|
Serwis Edukacyjny Nauczycieli I-LO w Tarnowie
Materiały dla uczniów liceum |
Wyjście Spis treści Wstecz Dalej
Autor artykułu: mgr Jerzy Wałaszek |
©2026 mgr Jerzy Wałaszek
|
Z liczbami zmiennoprzecinkowymi (ang. floating point numbers) spotkaliście się już zapewne na zajęciach z fizyki. Otóż zapis dużych liczb (lub bardzo małych) w normalnej notacji pozycyjnej jest niewygodny, gdyż wymaga sporej ilości cyfr. Dlatego liczby takie zapisuje się w sposób następujący:

Zapis składa się z trzech liczb:
| m - mantysy, u nas równej 3,25 p - podstawy systemu, u nas równej 10 c - cechy, u nas równej 33 |
Wartość liczby zmiennoprzecinkowej obliczamy zgodnie ze wzorem:

Wzór pozwala obliczyć wartość liczby zmiennoprzecinkowej zapisanej w dowolnym systemie pozycyjnym, a nie tylko dziesiętnym.
Przykład:
Obliczyć wartość zmiennoprzecinkowej liczby trójkowej 2,21 · 1021(3).
Najpierw obliczamy wartości poszczególnych składników liczby zmiennoprzecinkowej pamiętając, iż każdy z nich jest zapisany w systemie trójkowym:

Teraz wykorzystujemy podany wzór do wyznaczenia wartości dziesiętnej tej liczby:

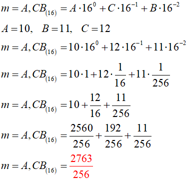
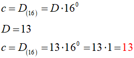
Przykład:
Obliczyć wartość zmiennoprzecinkowej liczby szesnastkowej A,CB · 10D.




Zapis zmiennoprzecinkowy - skąd wzięła się nazwa tego sposobu zapisu liczb? Otóż położenie przecinka w mantysie nie jest ustalone i może się dowolnie zmieniać. Poniższe zapisy oznaczają tę samą liczbę:

Oczywiście zmiana położenia przecinka w mantysie wpływa na wartość cechy liczby. Reguła jest bardzo prosta i obowiązuje we wszystkich systemach pozycyjnych (dlaczego?):
|
Przesunięcie przecinka o 1 pozycję w lewo wymaga
zwiększenia cechy o 1. |
Postaraj się uzasadnić te reguły dla dowolnego systemu pozycyjnego.
Ponieważ liczbę zmiennoprzecinkową można zapisywać w różny sposób, przyjęto tzw. postać znormalizowaną.
|
Umówmy się, iż znormalizowana liczba zmiennoprzecinkowa to taka, w której mantysa spełnia nierówność:
|
Według tej definicji z podanych na początku rozdziału zapisów zmiennoprzecinkowych postacią znormalizowaną jest jedynie zapis 3,25 · 1022. Normalizacja jest rzeczą umowną i istnieją również alternatywne definicje
Jeśli dokładnie przeczytaliście ze zrozumieniem poprzednie rozdziały naszego opracowania, to zadanie przeliczania liczb z systemu dziesiętnego na zapis zmiennoprzecinkowy w systemie o dowolnej podstawie jest dziecinnie łatwe. Jeśli nie, to proponuję to zrobić.
| Algorytm przeliczania liczby dziesiętnej na liczbę zmiennoprzecinkową w innym systemie pozycyjnym |
|---|
|
Przykład:
Dla przykładu zapiszmy liczbę dziesiętną 1275,125 jako zmiennoprzecinkową liczbę w systemie czwórkowym.
Najpierw przeliczamy liczbę 1275,125 na system czwórkowy. Robimy to osobno dla części całkowitej i ułamkowej:
| 1275 div 4 = | 318 | i reszta 3 |
| 318 div 4 = | 79 | i reszta 2 |
| 79 div 4 = | 19 | i reszta 3 |
| 19 div 4 = | 4 | i reszta 3 |
| 4 div 4 = | 1 | i reszta 0 |
| 1 div 4 = | 0 | i reszta 1, koniec |
| 1275(10)= 103323(4) |
Teraz przeliczamy na system czwórkowy część ułamkową liczby:
| 0,125 · 4 = | 0,5 | - cyfra 0 |
| 0,5 · 4 = | 2,0 | - cyfra 2 i kończymy, ponieważ część ułamkowa wynosi 0 |
| 0,125(10)= 0,02(4) |
Łączymy ze sobą oba wyniki i otrzymujemy postać czwórkową przeliczanej liczby dziesiętnej:
| 1275,125(10)= 103323,02(4) |
Liczbę tę zapisujemy z cechą równą 0, czyli
| 103323,02 · 100(4) |
Normalizujemy mantysę. W tym celu przecinek należy przesunąć o 5 pozycji w lewo, zatem cecha wzrośnie do wartości 5, co w systemie czwórkowym ma zapis 11(4)i ostatecznie:
| 1275,125(10)= 1,0332302 · 1011(4) |
Zadanie to można rozwiązać również w inny sposób. Mantysę i cechę docelowej liczby zmiennoprzecinkowej możemy wyznaczyć w systemie dziesiętnym, a następnie liczby te przeliczyć na system docelowy. Korzystamy tutaj z faktu, iż przesunięcie przecinka w systemie docelowym odpowiada pomnożeniu wartości liczby przez podstawę tego systemu (przesunięcie w prawo) lub podzieleniu jej przez podstawę (przesunięcie w lewo). Zatem:
| 1275,125 = 1275,125 · 40 1275,125 = 318,78125 · 41 1275,125 = 79,6953125 · 42 1275,125 = 19,923828125 · 43 1275,125 = 4,98095703125 · 44 1275,125 = 1,2452392578125 · 45 |
Teraz otrzymane liczby wystarczy zamienić na system czwórkowy i mamy gotową zmiennoprzecinkową postać znormalizowaną przeliczanej liczby.
| m = 1,2452392578125 |
Część całkowita wynosi 1, obliczamy zatem część ułamkową mantysy:
| 0,2452392578125 · 4 = | 0,98095703125 | - cyfra 0 |
| 0,98095703125 · 4 = | 3,923828125 | - cyfra 3 |
| 0,923828125 · 4 = | 3,6953125 | - cyfra 3 |
| 0,6953125 · 4 = | 2,78125 | - cyfra 2 |
| 0,78125 · 4 = | 3,125 | - cyfra 3 |
| 0,125 · 4 = | 0,5 | - cyfra 0 |
| 0,5 · 4 = | 2,0 | - cyfra 2 i koniec, gdyż część ułamkowa wynosi zero |
| m = 1,0332302(4) p = 4(10)= 10(4) c = 5(10)= 11(4) |
Zatem ostatecznie:
| 1275,125(10)= 1,0332302 · 1011(4) |
Program dokonuje przeliczenia liczby zmiennoprzecinkowej zapisanej w jednym systemie pozycyjnym na inny system pozycyjny. W programie wykorzystano prezentowane wcześniej algorytmy, dlatego nie opisujemy ich już tutaj.
Program odczytuje podstawę źródłową systemu pozycyjnego, w którym zapisana jest wejściowa liczba zmiennoprzecinkowa. Następnie odczytywana jest mantysa (jako liczba stałoprzecinkowa) oraz cecha (jako liczba całkowita). Zarówno mantysa jak i cecha muszą być zapisane w systemie pozycyjnym o podanej wcześniej podstawie. Na koniec podajemy podstawę systemu docelowego, a program oblicza wartość wprowadzonej liczby i przekształca ją na znormalizowany zapis zmiennoprzecinkowy w systemie docelowym.
Prezentowane algorytmy posiadają pewne ograniczenia. Czy potrafisz je znaleźć w tym programie? Zaproponuj sposoby ich uniknięcia.
C++// Program przeliczający liczby zmiennoprzecinkowe.
//-------------------------------------------------
// (C)2005 mgr Jerzy Wałaszek
// I Liceum Ogólnokształcące
// im. K. Brodzińskiego
// w Tarnowie
//-------------------------------------------------
#include <cmath>
#include <iostream>
#include <string>
using namespace std;
// Funkcja sprawdza poprawność zapisu liczby
// Wejście:
// s - zapis liczby w postaci stałoprzecinkowej
// p - podstawa systemu
// intg - true = liczba musi być całkowita
// Wyjście:
// true, jeśli zapis jest prawidłowy
//------------------------------------------------
bool Test(string s, unsigned p, bool intg)
{
int i,c;
bool pc,prz;
pc = prz = false;
for(i = 0; i < s.length(); i++)
switch(s[i])
{
case '-' : if(pc || prz) return(false); else pc = true;
case ' ' : break;
case ',' : if(prz || intg) return(false); else prz = true;
break;
default : c = (int)(toupper(s[i])) - 48;
if(c > 9) c -= 7;
if(c >= p) return false;
break;
}
return true;
}
// Funkcja oblicza wartość liczby
// Wejście:
// s - łańcuch znakowy z zapisem liczby
// p - podstawa systemu liczbowego zapisu liczby
// Wyjście:
// wartość liczby zapisanej w s
//------------------------------------------------
double Wartosc(string s, unsigned p)
{
unsigned c,i;
long double Lc,Lu,w;
int znak;
bool u;
Lc = Lu = 0; znak = 1; w = 1; u = false;
for(i = 0; i < s.length(); i++)
switch(s[i])
{
case '-' : znak = -1;
case ' ' : break;
case ',' : u = true; break;
default : c = (int)(toupper(s[i])) - 48;
if(c > 9) c -= 7;
if(u)
{
Lu = p * Lu + c; w *= p;
}
else Lc = p * Lc + c;
break;
}
return znak * (Lc + Lu / w);
}
// Funkcja oblicza wartość potęgi
// Wejście:
// a - liczba podnoszona do potęgi
// n - wartość wykładnika potęgowego
// Wyjście:
// a^n
//------------------------------------
double Potega(int a, int n)
{
long double p;
p = 1;
while(n > 0)
{
p *= a; n--;
}
while(n < 0)
{
p /= a; n++;
}
return(p);
}
// Funkcja znajduje zapis stałoprzecinkowy podanej liczby
// Wejście:
// L - wartość liczby
// p - podstawa systemu liczbowego zapisu liczby
// Wyjście:
// zapis liczby w systemie o podstawie p
//-------------------------------------------------------
string Przelicz(double L, unsigned p)
{
string sc,su;
unsigned c;
long double Lu,Lc;
bool znak;
znak = false; sc = su = "";
// Algorytm obsługuje liczby nieujemne. Jeśli więc wartość liczby
// jest ujemna, to zapamiętujemy jej znak i zmieniamy ją na dodatnią
if(L < 0)
{
L = -L; znak = true;
}
// Wyznaczamy część całkowitą Lc oraz część ułamkową Lu.
// Część ułamkowa zostaje zaokrąglona do około 10 cyfr po
// przecinku.
Lc = floor(L); Lu = L - Lc;
// Wyznaczamy zapis części całkowitej w sc
do
{
c = (int)floor(Lc - floor(Lc / p) * p);
if(c < 10)
sc = (char)(c + 48) + sc;
else
sc = (char)(c + 55) + sc;
Lc = floor(Lc / p);
} while(Lc);
// Jeśli część ułamkowa jest niezerowa, to wyznaczamy jej
// zapis w su. Na końcu zapisu usuwamy zera nieznaczące
if(Lu)
{
do
{
Lu = Lu * p;
c = (int)floor(Lu);
Lu = Lu - c;
if(c < 10) su += (char)(c + 48); else su += (char)(c + 55);
} while(Lu && su.length() < 10);
while((su != "") && (su[su.length()-1] == '0'))
su.erase(su.length()-1);
su = "," + su;
}
// Jeśli konieczne, dodajemy znak liczby i całość łączymy
// w jeden zapis.
if(znak) sc = "-" + sc;
return sc + su;
}
//**********************
//*** PROGRAM GŁÓWNY ***
//**********************
main()
{
double m;
int c;
unsigned p1,p2;
string s1,s2;
char z[1];
cout << "Przeliczanie liczb zmiennoprzecinkowych\n"
"---------------------------------------\n"
"(C)2005 mgr Jerzy Walaszek I LO Tarnow\n\n"
"Podstawa zrodlowa = "; cin >> p1;
if((p1 > 1) && (p1 < 37))
{
cout << "\nMantysa = "; cin >> s1;
if(Test(s1,p1,false))
{
cout << "Cecha = "; cin >> s2;
if(Test(s2,p1,true))
{
cout << "\nPodstawa docelowa = "; cin >> p2;
if((p2 > 1) && (p2 < 37))
{
// Obliczamy wartość liczby. Początkowo mantysa jest równa tej
// wartości, a cecha jest równa 0.
m = Wartosc(s1,p1) * Potega(p1,(int)Wartosc(s2,p1));
c = 0;
// Normalizujemy mantysę do przedziału <1,p)
if(m)
{
while(fabs(m) >= p2)
{
m /= p2; c++;
};
while(fabs(m) < 1 )
{
m *= p2; c--;
}
}
cout << endl << s1 << "x10^" << s2 << "(" << p1 << ") = "
<< Przelicz(m,p2) << "x10^" << Przelicz(c,p2)
<< "(" << p2 << ")";
}
else cout << "Nieprawidlowa podstawa docelowa";
}
else cout << "Nieprawidlowa cecha";
}
else cout << "Nieprawidlowa mantysa";
}
else cout << "Nieprawidlowa podstawa zrodlowa";
cout << "\n\nNacisnij ENTER...\n";
cin.getline(z,1);
cin.getline(z,1);
}
|
Pascal// Program przeliczający liczby zmiennoprzecinkowe.
//-------------------------------------------------
// (C)2005 mgr Jerzy Wałaszek
// I Liceum Ogólnokształcące
// im. K. Brodzińskiego
// w Tarnowie
//-------------------------------------------------
program Systemy;
{$APPTYPE CONSOLE}
// Funkcja sprawdza poprawność zapisu liczby
// Wejście:
// s - zapis liczby w postaci stałoprzecinkowej
// p - podstawa systemu
// intg - true = liczba musi być całkowita
// Wyjście:
// true, jeśli zapis jest prawidłowy
//------------------------------------------------
function Test(s : string; p : cardinal; intg : boolean) : boolean;
var
i,c : integer;
pc,prz : boolean;
begin
Test := true;
pc := false; prz := false;
for i := 1 to length(s) do
case s[i] of
' ' : continue;
'-' : if pc or prz then
begin
Test := false; break;
end
else pc := true;
',' : if prz or intg then
begin
Test := false; break;
end
else prz := true;
else
begin
c := ord(UpCase(s[i])) - 48;
if c > 9 then dec(c,7);
if c >= p then
begin
Test := false; break;
end;
end;
end;
end;
// Funkcja oblicza wartość liczby
// Wejście:
// s - łańcuch znakowy z zapisem liczby
// p - podstawa systemu liczbowego zapisu liczby
// Wyjście:
// wartość liczby zapisanej w s
//------------------------------------------------
function Wartosc(s : string; p : cardinal) : real;
var
Lc,Lu,w : extended;
c,i : cardinal;
znak : integer;
u : boolean;
begin
Lc := 0; Lu := 0; w := 1; u := false; znak := 1;
for i := 1 to length(s) do
case s[i] of
'-' : znak := -1;
',' : u := true;
else
begin
c := ord(UpCase(s[i])) - 48;
if c > 9 then dec(c,7);
if u then
begin
Lu := p * Lu + c;
w := p * w;
end
else Lc := p * Lc + c;
end;
end;
Wartosc := znak * (Lc + Lu / w);
end;
// Funkcja oblicza wartość potęgi
// Wejście:
// a - liczba podnoszona do potęgi
// n - wartość wykładnika potęgowego
// Wyjście:
// a^n
//------------------------------------
function Potega(a,n : integer) : real;
var
p : extended;
begin
p := 1;
while n > 0 do
begin
p := p * a;
dec(n);
end;
while n < 0 do
begin
p := p / a;
inc(n);
end;
Potega := p;
end;
// Funkcja znajduje zapis stałoprzecinkowy podanej liczby
// Wejście:
// L - wartość liczby
// p - podstawa systemu liczbowego zapisu liczby
// Wyjście:
// zapis liczby w systemie o podstawie p
//-------------------------------------------------------
function Przelicz(L : real; p : cardinal) : string;
var
sc,su : string;
c : cardinal;
Lc,Lu : extended;
znak : boolean;
begin
znak := false; sc := ''; su := '';
// Algorytm obsługuje liczby nieujemne. Jeśli więc wartość liczby
// jest ujemna, to zapamiętujemy jej znak i zmieniamy ją na dodatnią
if L < 0 then
begin
L := -L;
znak := true;
end;
// Wyznaczamy część całkowitą Lc oraz część ułamkową Lu.
// Część ułamkowa zostaje zaokrąglona do około 10 cyfr po
// przecinku.
Lc := trunc(L);
Lu := frac(L);
// Wyznaczamy zapis części całkowitej w sc
repeat
c := trunc(Lc - trunc(Lc / p) * p);
if c < 10 then
sc := char(c + 48) + sc
else
sc := char(c + 55) + sc;
Lc := trunc(Lc / p);
until Lc = 0;
// Jeśli część ułamkowa jest niezerowa, to wyznaczamy jej
// zapis w su. Na końcu zapisu usuwamy zera nieznaczące
if Lu > 0 then
begin
repeat
Lu := Lu * p;
c := trunc(Lu);
Lu := Lu - c;
if c < 10 then
su := su + char(c + 48)
else
su := su + char(c + 55);
until (Lu = 0) or (length(su) = 10);
while (su <> '') and (su[length(su)] = '0') do
Delete(su,length(su),1);
su = "," + su
end;
// Jeśli konieczne, dodajemy znak liczby i całość łączymy
// w jeden zapis.
if znak then sc := '-' + sc;
Przelicz := sc + su;
end;
//**********************
//*** PROGRAM GŁÓWNY ***
//**********************
var
m : real;
c : integer;
p1,p2 : cardinal;
s1,s2 : string;
begin
writeln('Przeliczanie liczb zmiennoprzecinkowych');
writeln('---------------------------------------');
writeln('(C)2005 mgr Jerzy Walaszek I LO Tarnow');
writeln;
write('Podstawa zrodlowa = '); readln(p1);
if p1 in [2..36] then
begin
writeln;
write('Mantysa = '); readln(s1);
if Test(s1,p1,false) then
begin
write('Cecha = '); readln(s2);
if Test(s2,p1,true) then
begin
writeln;
write('Podstawa docelowa = '); readln(p2);
if p2 in [2..36] then
begin
// Obliczamy wartość liczby. Początkowo mantysa jest równa tej
// wartości, a cecha jest równa 0.
m := Wartosc(s1,p1) * Potega(p1,round(Wartosc(s2,p1)));
c := 0;
// Normalizujemy mantysę do przedziału <1,p>
if m <> 0 then
begin
while Abs(m) >= p2 do
begin
m := m / p2;
inc(c);
end;
while Abs(m) < 1 do
begin
m := m * p2;
dec(c);
end;
end;
writeln;
writeln(s1,'x10^',s2,'(',p1,') = ',
Przelicz(m,p2),'x10^',Przelicz(c,p2),'(',p2,')');
end
else
writeln('Nieprawidlowa podstawa docelowa');
end
else
writeln('Nieprawidlowa cecha');
end
else
writeln('Nieprawidlowa mantysa');
end
else
writeln('Nieprawidlowa podstawa zrodlowa');
writeln;
writeln('Nacisnij klawisz Enter...');
readln;
end.
|
Basic' Program przeliczający liczby zmiennoprzecinkowe.
'-------------------------------------------------
' (C)2005 mgr Jerzy Wałaszek
' I Liceum Ogólnokształcące
' im. K. Brodzińskiego
' w Tarnowie
'-------------------------------------------------
Option Explicit On
Module Module1
' Funkcja sprawdza poprawność zapisu liczby
' Wejście:
' s - zapis liczby w postaci stałoprzecinkowej
' p - podstawa systemu
' intg - True = liczba musi być całkowita
' Wyjście:
' True, jeśli zapis jest prawidłowy
'------------------------------------------------
Public Function Test(ByVal s As String, ByVal p As Integer, _
ByVal intg As Boolean) As Boolean
Dim i, c As Integer
Dim pc, prz As Boolean
s = s.ToUpper()
pc = False : prz = False
For i = 0 To s.Length() - 1
Select Case s.Chars(i)
Case " " : Continue For
Case "-" : If pc Or prz Then
Return False
Else
pc = True
End If
Case "," : If prz Or intg Then
Return False
Else
prz = True
End If
Case Else
c = Asc(s.Chars(i)) - 48
If c > 9 Then c -= 7
If c >= p Then Return False
End Select
Next
Return True
End Function
' Funkcja oblicza wartość liczby
' Wejście:
' s - łańcuch znakowy z zapisem liczby
' p - podstawa systemu liczbowego zapisu liczby
' Wyjście:
' wartość liczby zapisanej w s
'------------------------------------------------
Public Function Wartosc(ByVal s As String, ByVal p As Integer) As Double
Dim Lc, Lu, w As Double
Dim c, i As UInteger
Dim znak As Integer, u As Boolean
s = s.ToUpper()
Lc = 0 : Lu = 0 : w = 1 : u = False : znak = 1
For i = 0 To s.Length() - 1
Select Case s.Chars(i)
Case "-" : znak = -1
Case "," : u = True
Case Else : c = Asc(s.Chars(i)) - 48
If c > 9 Then c -= 7
If u Then
Lu = p * Lu + c : w *= p
Else
Lc = p * Lc + c
End If
End Select
Next
Return znak * (Lc + Lu / w)
End Function
' Funkcja oblicza wartość potęgi
' Wejście:
' a - liczba podnoszona do potęgi
' n - wartość wykładnika potęgowego
' Wyjście:
' a^n
'------------------------------------
Public Function Potega(ByVal a As Integer, ByVal n As Integer) As Double
Dim p As Double
p = 1
While n > 0
p *= a : n -= 1
End While
While n < 0
p /= a : n += 1
End While
Return p
End Function
' Funkcja znajduje zapis stałoprzecinkowy podanej liczby
' Wejście:
' L - wartość liczby
' p - podstawa systemu liczbowego zapisu liczby
' Wyjście:
' zapis liczby w systemie o podstawie p
'-------------------------------------------------------
Public Function Przelicz(ByVal L As Double, ByVal p As Integer) As String
Dim sc, su As String
Dim c As UInteger
Dim Lc, Lu As Double
Dim znak As Boolean
znak = False : sc = "" : su = ""
' Algorytm obsługuje liczby nieujemne. Jeśli więc wartość liczby
' jest ujemna, to zapamiętujemy jej znak i zmieniamy ją na dodatnią
If L < 0 Then
L = -L : znak = True
End If
' Wyznaczamy część całkowitą Lc oraz część ułamkową Lu.
' Część ułamkowa zostaje zaokrąglona do około 10 cyfr po
' przecinku.
Lc = Int(L) : Lu = L - Lc
' Wyznaczamy zapis części całkowitej w sc
Do
c = Int(Lc - Int(Lc / p) * p)
If c < 10 Then
sc = Chr(c + 48) + sc
Else
sc = Chr(c + 55) + sc
End If
Lc = Int(Lc / p)
Loop Until Lc = 0
' Jeśli część ułamkowa jest niezerowa, to wyznaczamy jej
' zapis w su. Na końcu zapisu usuwamy zera nieznaczące
If Lu > 0 Then
Do
Lu *= p
c = Int(Lu)
Lu -= c
If c < 10 Then
su += Chr(c + 48)
Else
su += Chr(c + 55)
End If
Loop Until (Lu = 0) Or (su.Length() = 10)
su = su.TrimEnd("0")
su = "," + su
End If
' Jeśli konieczne, dodajemy znak liczby i całość łączymy
' w jeden zapis.
If znak Then sc = "-" + sc
Return sc + su
End Function
Sub Main()
Dim m As Double
Dim c, p1, p2 As Integer
Dim s1, s2 As String
Console.WriteLine("Przeliczanie liczb zmiennoprzecinkowych")
Console.WriteLine("---------------------------------------")
Console.WriteLine("(C)2005 mgr Jerzy Wałaszek I LO Tarnów")
Console.WriteLine()
Console.Write("Podstawa źródłowa = ") : p1 = Val(Console.ReadLine)
If (p1 >= 2) And (p2 <= 36) Then
Console.WriteLine()
Console.Write("Mantysa = ") : s1 = Console.ReadLine
If Test(s1, p1, False) Then
Console.Write("Cecha = ") : s2 = Console.ReadLine
If Test(s2, p1, True) Then
Console.WriteLine()
Console.Write("Podstawa docelowa = ") : p2 = Val(Console.ReadLine)
If (p2 >= 2) And (p2 <= 36) Then
' Obliczamy wartość liczby. Początkowo mantysa jest równa tej
' wartości, a cecha jest równa 0.
m = Wartosc(s1, p1) * Potega(p1, Int(Wartosc(s2, p1)))
c = 0
' Normalizujemy mantysę do przedziału <1,p>
If m <> 0 Then
While Math.Abs(m) >= p2
m /= p2 : c += 1
End While
While Math.Abs(m) < 1
m *= p2 : c -= 1
End While
End If
Console.WriteLine()
Console.WriteLine("{0}x10^{1}({2}) = {3}x10^{4}({5})", _
s1, s2, p1, Przelicz(m, p2), Przelicz(c, p2), p2)
Else
Console.WriteLine("Nieprawidłowa podstawa docelowa")
End If
Else
Console.WriteLine("Nieprawidłowa cecha")
End If
Else
Console.WriteLine("Nieprawidłowa mantysa")
End If
Else
Console.WriteLine("Nieprawidłowa podstawa źródłowa")
End If
Console.WriteLine()
Console.WriteLine("KONIEC. Naciśnij dowolny klawisz...")
Console.ReadLine()
End Sub
End Module
|
JavaScript<html>
<head>
</head>
<body>
<div align="center">
<form style="BORDER-RIGHT: #ff9933 1px outset;
PADDING-RIGHT: 4px;
BORDER-TOP: #ff9933 1px outset;
PADDING-LEFT: 4px;
PADDING-BOTTOM: 1px;
BORDER-LEFT: #ff9933 1px outset;
PADDING-TOP: 1px;
BORDER-BOTTOM: #ff9933 1px outset;
BACKGROUND-COLOR: #ffcc66"
name="frmprzelicz">
<h3 id="data_out" style="text-align: center">
Przeliczanie liczb zmiennoprzecinkowych<br>
w różnych systemach pozycyjnych
</h3>
<p style="TEXT-ALIGN: center">
(C)2005 mgr Jerzy Wałaszek I LO w Tarnowie
</p>
<hr>
<div align="center">
<table border="0" cellpadding="4" bgcolor="#FF9933">
<tr>
<td align="right">podstawa źródłowa = </td>
<td>
<input type="text" name="p1" size="20" value="10"
style="text-align: right;">
dziesiętnie
</td>
</tr>
<tr>
<td align="right">mantysa źródłowa = </td>
<td>
<input type="text" name="s1" size="20" value="3,33333333"
style="text-align: right">
źródłowo
</td>
</tr>
<tr>
<td align="right">cecha źródłowa = </td>
<td>
<input type="text" name="s2" size="20" value="-1"
style="text-align: right">
źródłowo
</td>
</tr>
<tr>
<td align="right">podstawa docelowa = </td>
<td>
<input type="text" name="p2" size="20" value="3"
style="text-align: right;">
dziesiętnie
</td>
</tr>
</table>
<p style="text-align: center">
<input type="button" value="Przelicz" name="B1" onclick="main();">
</p>
<p style="TEXT-ALIGN: center" id="out_t">...</p>
</div>
</form>
<script language=javascript>
// Program przeliczający liczby zmiennoprzecinkowe.
//-------------------------------------------------
// (C)2005 mgr Jerzy Wałaszek
// I Liceum Ogólnokształcące
// im. K. Brodzińskiego
// w Tarnowie
//-------------------------------------------------
// Funkcja sprawdza poprawność zapisu liczby
// Wejście:
// s - zapis liczby w postaci stałoprzecinkowej
// p - podstawa systemu
// intg - true = liczba musi być całkowita
// Wyjście:
// true, jeśli zapis jest prawidłowy
//------------------------------------------------
function Test(s,p,intg)
{
var i,c,pc,prz;
s = s.toUpperCase();
pc = prz = false;
for(i = 0; i < s.length; i++)
switch(s.charAt(i))
{
case '-' : if(pc || prz) return(false); else pc = true;
case ' ' : break;
case ',' : if(prz || intg) return(false); else prz = true;
break;
default : c = s.charCodeAt(i) - 48;
if(c > 9) c -= 7;
if(c >= p) return(false);
break;
};
return(true);
}
// Funkcja oblicza wartość liczby
// Wejście:
// s - łańcuch znakowy z zapisem liczby
// p - podstawa systemu liczbowego zapisu liczby
// Wyjście:
// wartość liczby zapisanej w s
//------------------------------------------------
function Wartosc(s,p)
{
var c,i,Lc,Lu,w,znak,u;
Lc = Lu = 0; znak = w = 1; u = false; s = s.toUpperCase();
for(i = 0; i < s.length; i++)
switch(s.charAt(i))
{
case '-' : znak = -1;
case ' ' : break;
case ',' : u = true; break;
default : c = s.charCodeAt(i) - 48;
if(c > 9) c -= 7;
if(u)
{
Lu = p * Lu + c; w *= p;
}
else Lc = p * Lc + c;
break;
};
return(znak * (Lc + Lu / w));
}
// Funkcja oblicza wartość potęgi
// Wejście:
// a - liczba podnoszona do potęgi
// n - wartość wykładnika potęgowego
// Wyjście:
// a^n
//------------------------------------
function Potega(a,n)
{
var p;
p = 1;
while(n > 0)
{
p *= a; n--;
};
while(n < 0)
{
p /= a; n++;
};
return(p);
}
// Funkcja znajduje zapis stałoprzecinkowy podanej liczby
// Wejście:
// L - wartość liczby
// p - podstawa systemu liczbowego zapisu liczby
// Wyjście:
// zapis liczby w systemie o podstawie p
//-------------------------------------------------------
function Przelicz(L,p)
{
var sc,su,Lu,Lc,c,znak;
znak = false; sc = su = "";
// Algorytm obsługuje liczby nieujemne. Jeśli więc wartość liczby
// jest ujemna, to zapamiętujemy jej znak i zmieniamy ją na dodatnią
if(L < 0)
{
L = -L; znak = true;
};
// Wyznaczamy część całkowitą Lc oraz część ułamkową Lu.
// Część ułamkowa zostaje zaokrąglona do około 10 cyfr po
// przecinku.
Lc = Math.floor(L); Lu = L - Lc;
// Wyznaczamy zapis części całkowitej w sc
do
{
c = Math.floor(Lc - Math.floor(Lc / p) * p);
if(c < 10)
sc = String.fromCharCode(c + 48) + sc;
else
sc = String.fromCharCode(c + 55) + sc;
Lc = Math.floor(Lc / p);
} while(Lc);
// Jeśli część ułamkowa jest niezerowa, to wyznaczamy jej
// zapis w su. Na końcu zapisu usuwamy zera nieznaczące
if(Lu)
{
do
{
Lu = Lu * p;
c = Math.floor(Lu);
Lu = Lu - c;
if(c < 10)
su += String.fromCharCode(c + 48);
else
su += String.fromCharCode(c + 55);
} while(Lu && su.length < 10);
while((su != "") && (su.charAt(su.length - 1) == '0'))
su = su.substring(0,su.length-1);
su = "," + su;
};
// Jeśli konieczne, dodajemy znak liczby i całość łączymy
// w jeden zapis.
if(znak) sc = "-" + sc;
return(sc + su);
}
//**********************
//*** PROGRAM GŁÓWNY ***
//**********************
function main()
{
var m,c,p1,p2,s1,s2,t;
p1 = parseInt(document.frmprzelicz.p1.value);
if(!isNaN(p1) && (p1 > 1) && (p1 < 37))
{
s1 = document.frmprzelicz.s1.value;
if(Test(s1,p1,false))
{
s2 = document.frmprzelicz.s2.value;
if(Test(s2,p1,true))
{
p2 = parseInt(document.frmprzelicz.p2.value);
if(!isNaN(p2) && (p2 > 1) && (p2 < 37))
{
// Obliczamy wartość liczby. Początkowo mantysa jest równa tej
// wartości, a cecha jest równa 0.
m = Wartosc(s1,p1) * Potega(p1,Wartosc(s2,p1));
c = 0;
// Normalizujemy mantysę do przedziału <1/p,1)
if(m)
{
while(Math.abs(m) >= p2)
{
m /= p2; c++;
};
while(Math.abs(m) < 1)
{
m *= p2; c--;
};
};
t = s1 + " x 10<sup>" + s2 + "</sup><sub>(" +
p1 + ")</sub> = " +
Przelicz(m,p2) + " x 10<sup>" +
Przelicz(c,p2) + "</sup><sub>(" + p2 + ")</sub>";
}
else t = "<font color=Red><b>Nieprawidlowa podstawa docelowa</b></font>";
}
else t = "<font color=Red><b>Nieprawidłowa cecha</b></font>";
}
else t = "<font color=Red><b>Nieprawidłowa mantysa</b></font>";
}
else t = "<font color=Red><b>Nieprawidłowa podstawa źródłowa</b></font>";
document.getElementById("out_t").innerHTML = t;
return 0;
}
</script>
</div>
</body>
</html>
|
| Wynik: |
| Przeliczanie liczb
zmiennoprzecinkowych --------------------------------------- (C)2005 mgr Jerzy Wałaszek I LO Tarnów Podstawa źródłowa = 10 Mantysa = 23,56 Cecha = -2 Podstawa docelowa = 2 23,56x10^-2(10) = 1,111000101x10^-11(2) KONIEC. Naciśnij dowolny klawisz... |
Oblicz wartość dziesiętną następujących liczb zmiennoprzecinkowych (pamiętaj, że wszystkie składniki liczby są zapisane w tym samym systemie pozycyjnym). Jeśli wynik jest ułamkowy, to wprowadź go w postaci części całkowitej i ułamka właściwego. Pomiędzy częścią całkowitą a ułamkiem musisz umieścić dokładnie jedną spację, np. 356 15/16.
Przelicz podane liczby dziesiętne kolejno na zmiennoprzecinkowy system szesnastkowy, ósemkowy i dwójkowy. Wyniki przedstaw w postaci znormalizowanej.
1 · 105 5,12 · 102 27,25 · 10-2
W rozdziale przedstawiliśmy podstawową wiedzę związaną z pozycyjnymi systemami liczenia, którą musi sobie przyswoić każdy informatyk. Chociaż nie ograniczaliśmy się do konkretnych systemów liczbowych (celowo!), w praktyce będziemy spotykać tylko cztery systemy pozycyjne: dwójkowy, ósemkowy, dziesiętny oraz szesnastkowy. Pozostałe mają znaczenie marginalne.
Ważne jest, abyście zrozumieli, iż pewne prawidłowości zachodzą we wszystkich systemach pozycyjnych i poznanie ich znacznie ułatwia wszelkie przeliczenia. Dla człowieka najbardziej zrozumiałym systemem jest system dziesiętny, dla komputera z kolei jest on niewygodny i stosuje się tutaj system dwójkowy, którym zajmiemy się dokładniej w dalszych rozdziałach naszego artykułu. Jednakże będziemy się ciągle odwoływać do materiału zawartego w tym rozdziale.
Zobacz dalej...
Wartość liczby pozycyjnej | Schemat Hornera | Przeliczenia na inny zapis pozycyjny | Wartość liczby stałoprzecinkowej | Przeliczanie na zapis stałoprzecinkowy
![]() |
Zespół Przedmiotowy Chemii-Fizyki-Informatyki w I Liceum Ogólnokształcącym im. Kazimierza Brodzińskiego w Tarnowie ul. Piłsudskiego 4 ©2026 mgr Jerzy Wałaszek |
Materiały tylko do użytku dydaktycznego. Ich kopiowanie i powielanie jest dozwolone pod warunkiem podania źródła oraz niepobierania za to pieniędzy.
Pytania proszę przesyłać na adres email:
Serwis wykorzystuje pliki cookies. Jeśli nie chcesz ich otrzymywać, zablokuj je w swojej przeglądarce.
Informacje dodatkowe.