|
Wyjście Spis treści Wstecz Dalej
Autor artykułu |
©2026 mgr Jerzy Wałaszek
|

If you use Microchip copyrighted material solely for educational (non-profit) purposes falling under the “fair use” exception of the U.S. Copyright Act of 1976 then you do not need Microchip’s written permission. For example, Microchip’s
permission is not required when using copyrighted material in:
https://www.microchip.com/about-us/legal-information/copyright-usage-guidelines
Dane zawarte w tym rozdziale są w dużej części oparte na symulacjach oraz parametrach podobnych mikrokontrolerów tworzonych za pomocą tego samego procesu i metod projektowania. Stąd dane te powinny być traktowane jako wskazówki co do sposobu zachowania się tego mikrokontrolera.
Kolejne wykresy pokazują typowe zachowanie się układu. Parametry te nie są testowane podczas produkcji, gdzie testy wykonywane są z częstotliwościami wykraczającymi poza normalne granice, co nie oznacza, iż w normalnych warunkach pracy mikrokontroler również będzie pracował właściwie przy takich częstotliwościach.
Wszystkie pomiary poboru prądu są wykonywane przy konfiguracji wszystkich końcówek do pracy jako wejścia z włączonymi wewnętrznymi opornikami podciągającymi. Pobór prądu jest funkcją kilku czynników takich jak napięcie pracy, częstotliwość robocza, obciążenie końcówek we/wy, częstotliwość przełączania poziomów logicznych na końcówkach we/wy, wykonywany kod i temperatura otoczenia. Dominującymi czynnikami są napięcie zasilania i częstotliwość pracy.
Jako źródło zegarowe używany jest generator sinusoidalny z wyjściem typu rail-to-rail (napięcie wyjściowe oscyluje pomiędzy GND a VCC), lecz bieżący pobór prądu w trybie wyłączenia zasilania (ang. Power-Down mode) jest niezależny od wyboru zegara. Różnica pomiędzy bieżącym poborem prądu w trybie wyłączenia zasilania z uruchomionym licznikiem zegarowym (ang. Watchdog Timer) oraz w tym samym trybie bez uruchomionego licznika zegarowego reprezentuje prąd różnicowy pobierany przez ten licznik.
Prąd pobierany z końcówek przy obciążeniu pojemnościowym można oszacować (dla jednej końcówki) następująco:
![]() |
| gdzie:
VCC = napięcie pracy,
CL = pojemność obciążenia, fSW = średnia częstotliwość przełączania stanów logicznych na końcówce we/wy. |













































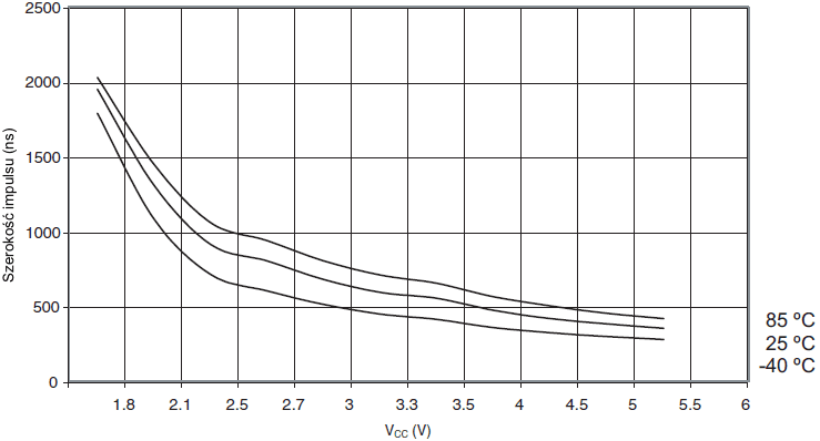
BOD (ang. Brown-Out Detection – wykrywanie spadków napięcia zasilającego)



















![]() |
Zespół Przedmiotowy Chemii-Fizyki-Informatyki w I Liceum Ogólnokształcącym im. Kazimierza Brodzińskiego w Tarnowie ul. Piłsudskiego 4 ©2026 mgr Jerzy Wałaszek |
Materiały tylko do użytku dydaktycznego. Ich kopiowanie i powielanie jest dozwolone pod warunkiem podania źródła oraz niepobierania za to pieniędzy.
Pytania proszę przesyłać na adres email:
Serwis wykorzystuje pliki cookies. Jeśli nie chcesz ich otrzymywać, zablokuj je w swojej przeglądarce.
Informacje dodatkowe.