|
Serwis Edukacyjny w I-LO w Tarnowie
Materiały dla uczniów liceum |
Wyjście Spis treści Wstecz Dalej
Autor artykułu: mgr Jerzy Wałaszek |
©2026 mgr Jerzy Wałaszek
|
| SPIS TREŚCI |
|
| Podrozdziały |

Metoda Simpsona jest najdokładniejszą z opisanych tutaj metod przybliżonego całkowania. W metodzie prostokątów całka oznaczona przybliżana była funkcjami stałymi - liczyliśmy sumę pól prostokątów. W metodzie trapezów całkę przybliżaliśmy za pomocą funkcji liniowych - obliczaliśmy sumy pól trapezów. W metodzie Simpsona stosujemy jako przybliżenie parabolę - będziemy obliczali sumy wycinków obszarów pod parabolą. Zasada jest następująca:
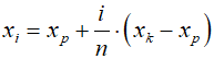
Przedział całkowania <xp, xk> dzielimy na n + 1 równo odległych punktów xo, x1, x2 ,..., xn:

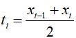
Dla każdych dwóch sąsiednich punktów wyznaczamy punkt środkowy ti wg wzoru:

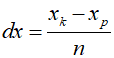
Obliczamy odległość między dwoma sąsiednimi punktami.

Dla każdego wyznaczonego w ten sposób punktu obliczamy wartość funkcji f(x) w tym punkcie:
| punkty podziałowe |
|---|
| dla
i = 0,1,2,...,n fi = f(xi) |
| punkty środkowe |
| dla
i = 1,2,...,n fti = f(ti) |
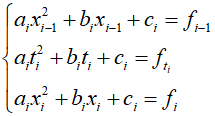
W każdym podprzedziale <xi - 1, xi> przybliżamy funkcję za pomocą paraboli g(x) o następującej postaci:

Parabola gi(x) musi przechodzić przez punkty: (xi-1, fi - 1), (ti, fti), (xi, fi). Współczynniki ai, bi i ci wyznaczymy zatem z układu trzech równań:

Uwaga:W metodzie Simpsona chodzi o wyznaczenia pola pod parabolą w danym podprzedziale, a nie jej współczynników. Możemy zatem pójść inną drogą. Załóżmy, iż powyższe współczynniki są znane (ostatecznie możemy je przecież wyliczyć). |
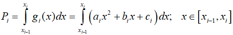
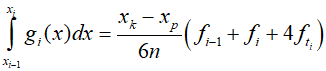
Pole pod parabolą w przedziale <xi - 1, xi> będzie równe całce oznaczonej:

Funkcja pierwotna jest bardzo prosta w tym przypadku i ma wzór następujący:

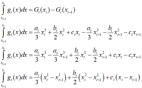
Wartość całki obliczymy zgodnie z definicją Newtona-Leibniza:

Teraz postaramy się uprościć maksymalnie otrzymane wyrażenie. W tym celu wyciągamy przed nawias wspólny czynnik i całość dzielimy przez 6:

Zwróćcie uwagę, iż wyrażenia w nawiasach są odpowiednio wartościami funkcji fi -1, fi oraz fti. Natomiast różnica

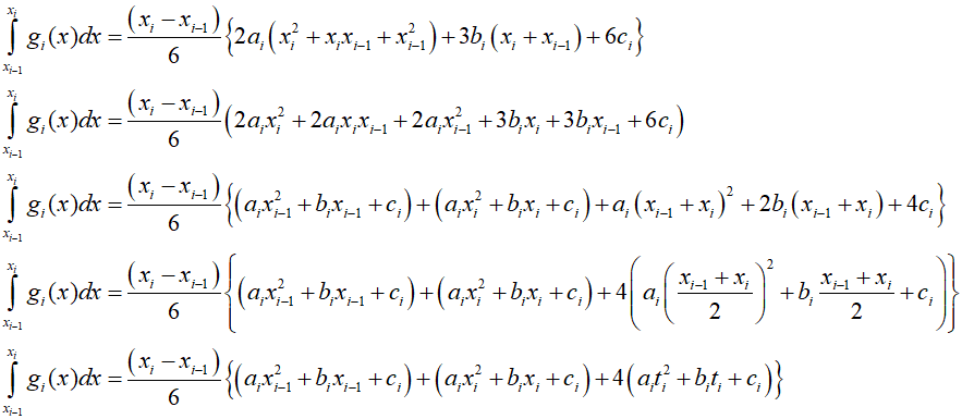
jest odległością dx pomiędzy dwoma sąsiednimi punktami podziałowymi. Zatem po uproszczeniu otrzymujemy ostateczny wzór:

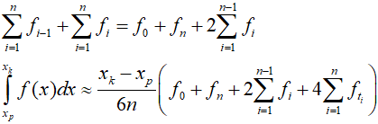
Wzór ten pozwala wyliczyć pole obszaru pod parabolą aproksymującą funkcję f(x) w przedziale <xi - 1, xi>. Wartość całej całki otrzymamy sumując te pola, czyli:

Jest to wzór wyliczania przybliżonej wartości całki oznaczonej za pomocą metody Simpsona. Ponieważ w obliczanych sumach wartości funkcji się powtarzają dwukrotnie (z wyjątkiem pierwszej i ostatniej), do obliczeń komputerowych stosujemy efektywniejszy wzór otrzymywania powyższej sumy:

| xp | - początek przedziału całkowania, xp ∈ R |
| xk | - koniec przedziału całkowania, xk ∈ R |
| n | - liczba punktów podziałowych, n ∈ N |
| f(x) | - funkcja rzeczywista, której całkę liczymy |
| s | - przybliżona wartość całki oznaczonej funkcji f(x) w przedziale <xp, xk>, s ∈ R |
| st | - suma wartości funkcji w punktach środkowych, st ∈ R |
| dx | - odległość między dwoma sąsiednimi punktami podziałowymi, dx ∈ R |
| x | - pozycja punktu podziałowego, x ∈ R |
| i | - licznik punktów podziałowych, i ∈ N |
| K01: | s ← 0; st ← 0 |
| K02: | ![]() |
| K03: | Dla i = 1,2,...,n: wykonuj kroki K04...K06 |
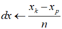
| K04: | x ← xp + i ·dx |
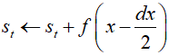
| K05: | ![]() |
| K06: | Jeśli i < n, to s ← s + f(x) |
| K07: | ![]() |
| K08: | Zakończ |

Odczytujemy krańce przedziału całkowania <xp ,xk>. Do obliczenia całki metodą Simpsona musimy zliczyć dwie sumy - wartości funkcji w punktach podziałowych xi oraz wartości funkcji w punktach środkowych przedziałów ti. Pierwszą sumę będziemy obliczać w zmiennej s, drugą w st. Obie na początku przyjmują wartość 0. Wyznaczamy dalej odległość pomiędzy dwoma sąsiednimi punktami podziałowymi dx i rozpoczynamy pętlę, w której zmienna i pełni rolę numeru punktu podziałowego i środkowego. Pętla ta wykonuje się n-razy od i = 1 do i = n włącznie, czyli jest to zwykła pętla iteracyjna typu FOR.
W pętli wyznaczamy wartość punktu podziałowego xi i umieszczamy ją w zmiennej x. Następnie obliczamy wartość funkcji w punkcie środkowym ti, który jest odległy o połowę dx od wyznaczonego wcześniej punktu xi. Wartość tę dodajemy do sumy st.
Drugą sumę tworzymy w zmiennej s. Jednakże powinna ona zawierać jedynie wartości funkcji dla punktów podziałowych od x1 do xn - 1. Dlatego przed sumowaniem sprawdzamy, czy indeks i jest w odpowiednim zakresie.
Po zakończeniu pętli wyznaczamy wartość całki w zmiennej s zgodnie z podanym wzorem, wyprowadzamy ten wynik dla użytkownika i kończymy wykonywanie algorytmu.
W celu zobrazowania dokładności metody Simpsona zmniejszyliśmy w naszych przykładach liczbę punktów podziałowych do n = 10. Wynik obliczenia całki jest niezmieniony w stosunku do metod prostokątów i trapezów. Zachęcamy do eksperymentów z liczbą N.
C++// Obliczanie całki oznaczonej
// metodą Simpsona
// ---------------------------
//(C)2004 mgr Jerzy Wałaszek
#include <iomanip>
#include <iostream>
#include <cstdlib>
using namespace std;
// Tutaj definiujemy funkcję
double f(double x)
{
return(x * x + 2 * x);
}
// Program główny
int main()
{
//liczba punktów podziałowych
const int N = 10;
double xp,xk,s,st,dx,x;
int i;
// 3 cyfry po przecinku
cout << setprecision(3)
// format stałoprzecinkowy
<< fixed;
cout << "Obliczanie calki oznaczonej\n"
" za pomoca metody Simpsona\n"
"---------------------------\n"
"(C)2004 mgr J.Walaszek I LO\n\n"
"f(x) = x * x + 2 * x\n\n"
"Poczatek przedzialu calkowania\n\n"
"xp = ";
cin >> xp;
cout << "\nKoniec przedzialu calkowania\n\n"
"xk = ";
cin >> xk;
cout << endl;
s = 0; st = 0;
dx = (xk - xp) / N;
for(i = 1; i <= N; i++)
{
x = xp + i * dx;
st += f(x - dx / 2);
if(i < N) s += f(x);
}
s = dx / 6 * (f(xp) + f(xk) + 2 * s + 4 * st);
cout << "Wartosc calki wynosi : "
<< s
<< endl << endl;
system("pause");
return 0;
}
|
Pascal// Obliczanie całki oznaczonej
// metodą Simpsona
// ---------------------------
// (C)2004 mgr Jerzy Wałaszek
program int_simpson;
// Tutaj definiujemy funkcję
function f(x : double) : double;
begin
f := x * x + 2 * x;
end;
// Program główny
// liczba punktów podziałowych
const N = 10;
var
xp,xk,s,st,dx,x : double;
i : integer;
begin
writeln('Obliczanie calki oznaczonej');
writeln(' za pomoca metody Simpsona');
writeln('---------------------------');
writeln('(C)2004 mgr J.Walaszek I LO');
writeln;
writeln('f(x) = x * x + 2 * x');
writeln;
writeln('Poczatek przedzialu calkowania');
writeln;
write('xp = '); readln(xp);
writeln;
writeln('Koniec przedzialu calkowania');
writeln;
write('xk = '); readln(xk);
writeln;
s := 0; st := 0;
dx := (xk - xp) / N;
for i := 1 to N do
begin
x := xp + i * dx;
st := st + f(x - dx / 2);
if i < N then s := s + f(x);
end;
s := dx / 6 * (f(xp) + f(xk) + 2 * s + 4 * st);
writeln('Wartosc calki wynosi : ',s:0:3);
writeln;
writeln('Nacisnij klawisz Enter...');
readln;
end.
|
Basic' Obliczanie całki oznaczonej
' metodą Simpsona
' ---------------------------
' (C)2004 mgr Jerzy Wałaszek
Declare Function f(x As Double) _
As Double
' Program główny
' liczba punktów podziałowych
const N = 10
Dim As Double xp,xk,s,st,x,dx
Dim As Integer i
Print "Obliczanie calki oznaczonej"
Print " za pomoca metody Simpsona"
Print "----------------------------"
Print "(C)2004 mgr J.Walaszek I LO"
Print
Print "f(x) = x * x + 2 * x"
Print
Print "Poczatek przedzialu calkowania"
Print
input "xp = ", xp
Print
Print "Koniec przedzialu calkowania"
Print
Input "xk = ", xk
Print
s = 0: st = 0
dx = (xk - xp) / N
for i = 1 to N
x = xp + i * dx
st += f(x - dx / 2)
if i < N then s += f(x)
Next
s = dx / 6 * _
(f(xp) + f(xk) + 2 * s + 4 * st)
print Using _
"Wartosc calki wynosi : ####.###";s
Print
Print "Nacisnij klawisz Enter..."
Sleep
End
' Tutaj definiujemy funkcję
function f(x as Double) As Double
f = x * x + 2 * x
End Function
|
Python
(dodatek)# Obliczanie całki oznaczonej
# metodą Simpsona
# ---------------------------
# (C)2026 mgr Jerzy Wałaszek
# Tutaj definiujemy funkcję
def f(x):
return x * x + 2 * x
# Program główny
# liczba punktów podziałowych
n = 10
print("Obliczanie całki oznaczonej")
print(" za pomocą metody Simpsona")
print("----------------------------")
print("(C)2026 mgr J.Wałaszek I LO")
print()
print("f(x) = x * x + 2 * x")
print()
print("Początek przedziału całkowania")
print()
xp = float(input("xp = "))
print()
print("Koniec przedziału całkowania")
print()
xk = float(input("xk = "))
print()
s = 0
st = 0
dx = (xk - xp) / n
for i in range(1, n + 1):
x = xp + i * dx
st += f(x - dx / 2)
if i < n: s += f(x)
s = dx / 6 * \
(f(xp) + f(xk) + 2 * s + 4 * st)
print("Wartość całki wynosi : ",end="")
print("%.3f" % s)
print()
input("Naciśnij Enter...")
|
| Wynik: |
Obliczanie całki oznaczonej za pomocą metody Simpsona ---------------------------- (C)2026 mgr J.Wałaszek I LO f(x) = x * x + 2 * x Początek przedziału całkowania xp = 0 Koniec przedziału całkowania xk = 1 Wartość całki wynosi : 1.333 Naciśnij Enter... |
JavaScript<html>
<head>
<title>Całkowanie numeryczne
metodą Simpsona</title>
</head>
<body>
<div style="overflow-x: auto;"
align="center">
<table
border="0"
cellpadding="4"
style="border-collapse:
collapse">
<tr>
<td nowrap>
<form
name="frm"
style="text-align: center;
background-color:
#E7E7DA">
<b>
Obliczanie całki
oznaczonej
<br>
za pomocą
metody Simpsona
</b><br>
(C)2026 mgr
Jerzy Wałaszek
<hr>
Całkowana funkcja:<br>
f(x) =
x<sup>2</sup> + 2x
<hr>
Przedział całkowania<br>
x<sub>p</sub> =
<input
name="xp_inp"
size="15"
value="0"
type="text"
style="text-align:
right">
<br>
x<sub>k</sub> =
<input
name="xk_inp"
size="15"
value="1"
type="text"
style="text-align:
right">
<hr>
<input
onclick="js_simpson();"
value="Oblicz całkę"
name="B1"
type="button">
<hr>
Wartość całki wynosi:
<div id="out">.</div>
</form>
</td>
</tr>
</table>
</div>
<script language="JavaScript">
// Obliczanie całki oznaczonej
// metodą Simpsona
// ---------------------------
// (C)2004 mgr Jerzy Wałaszek
// Tutaj definiujemy funkcję
function f(x)
{
return(x * x + 2 * x);
}
function js_simpson()
{
// liczba punktów
// podziałowych
var N = 10;
var xp,xk,s,st,dx,x,i,t;
xp = parseFloat(document.frm
.xp_inp.value);
xk = parseFloat(document.frm
.xk_inp.value);
if(isNaN(xp) || isNaN(xk))
t = "<font color=red><b>" +
"Popraw dane wejściowe!" +
"</b></font>";
else
{
s = 0;
st = 0;
dx = (xk - xp) / N;
for(i = 1; i <= N; i++)
{
x = xp + i * dx;
st += f(x - dx / 2);
if(i < N) s += f(x);
};
s = dx / 6 * (f(xp) + f(xk) +
2 * s + 4 * st);
t = Math.floor(s * 1000) /
1000;
};
document.getElementById("out")
.innerHTML = t;
}
</script>
</body>
</html> |
![]() |
Zespół Przedmiotowy Chemii-Fizyki-Informatyki w I Liceum Ogólnokształcącym im. Kazimierza Brodzińskiego w Tarnowie ul. Piłsudskiego 4 ©2026 mgr Jerzy Wałaszek |
Materiały tylko do użytku dydaktycznego. Ich kopiowanie i powielanie jest dozwolone pod warunkiem podania źródła oraz niepobierania za to pieniędzy.
Pytania proszę przesyłać na adres email:
Serwis wykorzystuje pliki cookies. Jeśli nie chcesz ich otrzymywać, zablokuj je w swojej przeglądarce.
Informacje dodatkowe.