|
Serwis Edukacyjny w I-LO w Tarnowie
Materiały dla uczniów liceum |
Autor artykułu: mgr Jerzy Wałaszek |
©2026 mgr Jerzy Wałaszek
|
| SPIS TREŚCI |
| Podrozdziały |
Prezentowane w artykule algorytmy wzbogaciliśmy o proste przykłady programów w poniższych środowiskach programowania:
Wszystkie są darmowo dostępne poprzez sieć Internet. Ostatni język, JavaScript, jest dostępny w większości przeglądarek internetowych - Internet Explorer, FireFox, Google Chrome, Safari. Również w większości współczesnych urządzeń mobilnych mamy dostęp do języka JavaScript.
|
Uwaga: Ponieważ dostaję dużo listów odnośnie zamieszczonych tutaj przykładowych programów, wyjaśniam, że nie są one celem tego artykułu. Artykuł opisuje algorytmy całkowania numerycznego, natomiast programy stanowią ich prostą implementację. Z tego powodu nie są one zoptymalizowane oraz nie sprawdzają ewentualnych błędów w danych wejściowych. |
Całka
(ang. Integral) jest jednym z najważniejszych pojęć współczesnej analizy matematycznej.
Zastosowania ma tak liczne, iż trudno je wymienić. Stosuje się ją
Nie wgłębiając się zbytnio w teorię matematyczną można powiedzieć, iż całką
funkcji

Funkcję

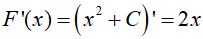
Przykład:
Znajdźmy funkcję pierwotną od

ponieważ

zatem

stąd

Funkcję pierwotną

Zagadnienie obliczania całek nieoznaczonych sprowadza się do znajdowania postaci funkcji pierwotnej. Jest to dosyć skomplikowane i nie stanowi celu naszego opracowania. W całkowaniu numerycznym głównie zajmujemy się całkami oznaczonymi.
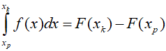
Całka
oznaczona
(ang. definite integral) funkcji

i obliczaną na różne sposoby.
Przedział
Jeśli znamy przepis na funkcję pierwotną

Z punktu widzenia obliczeń
komputerowych sposób ten nie jest najlepszy, ponieważ wymaga wyznaczenia funkcji
pierwotnej

Dużo większe zastosowanie w obliczeniach numerycznych ma
definicja Riemanna, w której całka oznaczona jest interpretowana
jako suma pól obszarów ograniczonych wykresem funkcji
Przedział całkowania <xp,xk>
dzielimy na rozłączne podprzedziały wyznaczając

Punkty podziałowe muszą być tak dobrane, aby przy wzroście n do nieskończoności maksymalna odległość między sąsiednimi punktami malała do zera, czyli:

Pomiędzy parami sąsiednich punktów

Całka oznaczona Riemanna jest wtedy granicą sum n prostokątów o podstawie równej

Jeśli
Różnicę pomiędzy wartością pola pod wykresem funkcji a polem otrzymanym jako suma skończonej ilości prostokątów nazywamy błędem całkowania (ang. integration error). Wraz ze wzrostem liczby prostokątów w całce Riemanna błąd całkowania dąży do zera
![]() |
Zespół Przedmiotowy Chemii-Fizyki-Informatyki w I Liceum Ogólnokształcącym im. Kazimierza Brodzińskiego w Tarnowie ul. Piłsudskiego 4 ©2026 mgr Jerzy Wałaszek |
Materiały tylko do użytku dydaktycznego. Ich kopiowanie i powielanie jest dozwolone pod warunkiem podania źródła oraz niepobierania za to pieniędzy.
Pytania proszę przesyłać na adres email:
Serwis wykorzystuje pliki cookies. Jeśli nie chcesz ich otrzymywać, zablokuj je w swojej przeglądarce.
Informacje dodatkowe.