![]() |
Autor artykułu: mgr Jerzy Wałaszek, wersja1.0 |
©2010 mgr
Jerzy Wałaszek
|
Zadanie opracowane na podstawie książki "Fizyka z komputerem", autor Maciej Zawacki, wydawnictwo Helion edukacja.
Pewne ciało porusza się ruchem zmiennym, w którym droga jest następującą funkcją czasu:

Naszym zadaniem jest otrzymanie wykresów drogi, prędkości chwilowej oraz przyspieszenia chwilowego w funkcji czasu t.
Z wykresem drogi nie będzie problemu - robimy go dokładnie wg metody opisanej w poprzedniej lekcji:
utworzymy przedział <tp, tk>
przedział podzielimy na n równoodległych o dt punktów t0, t1, ... tn-1
dla każdego z tych punktów wyznaczymy wartość drogi wg podanego wzoru
z punktów ti , s(ti) otrzymamy wykres funkcji
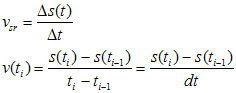
Wykres prędkości chwilowej otrzymamy obliczając wartości tej prędkości w kolejnych punktach t1, t2, ..., tn-1 na podstawie wzoru:

Otrzymane wartości v(ti) umożliwią nam uzyskanie odpowiedniego wykresu.
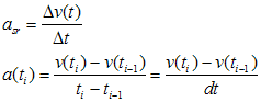
Podobnie obliczymy wartości chwilowe przyspieszenia dla punktów t2, t3, ... tn-1:

Mamy wszystkie wzory, przystępujemy do tworzenia arkusza. Najpierw wpisz etykiety tekstowe do odpowiednich komórek arkusza:

Teraz w kolumnie B umieść przykładowe dane:

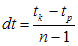
W komórce B10 należy umieścić formułę, która oblicza odległość w czasie pomiędzy dwoma sąsiednimi punktami czasu. Wzór określiliśmy na poprzedniej lekcji:


Dane dla wykresów umieścimy w kolumnach D,E,F,G i H. Najpierw wpisz tam etykiety kolumn w pierwszym i w drugim wierszu:

W komórkach D2 i D3 umieść liczby 0 i 1. Zaznacz te komórki, chwyć uchwyt kopiowania w prawym dolnym rogu zaznaczenia i przeciągnij w dół do komórki D103. Kolumna ta zawiera numery punktów od 0 do 100.
Kolumny E, F, G i H (zaznacz je wspólnie przeciągając wciśniętym lewym przyciskiem myszki po oznaczeniach kolumn u góry arkusza) sformatuj do wyświetlania liczb z dwoma miejscami po przecinku oraz w kolorze czerwonym dla wartości ujemnych.

W kolumnie E będą kolejne punkty czasu ti. Wzór podaliśmy na poprzedniej lekcji:

Do komórki E3 wprowadź formułę:

Wciśnij klawisz Enter, wróć do komórki E3, chwyć za uchwyt kopiowania w prawym dolnym rogu i przeciągnij go aż do komórki E103. Pojawią się kolejne punkty czasu:

Przechodzimy do wprowadzania wartości funkcji, która wyraża się wzorem:

Do komórki F3 wpisz formułę:

Wciśnij klawisz Enter, wróć kursorem do komórki E3, chwyć za uchwyt kopiowania w prawym dolnym rogu kursora i przeciągnij w dół aż do komórki E103. Otrzymasz wartości drogi dla wyznaczonych w kolumnie E punktów w czasie.

W kolumnie G mają się znaleźć wartości prędkości chwilowej dla punktów t1, t2, ... tn-1. Liczymy je wg wzoru:

Zwróć uwagę, że nie ma prędkości w punkcie początkowym t0. Wynika to z różnicowej natury naszego wzoru. Dla tego punktu nie mamy wartości poprzedniej drogi, wg której moglibyśmy obliczyć v0. Dlatego wprowadzanie formuły rozpocznij od komórki G4, a nie od G3:

Wprowadzoną formułę skopiuj w dół aż do komórki F103. Otrzymasz kolejne wartości chwilowych prędkości w wyznaczonych punktach czasu:

Ostatnią czynnością przed utworzeniem wykresów jest przygotowanie kolumny G z wartościami chwilowego przyspieszenia, wg wzoru:

Zwróć uwagę, iż pierwszym przyspieszeniem może być dopiero a2, ponieważ wcześniejszych wartości nie ma z czego obliczyć. Do komórki H5 wpisz formułę (zauważ, że możesz ją również przekopiować z G5, gdyż posiada identyczną budowę!):

Formułę przekopiuj na pozostałe komórki do H103. Otrzymasz wartości chwilowego przyspieszenia w wyznaczonych punktach czasu t2, t3 ... tn-1:

Dane dla wykresów są gotowe. Zaznacz kolumny E i F i uruchom kreatora wykresów. Wybierz wykres XY (Punktowy) - linie wygładzone, sformatuj go i umieść na arkuszu obok kolumny H:

Zaznacz kolumny E i G (najpierw kliknij w oznaczenie kolumny E, następnie przytrzymaj wciśnięty klawisz Ctrl i kliknij w oznaczenie kolumny G) i utwórz kolejny wykres XY (Punktowy). Umieść go pod poprzednim wykresem:

Na koniec zaznacz kolumny E i H, utwórz wykres przyspieszenia w funkcji czasu:

Ciekawą opcją Excela jest możliwość przybliżania wykresu funkcji funkcją liniową lub wielomianową - tzw. linia trendu. Na przykład, ostatni wykres przyspieszenia w funkcji czasu jest linią prostą. Załóżmy, iż chcielibyśmy poznać równanie tej prostej. W tym celu kliknij prawym przyciskiem myszki linię na wykresie i z menu kontekstowego wybierz opcję Dodaj linię trendu. W odpowiedzi pojawi się okno dialogowe:

Wybierz typ trendu liniowy, następnie kliknij zakładkę Opcje i zaznacz Wyświetl równanie na wykresie. Na wykresie pojawi się wzór linii trendu:
y = 3x-83
Należy go odczytywać jako:
a(t) = 3t-83
W ten sposób poznaliśmy wzór funkcji przyspieszenia. W podobny sposób możemy poznać wzór funkcji prędkości. W tym celu na wykresie prędkości wstaw linię trendu wielomianową stopnia 2. Wzór tej linii będzie miał postać:
y = 1,5x2 - 81,5x + 42,5
Należy go odczytywać jako:
v(t) = 1,5t2 - 81,5t + 42,5
![]() | I Liceum Ogólnokształcące |
Pytania proszę przesyłać na adres email: i-lo@eduinf.waw.pl
W artykułach serwisu są używane cookies. Jeśli nie chcesz ich otrzymywać,
zablokuj je w swojej przeglądarce.
Informacje dodatkowe