|
Serwis Edukacyjny Nauczycieli w I-LO w Tarnowie
Materiały dla uczniów liceum |
©2026 mgr Jerzy Wałaszek
|
|
|
Mechanika ciał Układu Słonecznego część pierwsza Autor artykułu: mgr Tadeusz Sypek |
PrawaKeplera |
|
|
|
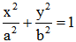
W wielu zagadnieniach związanych z ruchem ciała w centralnym
polu grawitacyjnym wygodnie jest stosować równanie toru zapisane
w układzie biegunowym. Wychodząc z równania elipsy we
współrzędnych kartezjańskich:
Wyprowadź poniższe równanie elipsy zapisane we współrzędnych biegunowych, których początek umieszczony jest w jednym z ognisk elipsy:
Czym są wielkości: r, ϑ oraz p? [XXX OA I ETAP]
Przykład zastosowania:
|
|
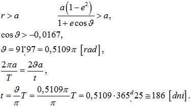
Wiedząc, że mimośród orbity Ziemi wynosi
e = 0,0167, oblicz przez ile dni w
roku odległość Ziemi od Słońca jest większa od jednostki
astronomicznej.
[XXXV OA I ETAP]
ODP.Nieco ponad pół roku. Posługując się podobnym rozumowaniem, myślę, że czytelnik bez trudu rozwiąże kolejne zadanie.
|
|
W 1979 roku zmniejszająca się odległość Plutona od Słońca
osiągnęła wartość odległości Neptuna od Słońca. Przyjmując, że
orbita Plutona jest elipsą o dużej półosi
[XXVI OA, I ETAP]ODP.około 14,1 lat, przy założeniu, że planety krążą w jednej płaszczyźnie, co jest grubym przybliżeniem. Ostatni taka konfiguracja Neptun-Pluton miała miejsce 7 lutego 1979 i trwała do 11 lutego 1999, czyli ponad 20 lat. Wynik podany wyżej zakłada, że orbity Neptuna i Plutona przecinają się. W rzeczywistości orbita Plutona jest nachylona pod kątem 17° do ekliptyki. Wspomniane nachylenie oraz największy mimośród ze wszystkich planet były głównymi (ale nie jedynymi) przyczynami, że Pluton - dawniej uważany za dziewiątą planetę - dnia 24.08.2006 roku w trakcie konferencji Międzynarodowej Unii Astronomicznej w Pradze - został zdegradowany do miana planety karłowatej. Obecnie Pluton to najjaśniejszy obiekt pasa Kuipera.
|
|
W jakich granicach może się zmieniać maksymalna wysokość
Merkurego nad horyzontem w Krakowie, w momencie zachodu Słońca w
dniu, gdy planeta osiąga maksymalną elongację?
Potrzebne dane wyszukaj samodzielnie. [XXXV OA I ETAP]
ODP.Wysokość Merkurego nad horyzontem Krakowa podczas zachodu Słońca:
|
|
Księżyc Saturna Phoebe - jeden z celów badań misji
Cassini-Huygens - obiega macierzystą planetę po wydłużonej
orbicie o mimośrodzie e
= 0,164 w średniej odległości
a = 13·106[km].
W punkcie swojej orbity położonym najdalej od planety na niebie oglądanym z Saturna miałby jasność ok. 6m,8 w „pełni”. Czy będąc w najmniejszej odległości od planety byłby w "pełni" widoczny gołym okiem? Zakładamy, że Saturn obiega Słońce po okręgu o promieniu ao = 1427·106[km]. [XLVIII. I ETAP]Zakładam, ze orbita Saturna jest okręgiem; oznaczam:
Jeżeli natomiast przyjmiemy, że rozmiary orbity Phoebe są zaniedbywalnie małe w stosunku do rozmiarów orbity Saturna (stosunek ten wynosi 13/1427 = 0,009 czyli około 1%), rachunki znacznie się upraszczają:
ODP.Wyniki nieznacznie odbiegają od siebie; obydwa rezultaty uważamy za poprawne [8].
|
|
Okres obiegu Merkurego wokół Słońca
P = 88 dni, a okres obrotu wokół
osi T = 59 [dni].
Orbita planety jest elipsą o dużej półosi
a = 0,39 [au] i mimośrodzie
e = 0,21.
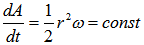
Jaka jest odległość Merkurego od Słońca, w momencie, gdy dla obserwatora znajdujące się na powierzchni planety Słońce zatrzymuje się względem horyzontu? Przyjmij, że oś obrotu Merkurego jest prostopadła do jego orbity. [XXVI OA III ETAP]W równych odstępach czasu promień wodzący planety, poprowadzony od Słońca, zakreśla równe pola. Jest to równoznaczne ze stwierdzeniem, że prędkość polowa każdej planety jest stała. Opisuje to wyrażenie:
ODP.r = 0,31 [au] Zwróćmy uwagę na okresy obiegu i obrotu planety:
- w punkcie przysłonecznym odległość Merkurego od Słońca:
Słońce w momencie przechodzenia Merkurego przez peryhelium tworzy pętlę retrogradacyjną (ruch wsteczny - czas trwania kilkanaście dni ziemskich - ten trwa około 8 dni). W momencie przejścia Słońca przez południk zatrzyma się ono (prędkość rotacji równa prędkości obiegu), a następnie zawróci (prędkość obiegu większa od prędkości rotacji), po czym znów się zatrzyma (prędkość rotacji równa prędkości obiegu) i podąży ku zachodowi. Analogicznie podczas zachodu: Słońce chowa się pod horyzontem po czym wschodzi (ale po zachodniej stronie nieba merkuriańskiego), by ostatecznie zniknąć pod widnokręgiem.
|
|
Planetoida typu NEO obiega Słońce po elipsie w tej samej
płaszczyźnie, w tym samym kierunku i ż tym samym okresem co
Ziemia. Mimośród obity planetoidy
e = 0,6. W pewnym momencie
planetoida była w opozycji i aphelium.
Jaka jest minimalna
odległość tej planetoidy od Ziemi ? Podaj logiczne uzasadnienie
przyjętej odpowiedzi oraz zaznacz na rysunku w skali [L OA II ETAP]
Odległości planetoidy w aphelium i peryhelium:
Rys. 14
ODP.
|
|
W 1992 r. opozycja Jowisza przypadnie 29 lutego. Przyjmując, że
Jowisz obiega Słońce po okręgu o promieniu 5,2 [au] oblicz, w
których dniach 1992 r. znajdą się w opozycji planetoidy z grupy
trojańskiej.
[XXXV OA I ETAP]Planetoidy należące do „obozu greckiego” wyprzedzają Jowisza w jego ruchu orbitalnym, poruszając się wokół punktu libracji L4, znajdującego się na orbicie 60° przed planetą, a te należące do „obozu trojańskiego” podążają za planetą, wo-kół punktu L5, znajdującego się na orbicie 60° za Jowiszem.
|
|
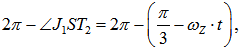
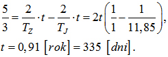
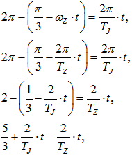
W 2000 roku nastąpiła koniunkcja Jowisza z Saturnem. W
załączonej tabelce podano, dla trzech momentów, heliocentryczne
długości ekliptyczne obu planet:
Dla obserwatora heliocentrycznego, wyznacz datę tej koniunkcji oraz podaj nazwę znaku zodiaku, w którym miała ona miejsce. Zakładając, że planety te obiegają Słońce po okręgach o promieniach odpowiednio: aJ = 5,203[au] i aS = 5,203[au], oblicz kiedy należy spodziewać się kolejnego heliocentrycznego złączenia tych planet i w jakim znaku zodiaku to nastąpi. [LIV OA II ETAP]1. wyznaczamy datę koniunkcji
Przyjmujemy, że zmiany długości ekliptycznej planet są
liniowe:
W momencie koniunkcji aJ = aS. Wyznaczamy t:
Koniunkcja nastąpi 8 lipca 2000 roku, planety znajdują się w gwiazdozbiorze RAKA. 2. następna koniunkcja: Z III prawa Keplera:
Stosując rozumowanie jak w zad 4:
ODP.Następna koniunkcja będzie miała miejsce 19,85 (19 lat 306 dni) później, tj. w połowie maja 2020 roku; planety będą się wówczas znajdować się w gwiazdozbiorze BYKA.
|
![]() |
Zespół Przedmiotowy Chemii-Fizyki-Informatyki w I Liceum Ogólnokształcącym im. Kazimierza Brodzińskiego w Tarnowie ul. Piłsudskiego 4 ©2026 mgr Jerzy Wałaszek |
Materiały tylko do użytku dydaktycznego. Ich kopiowanie i powielanie jest dozwolone pod warunkiem podania źródła oraz niepobierania za to pieniędzy.
Pytania proszę przesyłać na adres email:
Serwis wykorzystuje pliki cookies. Jeśli nie chcesz ich otrzymywać, zablokuj je w swojej przeglądarce.
Informacje dodatkowe.