![]() |
Autor artykułu: mgr Jerzy Wałaszek, wersja1.0 |
©2010 mgr
Jerzy Wałaszek
|
Często obliczenia musimy zobrazować wykresem - szczególnie dotyczy to różnego rodzaju analiz i symulacji komputerowych. Jeden wykres jest lepszy od tysiąca liczb. Wykres w arkuszu kalkulacyjnym MS-Excel będzie oparty na współrzędnych punktów. Zasada jest następująca:

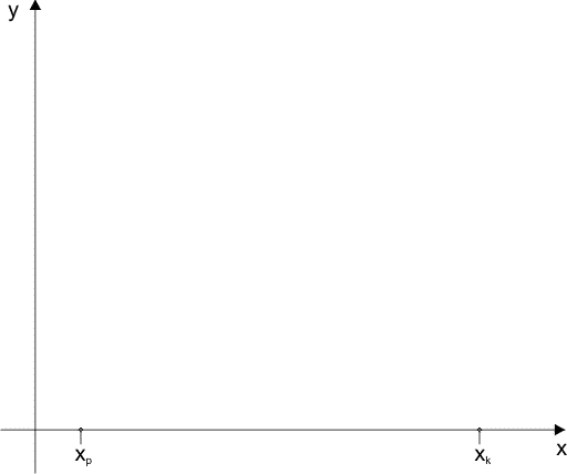
Na osi OX wybieramy dwa punkty xp oraz xk. Punkty te wyznaczą nam przedział argumentów, dla którego arkusz będzie tworzył wykres funkcji.
xp - punkt początkowy przedziału
xk - punkt końcowy przedziału

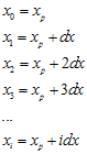
Przedział dzielimy na n równoodległych od siebie punktów x0, x1, ... xn-1.

Wyznaczamy odległość dx pomiędzy dwoma sąsiednimi punktami wg wzoru:

Wzór ten można bardzo prosto wytłumaczyć: n punktów x0, x1, ..., xn dzieli przedział <xp,xk> na n - 1 równych odcinków dx. Zatem, aby obliczyć dx, dzielimy długość przedziału przez liczbę odcinków i otrzymujemy powyższy wzór.
Teraz możemy wyznaczyć wartości poszczególnych punktów xi, i = 0, 1, ..., n-1:


Dla każdego z punktów xi, i = 0..n-1, obliczamy wartości funkcji f(xi).

Otrzymane w ten sposób punkty połączymy wygładzonymi liniami za pomocą kreatora wykresów.
Wg opisanej metody stworzymy wykres funkcji f(x) = x2sin(x3-x)
1. Uruchom arkusz kalkulacyjny Excel.
2. W komórkach A1, A2, A3 i A4 wpisz teksty (dosuń je do prawej krawędzi komórki):

3. W komórkach kolumny B umieścimy wartości oraz formuły:

Za n przyjęliśmy 101. Dlaczego nie 100? Ponieważ wtedy długość przedziału byłaby dzielona przez 99 i otrzymalibyśmy nieładnie rozłożone punkty.
4. Teraz musimy przygotować kolumny z danymi. Najpierw wpiszemy etykiety kolumn. W kolumnie A będziemy mieli numery punktów. W kolumnie B będą wartości kolejnych punktów. W kolumnie C będą wartości funkcji dla wyznaczonych punktów w przedziale. W tym celu w komórkach A6, B6 i C6 wpisz:

5. Komórki A7...A107 musimy teraz wypełnić kolejnymi liczbami 0,1,2,...,100. Oczywiście nie zrobimy tego ręcznie, lecz skorzystamy z funkcji edycyjnych Excela. Do komórek A7 i A8 wpisz kolejno:

Zaznacz obie komórki A7 i A8:

Następnie chwyć myszką mały kwadracik w prawym dolnym rogu zaznaczenia i ciągnij go w dół. W ten sposób każesz Excelowi powielać zaznaczone komórki. Ponieważ w komórkach są różne wartości, Excel utworzy ciąg arytmetyczny i w efekcie w wynikowym obszarze otrzymamy kolejne liczby 0, 1, 2... Przeciąganie w dół przerywamy na komórce A107 - Excel informuje cię o ostatniej wartości w małym żółtym okienku. Zatem możesz również przerwać przeciąganie, gdy w tym okienku pojawi się liczba 100.

Gdy przygotujemy kolumnę z numerami punktów, przejdziemy do przygotowania kolumny z wartościami kolejnych punktów xi. Do komórki B7 wpisujemy formułę (adresy komórek we formule możesz wpisywać ręcznie lub klikać na odpowiednie komórki arkusza. Adres bezwzględny uzyskujesz klikając na odpowiednią komórkę i wciskając klawisz F4):

Jeśli wpiszesz poprawnie formułę, to po wciśnięciu klawisza Enter w komórce B7 powinna pojawić się wartość 1, czyli punkt xp. Wróć do komórki B7, chwyć myszką kwadracik w prawym dolnym rogu prostokąta wyboru i przeciągnij go w dół do komórki B107. Otrzymasz wartości kolejnych punktów xi:

Ostatnią wartością w komórce B107 powinno być 3, czyli xk.
Pozostało nam jedynie przygotowanie kolumny C z wartościami funkcji dla wyznaczonych punktów xi. Przechodzimy do komórki C7 i wpisujemy formułę:

Następnie skopiuj komórkę C7 na komórki C8...C107. Otrzymasz wartości funkcji w punktach xi.

6. Zaznacz na arkuszu komórki z wartościami punktów xi oraz wartościami funkcji:

Uruchom kreatora wykresów, klikając na górnym pasku narzędziowym w ikonę:
![]()
Jeśli z jakiś powodów ikona ta nie jest dostępna, wybierz opcję menu Wstaw/Wykres.
Pojawi się okienko kreatora wykresów. Jako typ wykresu wybierz XY (Punktowy) i podtyp z wygładzonymi liniami:

Kliknij przycisk Dalej. Otrzymasz okienko, w którym już nasz wykres jest widoczny:

Na tym etapie możesz już zakończyć tworzenie wykresu. Jeśli jednak chcesz go sformatować, to kliknij przycisk Dalej. W następnym okienku określisz różne opcje związane z wykresem:

Za pierwszym razem proponuję przeglądnięcie tych opcji - później zawsze można formatować wykres wizualnie, klikając podwójnie myszką w jego elementy. Gdy będziesz gotowy, kliknij przycisk Dalej. Ostatnie okienko pozwala ci zdecydować, czy wykres stanie się osobnym arkuszem, czy też zostanie wstawiony do arkusza z danymi:

Po kliknięciu Zakończ na arkuszu pojawi się wykres:

Cel naszej pracy został osiągnięty. Zwróć uwagę, iż wykres jest dynamicznie połączony z danymi. Zmień wartości xp na -1, a xk na 1. Wszystkie dane zostaną automatycznie przeliczone i zobaczysz nowy wykres:

W ten sposób możesz śledzić przebieg swojej funkcji dla wybranych przedziałów argumentów. Z wykresu możesz odczytywać punkty zerowe. Wystarczy zbliżyć kursor myszki do linii wykresu, a Excel wyświetli ci w okienku współrzędne wybranego punktu:
Klikając dwukrotnie myszką w wybrane elementy wykresu, możesz je sformatować:

Jako ćwiczenie, zmień funkcję na xsin(cos(x2)) - 1. W tym celu wpisz nową formułę do komórki C7, a następnie skopiuj tę formułę na pozostałe komórki w tej kolumnie. Wtedy wykres będzie przedstawiał nową funkcję.
![]() | I Liceum Ogólnokształcące |
Pytania proszę przesyłać na adres email: i-lo@eduinf.waw.pl
W artykułach serwisu są używane cookies. Jeśli nie chcesz ich otrzymywać,
zablokuj je w swojej przeglądarce.
Informacje dodatkowe