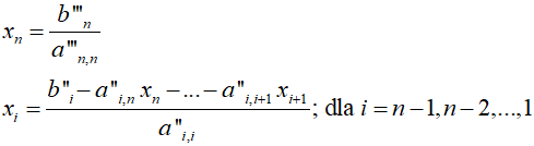
Następuje etap zwany postępowaniem odwrotnym. Kolejne niewiadome wyliczamy ze wzoru rekurencyjnego:

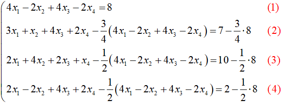
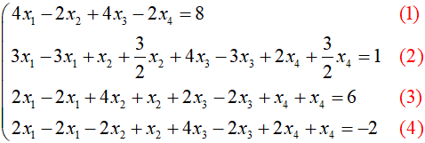
Przykład:
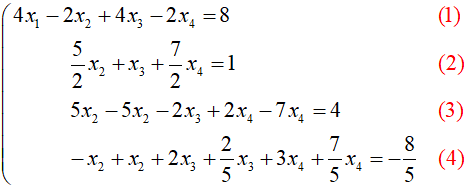
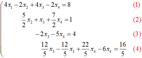
Rozwiążmy podaną wyżej metodą eliminacji Gaussa następujący układ równań:

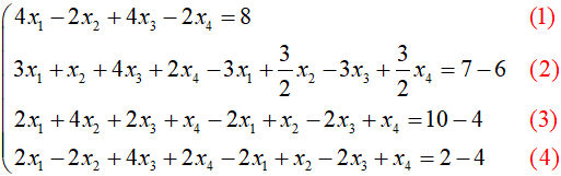
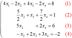
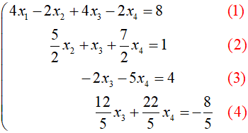
Rozpoczynamy etap eliminacji zmiennych:




Zwróć uwagę, iż z równań




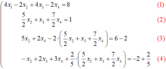
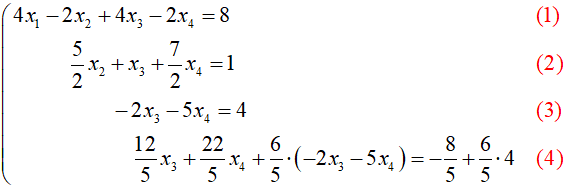
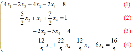
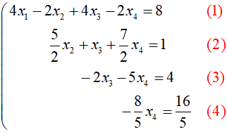
Ostatnia eliminacja:




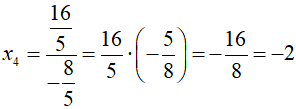
Rozpoczynamy postępowanie odwrotne. Idąc od końca wyznaczamy kolejnie niewiadome:

Mając wartość zmiennej x4
możemy obliczyć wartość x3
z równania

Obliczamy x2
z równania

Ostatnią niewiadomą x1
otrzymamy z równania

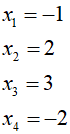
Podsumujmy:

|
Uwaga: |
Algorytm rozwiązywania układu równań liniowych metodą eliminacji Gaussa rozbijemy na dwie części:
| n | – | ilość niewiadomych oraz układów równań. n ∈ N, n < 9 |
| AB[ ] | – | tablica n×(n+1)
elementowa zawierająca współczynniki ai,j
oraz wyrazy wolne bi; ai,j,bi ∈ R; i,j ∈ N, i,j = 1,2,...,n. Macierz AB[ ] zdefiniowana została w poprzednim rozdziale. |
| true: AB[ ] | – | tablicę współczynników zredukowano do macierzy trójkątnej |
| false | – | operacja eliminacji nie powiodła się |
| i,j,k | – zmienne sterujące pętli iteracyjnych; i,j,k ∈ N |
| m | – mnożnik, przez który będą mnożone współczynniki odejmowanych równań. m ∈ R |
| ε | – określa dokładność porównania z zerem; ε = 0.0000000001 |
| Funkcja
EliminujX(n,
AB[ ]) |
|||
| K01: | Dla i =
1,2,...,n - 1: wykonuj kroki K02...K05 |
||
| K02: | Jeśli | AB[i,i]
| < ε, to zwróć false i zakończ |
||
| K03: | Dla j
= i+1, i+2,
..., n: wykonuj kroki K04... K05 |
||
| K04: |
![]() |
||
| K05: | Dla
k = i+1, i+2,
..., n+1: wykonuj: AB[j,k] ← AB[j,k] + m × AB[i,k] |
||
| K06: | Zwróć true i zakończ |
||

Algorytm eliminacji niewiadomych zrealizowany został w formie funkcji zwracającej wartość logiczną true, gdy eliminacja została wykonana poprawnie lub false w przypadku błędu.
Pętla nr 1 przebiega przez kolejne wiersze macierzy
W przeciwnym razie rozpoczynamy
Odejmowanie wyrazów wiersza
Działanie odejmowania jest zoptymalizowane - modyfikowane są tylko te wyrazy
macierzy
Gdy wszystkie pętle wykonają się do końca, algorytm zakończy się z wynikiem pozytywnym.
Operacja eliminacji niewiadomych zawiera trzy zagnieżdżone w sobie pętle,
zatem ma klasę złożoności obliczeniowej równą
| n | – | ilość niewiadomych oraz układów równań; n ∈ N, n < 9 |
| X[ ] | – | tablica n-elementowa liczb rzeczywistych, w której algorytm umieści obliczone niewiadome. |
| AB[ ] | – | tablica n×(n+1) elementowa zawierająca współczynniki ai,j oraz wyrazy wolne bi; ai,j,bi ∈ R; i,j ∈ N, i,j = 1,2,...,n |
| true: X[ ] | – | tablica niewiadomych zawiera rozwiązania |
| false | – | operacja wyznaczania niewiadomych nie powiodła się |
| i,j | – zmienne sterujące pętli iteracyjnych; i,j ∈ N |
| s | – używane do zliczania sumy iloczynów niewiadomych przez ich współczynniki; s ∈ R |
| ε | – określa dokładność porównania z zerem; ε = 0.0000000001 |
| Funkcja
ObliczX(n,
X[ ],
AB[ ]) |
|||
| K01: | Dla i =
n, n-1,...,1: wykonuj kroki K02...K05 |
||
| K02: | jeśli | AB[i,i]
| < ε , to zwróć false i zakończ |
||
| K03: | s ← AB[i,n+1] | ||
| K04: | Dla j
=
n, n-1, ..., i
+ 1: wykonuj: s ← s - AB[i,j] × X[j] |
||
| K05: |
![]() |
||
| K06: | Zwróć true i zakończ | ||

Algorytm wyznaczania niewiadomych układu równań bazuje na wcześniejszym algorytmie eliminacji, który przygotowuje w odpowiedni sposób macierz współczynników.
Wyznaczanie niewiadomych rozpoczynamy od ostatniej niewiadomej xn. Zadanie to realizuje
Wyliczanie
Niewiadomą

gdzie niewiadome

Zadanie to realizuje
Gdy
Ponieważ w algorytmie występują dwie zagnieżdżone pętle, to jego klasa
złożoności obliczeniowej wynosi
Pełny algorytm wykorzystuje podane wyżej dwa algorytmy częściowe w następujący sposób:
| K01: | Czytaj n oraz współczynniki do tablicy AB[ ] |
| K02: | Jeśli EliminujX(n,AB[
]) = false, to idź do kroku K05 |
| K03: | Jeśli ObliczX(n,X[
],AB[ ]) = false, to idź do kroku K05 |
| K04: | Pisz X[ ] i zakończ |
| K05: | Pisz "Rozwiązanie układu równań nie powiodło się" |
| K06: | Zakończ |
Z uwagi na uciążliwość wprowadzania danych z klawiatury programy odczytują
dane z pliku
W pierwszym wierszu liczba
W następnych n wierszach powinny być umieszczone
współczynniki. Jeden wiersz określa współczynniki jednego równania. Kolejne
współczynniki powinny być od siebie oddzielone przynajmniej jedną spacją.
Pierwsze n współczynników odnosi się do współczynników przy kolejnych niewiadomych. Ostatni
Przykładowe dane5 2 -2 2 -7 6 -4 7 -3 -2 7 2 11 2 2 -1 1 4 9 9 8 -2 2 -2 21 4 8 -3 3 -1 16 |
Plik określa układ 5 równań liniowych:

C++// Program rozwiązuje układ
// równań liniowych o n
// niewiadomych za pomocą
// metody eliminacji Gaussa
//-------------------------
// (C)2006 mgr J.Wałaszek
#include <iostream>
#include <iomanip>
#include <fstream>
#include <cmath>
#include <cstdlib>
using namespace std;
// dokładność porównania z zerem
const double EPS = 0.0000000001;
// maksymalna ilość równań
// w układzie
const int MAXEQ = 100;
// Funkcja dokonująca eliminacji
// niewiadomych. Jeśli operacja
// się powiedzie, zwraca true.
// Inaczej zwraca false.
bool EliminujX(int n,
double AB[][MAXEQ+1])
{
int i,j,k;
double m;
for(i = 0; i < n - 1; i++)
{
if(fabs(AB[i][i]) < EPS)
return false;
for(j = i + 1; j < n; j++)
{
m = -AB[j][i] / AB[i][i];
for(k = i + 1; k <= n; k++)
AB[j][k] += m * AB[i][k];
}
}
return true;
}
// Funkcja oblicza kolejne
// niewiadome x z macierzy AB
// przetworzonej przez funkcję
// Eliminuj_X(). Jeśli operacja
// się powiedzie, zwraca true.
// Inaczej zwraca false.
bool ObliczX(int n,
double X[],
double AB[][MAXEQ+1])
{
int i,j;
double s;
for(i = n - 1; i >= 0; i--)
{
if(fabs(AB[i][i]) < EPS)
return false;
s = AB[i][n];
for(j = n - 1; j > i; j--)
s -= AB[i][j] * X[j];
X[i] = s / AB[i][i];
}
return true;
}
//---------------
// Program główny
//---------------
int main()
{
ifstream fin;
ofstream fout;
int i,j,n;
double AB[MAXEQ][MAXEQ+1],
X[MAXEQ];
cout << setprecision(5)
<< fixed;
cout << " Uklad rownan liniowych\n"
" metoda eliminacji Gaussa\n"
" ------------------------\n"
"(C)2006 mgr Jerzy Walaszek\n\n";
// Dane dla programu odczytujemy
// z pliku tekstowego o nazwie in.txt,
// który musi się znajdować w tym samym
// katalogu co program. Pierwszy wiersz
// pliku powinien zawierać liczbę n.
// Następne n kolejnych wierszy powinno
// zawierać współczynniki ai dla tego
// wiersza, a na końcu współczynnik bi.
// Kolejne współczynniki oddzielone są
// od siebie przynajmniej jedną spacją.
fin.open("in.txt");
fin >> n;
if(n <= MAXEQ)
{
for(i = 0; i < n; i++)
for(j = 0; j <= n; j++)
fin >> AB[i][j];
fin.close();
// Dokonujemy eliminacji oraz
// obliczania niewiadomych x
cout << "Wyniki:\n\n";
if(EliminujX(n,AB) &&
ObliczX(n,X,AB))
{
fout.open("out.txt");
for(i = 0; i < n; i++)
{
cout << "x" << i + 1
<< " = " << setw(12)
<< X[i] << endl;
fout << X[i] << endl;
}
fout.close();
}
else cout << "Rozwiazanie ukladu "
"rownan nie powiodlo "
"sie\n";
}
else
{
fin.close();
cout << "Zbyt wiele rownan!\n";
}
cout << endl;
system("pause");
return 0;
}
|
Pascal// Program rozwiązuje układ
// równań liniowych o n
// niewiadomych za pomocą
// metody eliminacji Gaussa
//-------------------------
// (C)2006 mgr J.Wałaszek
program mzfl5;
const
// dokładność porównania z zerem
EPS = 0.0000000001;
// maksymalna ilość równań w układzie
MAXEQ = 100;
type
xwektor = array[1..MAXEQ] of double;
macierz = array[1..MAXEQ,1..MAXEQ + 1]
of double;
// Funkcja dokonująca eliminacji
// niewiadomych. Jeśli operacja
// się powiedzie, zwraca true.
// Inaczej zwraca false.
function EliminujX(n : integer;
var AB : macierz)
: boolean;
var
i,j,k : integer;
m : double;
begin
for i := 1 to n - 1 do
begin
if abs(AB[i,i]) < EPS then
begin
Result := false; exit;
end;
for j := i + 1 to n do
begin
m := -AB[j,i] / AB[i,i];
for k := i + 1 to n + 1 do
AB[j,k] := AB[j,k] +
m * AB[i,k];
end;
end;
Result := true;
end;
// Funkcja oblicza kolejne
// niewiadome x z macierzy AB
// przetworzonej przez funkcję
// Eliminuj_X(). Jeśli operacja
// się powiedzie, zwraca true.
// Inaczej zwraca false.
function ObliczX(n : integer;
var X : xwektor;
var AB : macierz)
: boolean;
var
i,j : integer;
s : double;
begin
for i := n downto 1 do
begin
if abs(AB[i,i]) < EPS then
begin
Result := false; exit;
end;
s := AB[i,n + 1];
for j := n downto i + 1 do
s := s - AB[i,j] * X[j];
X[i] := s / AB[i,i];
end;
Result := true;
end;
//---------------
// Program główny
//---------------
var
f : Text;
i,j,n : integer;
AB : macierz;
X : xwektor;
begin
writeln(' Uklad rownan liniowych');
writeln(' Metoda eliminacji Gaussa');
writeln(' ------------------------');
writeln('(C)2006 mgr Jerzy Walaszek');
writeln;
// Dane dla programu odczytujemy
// z pliku tekstowego o nazwie in.txt,
// który musi się znajdować w tym samym
// katalogu co program. Pierwszy wiersz
// pliku powinien zawierać liczbę n.
// Następne n kolejnych wierszy powinno
// zawierać współczynniki ai dla tego
// wiersza, a na końcu współczynnik bi.
// Kolejne współczynniki oddzielone są
// od siebie przynajmniej jedną spacją.
assignfile(f,'in.txt');
reset(f);
readln(f,n);
if n <= MAXEQ then
begin
for i := 1 to n do
for j := 1 to n + 1 do
read(f,AB[i,j]);
closefile(f);
// Dokonujemy eliminacji oraz
// obliczania niewiadomych x
writeln('Wyniki:');
writeln;
if EliminujX(n,AB) and
ObliczX(n,X,AB) then
begin
assignfile(f,'out.txt');
rewrite(f);
for i := 1 to n do
begin
writeln('x',i,' = ',X[i]:12:5);
writeln(f,X[i]);
end;
closefile(f);
end
else writeln('Rozwiazanie ukladu ',
'rownan nie powiodlo ',
'sie');
end
else
begin
writeln('Zbyt wiele rownan!');
closefile(f);
end;
writeln;
writeln('Nacisnij klawisz Enter...');
readln;
end.
|
Basic' Program rozwiązuje układ
' równań liniowych o n
' niewiadomych za pomocą
' metody eliminacji Gaussa
'-------------------------
' (C)2006 mgr J.Wałaszek
Declare Function _
EliminujX(n As Integer, _
AB() As Double) _
As Integer
Declare Function _
ObliczX(n As Integer, _
X() As Double, _
AB() As Double) _
As Integer
' dokładność porównania z zerem
Const EPS As Double = 0.0000000001
' maksymalna ilość równań w układzie
Const MAXEQ As Integer = 100
'---------------
' Program główny
'---------------
Dim As integer i, j, n
Dim As double AB(MAXEQ - 1, MAXEQ), _
X(MAXEQ - 1)
Print " Uklad rownan liniowych"
Print " Metoda eliminacji Gaussa"
Print " ------------------------"
Print "(C)2006 mgr Jerzy Walaszek"
Print
' Dane dla programu odczytujemy
' z pliku tekstowego o nazwie in.txt,
' który musi się znajdować w tym samym
' katalogu co program. Pierwszy wiersz
' pliku powinien zawierać liczbę n.
' Następne n kolejnych wierszy powinno
' zawierać współczynniki ai dla tego
' wiersza, a na końcu współczynnik bi.
' Kolejne współczynniki oddzielone są
' od siebie przynajmniej jedną spacją.
Open "in.txt" For Input as #1
Input #1, n
If n <= MAXEQ Then
For i = 0 To n - 1
For j = 0 To n
Input #1, AB(i, j)
Next
Next
Close #1
' Dokonujemy eliminacji oraz
' obliczania niewiadomych x
Print
Print "Wyniki:"
Print
If EliminujX(n, AB()) And _
ObliczX(n, X(), AB()) Then
Open "out.txt" For Output as #1
' Wypisujemy wyniki do okna
' konsoli oraz do pliku out.txt
For i = 0 To n - 1
Print "X";i + 1;
Print Using " = ######.#####"; X(i)
Print #1,Using "######.#####"; X(i)
Next
Close #1
Else
Print "Rozwiazanie ukladu ";
Print "rownan nie powiodlo sie"
End If
Else
Print "Zbyt wiele rownan!"
Close #1
End If
Print
Print "Nacisnij Enter..."
Sleep
End
' Funkcja dokonująca eliminacji
' niewiadomych. Jeśli operacja
' się powiedzie, zwraca true.
' Inaczej zwraca false.
Function EliminujX(n As Integer, _
AB() As Double) _
As Integer
Dim As Integer i, j, k
Dim m As Double
For i = 0 To n - 2
If Abs(AB(i, i)) < EPS Then Return 0
For j = i + 1 To n - 1
m = -AB(j, i) / AB(i, i)
For k = i + 1 To n
AB(j, k) += m * AB(i, k)
Next
Next
Next
Return 1
End Function
' Funkcja oblicza kolejne
' niewiadome x z macierzy AB
' przetworzonej przez funkcję
' Eliminuj_X(). Jeśli operacja
' się powiedzie, zwraca true.
' Inaczej zwraca false.
Function ObliczX(n As Integer, _
X() As Double, _
AB() As Double) _
As Integer
Dim As Integer i, j
Dim s As Double
For i = n - 1 To 0 Step -1
If Abs(AB(i, i)) < EPS Then Return 0
s = AB(i, n)
For j = n - 1 To i + 1 Step -1
s -= AB(i, j) * X(j)
Next
X(i) = s / AB(i, i)
Next
Return 1
End Function
|
Python
(dodatek)# Program rozwiązuje układ
# równań liniowych o n
# niewiadomych za pomocą
# metody eliminacji Gaussa
#-------------------------
# (C)2026 mgr J.Wałaszek
# Dokładność porównania z zerem
EPS = 0.0000000001
# Maksymalna ilość równań w układzie
MAXEQ = 100
# Funkcja dokonująca eliminacji
# niewiadomych. Jeśli operacja
# się powiedzie, zwraca True.
# Inaczej zwraca False.
def eliminujx(n, ab):
for i in range(n - 1):
if abs(ab[i][i]) < EPS:
return False
for j in range(i + 1, n):
m = -ab[j][i] / ab[i][i]
for k in range(i + 1, n + 1):
ab[j][k] += m * ab[i][k]
return True
# Funkcja oblicza kolejne
# niewiadome x z macierzy AB
# przetworzonej przez funkcję
# Eliminuj_X(). Jeśli operacja
# się powiedzie, zwraca true.
# Inaczej zwraca false.
def obliczx(n, x, ab):
for i in reversed(range(n)):
if abs(ab[i][i]) < EPS:
return False
s = ab[i][n]
for j in reversed(range(i + 1, n)):
s -= ab[i][j] * x[j]
x[i] = s / ab[i][i]
return True
#---------------
# Program główny
#---------------
print(" Układ równań liniowych")
print(" Metoda eliminacji Gaussa")
print(" ------------------------")
print("(C)2026 mgr Jerzy Walaszek")
print
# Dane dla programu odczytujemy
# z pliku tekstowego o nazwie in.txt,
# który musi się znajdować w tym samym
# katalogu co program. Pierwszy wiersz
# pliku powinien zawierać liczbę n.
# Następne n kolejnych wierszy powinno
# zawierać współczynniki ai dla tego
# wiersza, a na końcu współczynnik bi.
# Kolejne współczynniki oddzielone są
# od siebie przynajmniej jedną spacją.
with open("in.txt", "r",
encoding="utf-8") as f1:
dane = f1.read().split() # tworzymy listę
it = 0 # numeruje kolejne elementy listy
n = int(dane[it])
if n <= MAXEQ:
# Inicjalizacja macierzy AB zerami
ab = [[0.0 for _ in range(n + 1)]
for _ in range(n)]
for i in range(n):
for j in range(n + 1):
it += 1 # następny element
ab[i][j] = float(dane[it])
print("\nWyniki:\n")
x = [0.0] * n
if eliminujx(n, ab) and \
obliczx(n, x, ab):
with open("out.txt", "w",
encoding="utf-8") as f2:
for i in range(n):
f = f"{x[i]:12.5f}"
print(f"X{i+1} = {f}")
f2.write(f"{f}\n")
else:
print("\nRozwiązanie układu",
"równań nie powiodło się")
else:
print("\nZbyt wiele równań!")
print()
input("Naciśnij Enter...")
|
| Wynik: |
Układ równań liniowych Metoda eliminacji Gaussa ------------------------ (C)2026 mgr Jerzy Walaszek Wyniki: X1 = 1.00000 X2 = 2.00000 X3 = 3.00000 X4 = 2.00000 X5 = 1.00000 Naciśnij Enter... |
JavaScript<html>
<head>
</head>
<body>
<div style="overflow-x: auto;"
align="center">
<table
border="0"
cellpadding="4"
style="border-collapse:
collapse">
<tr>
<td nowrap>
<form
name="frmbincode"
style="text-align: center;
background-color: #E7E7DA">
<big><b>
Demonstracja rozwiązywania<br>
układu równań za pomocą<br>
Eliminacji Gaussa</b>
</big><br>
<br>
(C)2026
mgr Jerzy Wałaszek
I LO w Tarnowie
<hr>
Tutaj wprowadź wiersze<br>
ze współczynnikami<br>
układu równań:<br>
<br>
<textarea
rows="9"
name="input"
cols="50">
5
2 -2 2 -7 6 -4
7 -3 -2 7 2 11
2 2 -1 1 4 9
9 8 -2 2 -2 21
4 8 -3 3 -1 16
</textarea>
<hr>
<input
type="button"
value="Licz"
name="B1"
onclick="main()">
<hr>
<b>Wyniki:</b>
<div
id="out"
align="center">.</div>
</form>
</td>
</tr>
</table>
</div>
<script language=javascript>
// Program rozwiązuje układ
// równań liniowych o n niewiadomych
// za pomocą metody eliminacji Gaussa.
//------------------------------------
// (C)2006 mgr J.Wałaszek
// I LO w Tarnowie
// Dokładność porównania z zerem
var EPS = 0.0000000001
// Maksymalna ilość równań w układzie
var MAXEQ = 100
// Funkcja dokonująca eliminacji
// niewiadomych. Jeśli operacja
// się powiedzie, zwraca true.
// Inaczej zwraca false.
function EliminujX(n, AB)
{
var i,j,k,m
for(i = 0; i < n - 1; i++)
{
if(Math.abs(AB[i][i]) < EPS)
return false
for(j = i + 1; j < n; j++)
{
m = -AB[j][i] / AB[i][i]
for(k = i + 1; k <= n; k++)
AB[j][k] += m * AB[i][k]
}
}
return true
}
// Funkcja oblicza kolejne
// niewiadome x z macierzy AB
// przetworzonej przez
// funkcję Eliminuj_X().
// Jeśli operacja się powiedzie,
// zwraca true. Inaczej
// zwraca false.
function ObliczX(n, X, AB)
{
var i,j,s
for(i = n - 1; i >= 0; i--)
{
if(Math.abs(AB[i][i]) < EPS)
return false
s = AB[i][n]
for(j = n - 1; j > i; j--)
s -= AB[i][j] * X[j]
X[i] = s / AB[i][i]
}
return true
}
//---------------
// Program główny
//---------------
function main()
{
var i,j,n,s,t,z
var AB = new Array(MAXEQ)
var X = new Array(MAXEQ)
// Dane dla programu odczytujemy
// z pola tekstowego. Pierwszy
// wiersz pola powinien zawierać
// liczbę n. Następne n kolejnych
// wierszy powinno zawierać
// współczynniki ai dla tego
// wiersza, a na końcu
// współczynnik bi. Kolejne
// współczynniki oddzielone są od
// siebie przynajmniej jedną spacją.
t = "<font color=red>" +
"<b>Złe dane</b></font>"
s = document.frmbincode.input
.value
if(s.length > 0)
{
// Odczytujemy współczynniki
// z pola tekstowego formularza
while((j = s.indexOf('\n')) != -1)
s = s.substring(0,j) + " " +
s.substring(j + 1,s.length)
while((j = s.indexOf('\r')) != -1)
s = s.substring(0,j) + " " +
s.substring(j + 1,s.length)
while((j = s.indexOf('\t')) != -1)
s = s.substring(0,j) + " " +
s.substring(j + 1,s.length)
while(s.length > 0 &&
(s.charAt(0) == " "))
s = s.substring(1,s.length)
while(s.length > 0 &&
(s.charAt(s.length-1) == " "))
s = s.substring(0,s.length - 1)
while(s.length > 0 &&
((j = s.indexOf(" ")) != -1))
s = s.substring(0,j) +
s.substring(j+1,s.length)
s = s.split(' ')
if(s.length > 0)
{
n = parseInt(s[0])
if((!isNaN(n)) &&
(s.length >= n * (n + 1) + 1) &&
(n <= MAXEQ))
{
k = 1
z = true
for(i = 0; i < n; i++)
{
AB[i] = new Array(n + 1)
for(j = 0; j <= n; j++)
z = z && !isNaN(AB[i][j] =
parseFloat(s[k++]))
}
if(z)
{
// Dokonujemy eliminacji oraz
// obliczania niewiadomych x
t = "<table border='0' " +
"cellpadding='4'" +
"style='border-collapse: " +
"collapse'><tr><td nowrap>"
if(EliminujX(n,AB) &&
ObliczX(n,X,AB))
for(i = 0; i < n; i++)
t += "x<sub>" + (i + 1) +
"</sub> = " + X[i] +
"<br>"
else
t += "<font color=red><b>" +
"Rozwiązanie układu " +
"równań nie powiodło się" +
"</b></font>"
t += "</td></tr></table>"
}
}
}
}
document.getElementById("out")
.innerHTML = t
}
</script>
</body>
</html> |
![]() |
Zespół Przedmiotowy Chemii-Fizyki-Informatyki w I Liceum Ogólnokształcącym im. Kazimierza Brodzińskiego w Tarnowie ul. Piłsudskiego 4 ©2026 mgr Jerzy Wałaszek |
Materiały tylko do użytku dydaktycznego. Ich kopiowanie i powielanie jest dozwolone pod warunkiem podania źródła oraz niepobierania za to pieniędzy.
Pytania proszę przesyłać na adres email:
Serwis wykorzystuje pliki cookies. Jeśli nie chcesz ich otrzymywać, zablokuj je w swojej przeglądarce.
Informacje dodatkowe.