|
Serwis Edukacyjny w I-LO w Tarnowie
Materiały dla uczniów liceum |
Wyjście Spis treści Wstecz Dalej
Autor artykułu: mgr Jerzy Wałaszek |
©2026 mgr Jerzy Wałaszek
|
| SPIS TREŚCI |
|
| Podrozdziały |
Aby zrozumieć zasadę metody Monte Carlo wyobraźcie sobie, iż chcecie wyznaczyć pole koła wpisanego w kwadrat o boku równym 2 (pole to co do wartości jest równe liczbie pi, ale na razie udajmy, że o tym nie wiemy). W tym celu wyznaczamy wewnątrz kwadratu dużo losowych punktów. Następnie zliczamy te punkty, które wpadają do wnętrza koła. Pole koła jest w przybliżeniu równe:

![]() |
- pole koła |
![]() |
- pole kwadratu |
![]() |
- liczba punktów w kole |
![]() |
- liczba wszystkich punktów |
Przykład:
Oto odpowiedni skrypt JavaScript symulujący obliczanie powierzchni koła dla podanego przykładu:
| JavaScript |
<html>
<head>
<title>Wyznaczanie liczby PI
metodą Monte Carlo</title>
</head>
<body>
<div style="overflow-x: auto;"
align="center">
<table
border="0"
cellpadding="4"
style="border-collapse:
collapse">
<tr>
<td nowrap>
<form
name="frm1"
style="text-align:
center;
background-color:
#E7E7DA">
<b>
Obliczanie pola
koła wpisanego
<br/>
w kwadrat o boku 2
<br/>
za pomocą metody
Monte Carlo
</b><br/>
(C)2026 mgr
Jerzy Wałaszek<hr>
Podaj liczbę
punktów<br/>
do wygenerowania:<br/>
<input
type="text"
name="inp_n"
size="16"
value="10000"
style="text-align:
right">
<hr>
<input
onclick="js_p();"
value="Oblicz pole koła"
name="B1"
type="button">
<hr>
Pole koła wynosi:
<div id="out1">.</div>
</form>
</td>
</tr>
</table>
</div>
<script language="javascript">
// Przykładowa aplikacja
// obliczająca pole koła
// wpisanego w kwadrat
// za pomocą metody
// Monte Carlo
//----------------------
// (C)2004 mgr Jerzy Wałaszek
function js_p()
{
var n = parseInt(document
.frm1.inp_n.value);
var nk,s,x,y,i;
if(isNaN(n) || (n < 2))
s = "<font color=red><b>" +
"Popraw dane" +
"</b></font>";
else
{
nk = 0
for(i = 0; i < n; i++)
{
x = Math.random() * 2;
y = Math.random() * 2;
if(Math.sqrt((x-1) *
(x-1) + (y-1) *
(y-1)) <= 1) nk++;
}
s = 4 * nk / n;
s = Math.round(s * 100000) /
100000;
}
document.getElementById("out1")
.innerHTML = s
}
</script>
</body>
</html> |
Oczywiście wynik jest bliski liczbie π = 3,1415926535... dopiero dla dużych wartości n. Zaczynają wtedy obowiązywać prawa dużych liczb i pomimo przypadkowości wyboru punktów, pojawia się prawidłowość. Ponieważ punkty rozkładają się równomiernie w obrębie pola kwadratu, to stosunek liczby punktów wewnątrz koła do liczby wszystkich punktów w kwadracie jest równy stosunkowi pola koła do pola kwadratu. Stąd właśnie pochodzi nasz wzór:

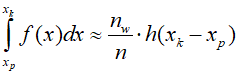
Wzór ten jest podstawą wyznaczania wartości całki oznaczonej za pomocą metody Monte Carlo, czyli losowania punktów. Zasada jest następująca:
Dla danej funkcji f(x), której całkę oznaczoną chcemy obliczyć w przedziale całkowania <xp, xk>, wyznaczamy prostokąt obejmujący pole pod wykresem tej funkcji o wysokości h i długości podstawy (xk - xp). W dalszej kolejności losujemy n punktów i zliczamy te punkty nw, które wpadają w pole pod wykresem funkcji. Wartość całki wyraża się wzorem przybliżonym:
Otrzymany wzór ma kilka wad. Na przykład w ogólnym przypadku trudno wyznaczyć wysokość h. Również kłopoty pojawiają się, gdy funkcja zmienia znak w przedziale całkowania. Dlatego częściej jako metodę Monte Carlo przyjmuje się metodę, która wyznacza średnią z wartości funkcji w przedziale całkowania na podstawie serii losowo wybranych współrzędnych x. Następnie średnia ta jest mnożona przez długość przedziału całkowania i otrzymujemy przybliżoną wartość całki oznaczonej. Wzór ma następującą postać:
xlos jest wartością pseudolosową zmiennoprzecinkową z przedziału <xp, xk> Wartość tę otrzymujemy w przykładowych językach programowania wg poniższych wzorów:
| Język | Instrukcja |
|---|---|
| Pascal |
xlos := xp + random * (xk - xp); |
| C++ |
xlos = xp + (double)rand()/(double)(RAND_MAX+1) * (xk - xp); |
| Basic |
xlos = xp + rnd(1) * (xk - xp) |
| JavaScript |
xlos = xp + Math.random() * (xk - xp) |
| Python (dodatek) |
import random ... xlos = random.uniform(xp, xk) |
| xp | - początek przedziału całkowania, xp ∈ R |
| xk | - koniec przedziału całkowania, xk ∈ R |
| n | - liczba punktów podziałowych, n ∈ N |
| f(x) | - funkcja rzeczywista, której całkę liczymy |
| s | - przybliżona wartość całki oznaczonej funkcji f(x) w przedziale <xp,xk>, s ∈ R |
| dx | - odległość między dwoma sąsiednimi punktami podziałowymi, dx ∈ R |
| i | - licznik punktów podziałowych, i ∈ N |
| xlos | - punkt wybrany losowo z przedziału całkowania, xlos ∈ R |
| K01: | ii |
| K02: | Dla i = 1,2,...,n : wykonuj kroki K03...K04 |
| K03: | xlos ← liczba losowa z <xp,xk> |
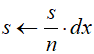
| K04: | s ← s + f(xlos) |
| K05: | ![]() |
| K08: | Zakończ |

Obliczenia rozpoczynamy od pobrania informacji o przedziale całkowania oraz o ilości punktów losowych, które należy wygenerować w celu obliczenia wartości średniej funkcji w tym przedziale. Dokładność metody rośnie wraz ze wzrostem n.
W zmiennej s będziemy obliczać sumy wartości funkcji. Zmienna ta posłuży później do wyliczenia średniej oraz samej całki oznaczonej. Na początku obliczeń ustawiamy ją na 0. W zmiennej dx zapamiętujemy szerokość przedziału całkowania. Wartość ta jest wykorzystywana zwykle przy generacji liczby losowej oraz na końcu przy obliczeniu wartości całki.
Rozpoczynamy pętlę iteracyjną kontrolowaną przez zmienną i. Pętla ta wykona się n-razy. Wewnątrz pętli generujemy liczbę pseudolosową xlos leżącą w przedziale <xp.xk>. Metoda generacji zależy od wybranego języka programowania, który udostępnia odpowiednie funkcje pseudolosowe. Właściwe procedury generacji tej liczby podaliśmy wyżej w tabelce. Po wyznaczeniu liczby pseudolosowej xlos obliczamy wartość funkcji w tym punkcie i dodajemy ją do sumy s. Gdy pętla się zakończy, wyliczamy średnią wartość funkcji w przedziale całkowania, mnożymy ją przez długość tego przedziału i otrzymujemy przybliżoną wartość całki oznaczonej. Wypisujemy wyniki i kończymy algorytm.
W przedziale <0, 1> całka funkcji f(x) = x2 + 2x ma dokładną wartość 1.333... W naszym programie liczymy n = 10000 losowych punktów.
C++// Obliczanie całki oznaczonej
// metodą Monte Carlo
// ---------------------------
// (C)2004 mgr Jerzy Wałaszek
#include <iomanip>
#include <iostream>
#include <cstdlib>
#include <time.h>
using namespace std;
// Tutaj definiujemy funkcję
double f(double x)
{
return(x * x + 2 * x);
}
// Program główny
int main()
{
// liczba punktów losowych
const int N = 10000;
double xp,xk,s,dx;
int i;
// 3 cyfry po przecinku
cout << setprecision(3)
// format stałoprzecinkowy
<< fixed;
cout << "Obliczanie calki oznaczonej\n"
" Metoda Monte Carlo\n"
"---------------------------\n"
"(C)2004 mgr J.Walaszek I LO\n\n"
"f(x) = x * x + 2 * x\n\n"
"Poczatek przedzialu calkowania\n\n"
"xp = ";
cin >> xp;
cout << "\nKoniec przedzialu calkowania\n\n"
"xk = ";
cin >> xk;
cout << endl;
srand(time(NULL));
s = 0;
dx = xk - xp;
for(i = 1; i <= N; i++)
s += f(xp+((double)rand()/(double)(RAND_MAX+1)*dx));
s = dx * s / N;
cout << "Wartosc calki wynosi : " << s
<< endl << endl;
system("pause");
return 0;
}
|
Pascal// Obliczanie całki oznaczonej
// metodą Monte Carlo
// ---------------------------
// (C)2004 mgr Jerzy Wałaszek
program int_montecarlo;
// Tutaj definiujemy funkcję
function f(x : double) : double;
begin
f := x * x + 2 * x;
end;
// Program główny
// Liczba punktów losowych
const N = 10000;
var
xp,xk,s,dx : double;
i : integer;
begin
writeln('Obliczanie calki oznaczonej');
writeln(' Metoda Monte Carlo');
writeln('---------------------------');
writeln('(C)2004 mgr J.Walaszek I LO');
writeln;
writeln('f(x) = x * x + 2 * x');
writeln;
writeln('Poczatek przedzialu calkowania');
writeln;
write('xp = '); readln(xp);
writeln;
writeln('Koniec przedzialu calkowania');
writeln;
write('xk = '); readln(xk);
writeln;
// Inicjujemy generator liczb
// pseudolosowych
randomize;
s := 0;
dx := xk - xp;
for i := 1 to N do
s := s + f(xp + random * dx);
s := dx * s / N;
writeln('Wartosc calki wynosi : ',s:0:3);
writeln;
writeln('Nacisnij Enter...');
readln;
end.
|
Basic' Obliczanie całki oznaczonej
' metodą Monte Carlo
' ---------------------------
' (C)2004 mgr Jerzy Wałaszek
Declare Function f(x As Double) _
As Double
' Program główny
' Liczba punktów losowych
Const N = 10000
Dim As Double xp,xk,s,dx
Dim As Integer i
Print "Obliczanie calki oznaczonej"
Print "za pomoca metody Monte Carlo"
Print "----------------------------"
Print "(C)2004 mgr J.Walaszek I LO"
Print
Print "f(x) = x * x + 2 * x"
Print
Print "Poczatek przedzialu calkowania"
Print
input "xp = ", xp
Print
Print "Koniec przedzialu calkowania"
Print
Input "xk = ", xk
Print
Randomize
s = 0
dx = xk - xp
For i = 1 To N
s += f(xp + Rnd() * dx)
Next
s *= dx / N
Print Using _
"Wartosc calki wynosi : #####.###";s
Print
Print "Nacisnij klawisz Enter..."
Sleep
End
' Tutaj definiujemy funkcję **
function f(x As Double) _
As Double
f = x * x + 2 * x
End Function
|
Python
(dodatek)# Obliczanie całki oznaczonej
# metodą Monte Carlo
# ---------------------------
# (C)2004 mgr Jerzy Wałaszek
import random
def f(x):
return x * x + 2 * x
# Program główny
# Liczba punktów losowych
n = 10000
print("Obliczanie całki oznaczonej")
print("za pomocą metody Monte Carlo")
print("----------------------------")
print("(C)2004 mgr J.Wałaszek I LO")
print()
print("f(x) = x * x + 2 * x")
print()
print("Początek przedziału całkowania")
print()
xp = float(input("xp = "))
print()
print("Koniec przedziału całkowania")
print()
xk = float(input("xk = "))
print()
s = 0
dx = xk - xp
for i in range(1, n + 1):
s += f(random.uniform(xp, xk))
s *= dx / n
print("Wartość całki wynosi : ",end="")
print("%.3f" % s)
print()
input("Naciśnij Enter...")
|
| Wynik: |
Obliczanie całki oznaczonej za pomocą metody Monte Carlo ---------------------------- (C)2004 mgr J.Wałaszek I LO f(x) = x * x + 2 * x Początek przedziału całkowania xp = 0 Koniec przedziału całkowania xk = 1 Wartość całki wynosi : 1.331 Naciśnij Enter... |
JavaScript<html>
<head>
<title>Całkowanie
numeryczne metodą
Monte Carlo</title>
</head>
<body>
<div style="overflow-x: auto;"
align="center">
<table
border="0"
cellpadding="4"
style="border-collapse:
collapse">
<tr>
<td nowrap>
<form
name="frm2"
style="text-align:
center;
background-color:
#E7E7DA">
<b>Obliczanie całki
oznaczonej<br>
za pomocą metody
Monte Carlo
</b><br>
(C)2026 mgr
Jerzy Wałaszek
<hr>
Całkowana funkcja:
<br>
f(x) = x<sup>2</sup> + 2x
<hr>
Przedział całkowania<br>
x<sub>p</sub> =
<input
name="xp_inp"
size="15"
value="0"
type="text"
style="text-align:
right">
<br>
x<sub>k</sub> =
<input
name="xk_inp"
size="15"
value="1"
type="text"
style="text-align:
right">
<hr>
<input
onclick="js_montecarlo();"
value="Oblicz całkę"
name="B2"
type="button">
<hr>
Wartość całki wynosi:
<div id="out2">.</div>
</form>
</td>
</tr>
</table>
</div>
<script language="JavaScript">
// Obliczanie całki oznaczonej
// metodą Monte Carlo
// ---------------------------
// (C)2004 mgr Jerzy Wałaszek
// Tutaj definiujemy funkcję
function f(x)
{
return(x * x + 2 * x);
}
function js_montecarlo()
{
//liczba punktów losowych
var N = 10000;
var xp,xk,s,dx,i,t;
xp = parseFloat(document
.frm2.xp_inp.value);
xk = parseFloat(document
.frm2.xk_inp.value);
if(isNaN(xp) || isNaN(xk))
t = "<font color=red><b>" +
"Popraw dane wejściowe!" +
"</b></font>";
else
{
s = 0;
dx = xk - xp;
for(i = 1; i <= N; i++)
s += f(xp + Math.random() *
dx);
s = dx * s / N;
t = Math.floor(s * 1000) /
1000;
};
document.getElementById("out2")
.innerHTML = t;
}
</script>
</body>
</html> |
![]() |
Zespół Przedmiotowy Chemii-Fizyki-Informatyki w I Liceum Ogólnokształcącym im. Kazimierza Brodzińskiego w Tarnowie ul. Piłsudskiego 4 ©2026 mgr Jerzy Wałaszek |
Materiały tylko do użytku dydaktycznego. Ich kopiowanie i powielanie jest dozwolone pod warunkiem podania źródła oraz niepobierania za to pieniędzy.
Pytania proszę przesyłać na adres email:
Serwis wykorzystuje pliki cookies. Jeśli nie chcesz ich otrzymywać, zablokuj je w swojej przeglądarce.
Informacje dodatkowe.