Serwis Edukacyjny
w I-LO w Tarnowie
obrazek

Materiały dla uczniów liceum

  Wyjście       Spis treści       Wstecz  

obrazek

Autor artykułu: mgr Jerzy Wałaszek

©2026 mgr Jerzy Wałaszek

obrazek

Podsumowanie

SPIS TREŚCI
Podrozdziały

Metody całkowania numerycznego

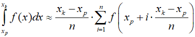
Metoda prostokątów

Całka przybliżana jest sumą pól prostokątów:

Metoda ta obarczona jest dosyć dużym błędem, ponieważ prostokąty niezbyt dobrze przybliżają pole pod wykresem funkcji. Błąd maleje wraz ze wzrostem n. Zaletą jest prosty wzór wyliczania całki.

Metoda trapezów

Całka przybliżana jest sumą pól trapezów:

Trapezy dużo lepiej przybliżają pole pod wykresem funkcji. Dlatego metoda ta jest dokładniejsza od metody prostokątów. W praktyce oznacza to mniejszą wartość n, czyli mniej obliczeń w celu uzyskania porównywalnej dokładności wyniku.

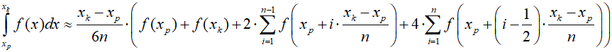
Metoda Simpsona

Całka przybliżana jest sumą pól ograniczonych parabolami:

Parabole przybliżają wykres funkcji z małym błędem. Stąd metoda paraboliczna jest najdokładniejszą metodą wyznaczania wartości całek oznaczonych z tutaj opisanych. W praktyce n może być małe (np. w granicach 100...1000). Dokładność okupiona jest nieco skomplikowanym wzorem obliczeniowym.

Metoda Monte Carlo

Całka przybliżana jest średnią wartością funkcji w przedziale pomnożoną przez szerokość przedziału. Średnia wyznaczana jest w sposób pseudolosowy jako suma n wartości funkcji w przypadkowo wybranych punktach przedziału całkowania.

Jest to najmniej dokładna z opisanych metod. Jej jakość porównywalna jest z metodą prostokątów. Zaletą natomiast będzie prosty wzór obliczeniowy.


Z podsumowania tego wynika, iż preferowanymi metodami całkowania numerycznego powinny być metoda trapezów oraz metoda paraboliczna. Pierwsza ma stosunkowo prosty wzór wyliczeniowy. W metodzie parabolicznej wzór jest bardziej skomplikowany, lecz ze względu na jej dokładność wykonamy mniej obliczeń, zatem szybciej uzyskamy wynik z mniejszymi błędami zaokrągleń.


do podrozdziału  do strony 

Literatura

Artykuł nie wyczerpuje metod numerycznego całkowania. Celem było jedynie podanie najprostszych przykładów realizacji. Zainteresowanych odsyłamy do bogatej literatury oraz zasobów sieci Internet.


do podrozdziału  do strony 

Zespół Przedmiotowy
Chemii-Fizyki-Informatyki

w I Liceum Ogólnokształcącym
im. Kazimierza Brodzińskiego
w Tarnowie
ul. Piłsudskiego 4
©2026 mgr Jerzy Wałaszek

Materiały tylko do użytku dydaktycznego. Ich kopiowanie i powielanie jest dozwolone pod warunkiem podania źródła oraz niepobierania za to pieniędzy.
Pytania proszę przesyłać na adres email: i-lo@eduinf.waw.pl
Serwis wykorzystuje pliki cookies. Jeśli nie chcesz ich otrzymywać, zablokuj je w swojej przeglądarce.

Informacje dodatkowe.