Serwis Edukacyjny
Nauczycieli
w I-LO w Tarnowie

Do strony głównej I LO w Tarnowie

Materiały dla uczniów liceum

  Wyjście       Spis treści       Dalej  

©2026 mgr Jerzy Wałaszek

obrazek

Mechanika ciał Układu Słonecznego

część pierwsza

Autor artykułu: mgr Tadeusz Sypek

 

 

Konfiguracja

planet

Zadanie nr 1
Zadanie nr 2
Zadanie nr 3
Zadanie nr 4
Zadanie nr 5
Zadanie nr 6
Zadanie nr 7

 

Zadanie nr 1

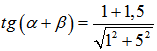
Merkury i Wenus znajdują się po zachodniej stronie Słońca i mają maksymalne elongacje. Mars jest w opozycji z Wenus, a Saturn w opozycji ze Słońcem, Jowisz znajduje się w koniunkcji z Marsem.

a) na schematycznym rysunku przedstaw wzajemne usytuowanie planet i Słońca, przyjmując skalę
,
b) oblicz elongację wymienionych planet,
c) krótko omów warunki widoczności tych planet.

Zakładamy, że planety krążą po współpłaszczyznowych okręgach o promieniach równych ich średnim odległością od Słońca [4].

[XXX OA I ETAP]

Najpierw przypomnijmy:

- planety dolne, obiegające Słońce wewnątrz orbity Ziemi, to: Merkury, Wenus,
- planety górne, leżące na zewnątrz orbity Ziemi, to: Mars, Jowisz, Saturn, Uran, Neptun,
- elongacja (odchylenie) - różnica długości ekliptycznych planety i Słońca, w przybliżeniu równa odległości kątowej planety od Słońca na sferze niebieskiej. W odniesieniu do planet, które krążą bliżej Słońca niż Ziemia, maksymalna wartość elongacji jest ograniczona i wynosi: dla Merkurego 29°, dla Wenus 48°, elongacja o wartości 0° oznacza koniunkcję dolną lub górną w zależności czy planeta należy do grupy planet dolnych czy górnych,
- elongacja o wartości 180° to opozycja.

Rys.1

 

Pamiętajmy o umowie:

- elongacja dodatnia (planeta po wschodniej stronie Słońca),
- elongacja ujemna (np.: elongacja Merkurego wynosi –15°, tzn. planeta znajduje się 15° na zachód od Słońca).

 

ODP.

Elongacja: Merkurego - , Wenus - , Mars - ,
Jowisz - , Saturn - - opozycja.

 

Zadania o podobnej treści spotykamy także w: [XXVII OA I ETAP], [XXXIII OA I ETAP], [L OA II ETAP]. Warto przy okazji zauważyć, że autorzy zadań stosowali i nadal stosują bardzo mądrą zasadę dydaktyczną - stopniowania trudności i wymagań (zasada dostępności). Olimpiada na etapie wstępnym (szkolnym) staje się przyjazna, zachęcająca ucznia do pracy. Szkoda, że jakoś o tej zasadzie zapominają autorzy np. olimpiady fizycznej, czy informatycznej.

 

Zadanie nr 2

Tabelka podaje odległości od Słońca (w au) oraz długości ekliptyczne pięciu planet i Słońca w chwili, gdy odległość Ziemi od Słońca wynosiła 1 au. Oblicz, jakie są w tym momencie elongacje Ziemi z pozycji obserwatora znajdującego się na każdej z tych planet i określ z tych pozycji położenie Ziemi względem charakterystycznych konfiguracji ze Słońcem (koniunkcji, opozycji itp.).

 

obiekt odległość λ obiekt  odległość λ 
Merkury 0,4 329º Jowisz 5,0 78º
Wenus 0,7 30º Saturn 9,5 168º
Mars 1,5 Słońce - 348º

 

Uwaga: dla uproszczenia zakładamy, że orbity planet leżą w płaszczyźnie ekliptyki.

[LIV OA, I ETAP]

Długość ekliptyczna narasta w kierunku ruchu rocznego Słońca i wyraża się ją zwyczajowo w stopniach (0°- 360°). Dla początkującego ucznia-astronoma zaproponowałbym wykonanie rysunków w wybranej skali na papierze milimetrowym, a miarę nabywania umiejętności - pod jakimś programem graficznym. Tutaj wykorzystano program Xara Xtreme Pro 5.
Autor podaje długość ekliptyczną obiektu, tzn. wielkość obserwowaną. Odpowiadają jej jednak – dla planet dolnych - dwa położenia rzeczywiste, czyli: elongacja Ziemi zależy od położenia Merkurego, a zatem są dwa rozwiązania (podobnie dla Wenus).

OBSERWATOR NA MERKURYM

- szukamy elongacji Ziemi z Merkurego; rozwiązujemy:

; szukamy .
Rys. 2a

      
,
z tw. sinusów;   ,

,

,

Zauważmy, że istnieje drugie rozwiązanie:

ODP.

elongacja Ziemi dla obserwatora na Merkurym wynosi (poz. 1) lub (poz. 2).

OBSERWATOR NA WENUS

- szukamy elongacji Ziemi z Wenus; rozwiązujemy:

; szukamy .
Rys. 2b

 

      
,
z tw. sinusów;   ,    

,

drugie rozwiązanie:

ODP.

elongacja Ziemi  dla obserwatora na Wenus  (poz. 1) lub  (poz. 2).

OBSERWATOR NA JOWISZU

Rys. 2c

       - dla obserwatora na Jowiszu - Merkury, Wenus, Ziemia, Mars są planetami dolnymi (wewnętrznymi),
- na Rys. 2c Ziemia jest w złączeniu dolnym ze Słońcem, a Mars - w złączeniu górnym
(są oczywiście możliwe inne konfiguracje),
- zauważamy, że:  

- Jowisz jest w kwadraturze z Ziemią, otrzymujemy natychmiast:

          
 

ODP.

Elongacja Ziemi względem Jowisza wynosi: , a Marsa: .

Warto zwrócić uwagę

- że Ziemia dla obserwatora na Marsie jest planetą dolną; może zatem znajdować się zarówno w koniunkcji dolnej jak i górnej. Ziemia na niebie marsjańskim spełnia na przemian rolę Jutrzenki i Gwiazdy Wieczornej, osiągając maksymalne oddalenie kątowe od Słońca 36º,

- planetę wewnętrzną podczas swojej zachodniej elongacji, obserwujemy zawsze przed wschodem Słońca na południowo-wschodnim niebie, natomiast podczas wschodniej elongacji planeta widoczna jest o zmroku na południowo-zachodnim nieboskłonie.

 

 

 

Zadanie nr 3

Gdy dla obserwatora ziemskiego planeta górna znajduje się dokładnie po przeciwnej stronie niż Słońce mówimy, że jest ona w opozycji. Jej odległość kątowa od Słońca wynosi wtedy 180º. Dla planet olbrzymów oblicz, po jakim czasie od momentu opozycji odległość kątowa planety od Słońca zmniejszy się do 90º.

W obliczeniach przyjmij, że orbity są współpłaszczyznowymi okręgami.

[LIX OA I ETAP]

W Układzie Słonecznym gazowymi olbrzymami (planety jowiszowe) są: Jowisz, Saturn, Uran i Neptun.
Rys. 3

       Oznaczamy:

- okres orbitalny planety T,

- okres obiegu Ziemi P = 1 rok,
- prędkość kątową Ziemi w jej ruchu orbitalnym - ,
- prędkość kątową planety w jej ruchu orbitalnym - ,

- w czasie t Ziemia zakreśla kąt:
, a planeta:
,:
,:
,:

 

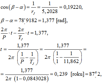
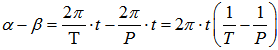
1. Dla Jowisza:

     2. Dla Saturna:

     
3. Dla Urana:

  4. Dla Neptuna:

ODP.

Czas, po którym odległość kątowa planety od Słońca zmniejszy się do  90º wynosi odpowiednio:

- zwróćmy uwagę, że wartości podanych czasów są zbliżone i wynoszą około 90 dni. Dzieje się tak dlatego, że odległe planety mają o wiele mniejsze prędkości orbitalne od ziemskiej. Można zatem przyjąć że dla obserwatora na Ziemi nie zmieniają one swojego położenia (w krótkich odstępach czasu, np. kilka miesięcy). Jednocześnie Ziemia w swoim ruchu obiegowym zakreśla kąt około 1º w ciągu doby; kąt 90º odpowiada zatem w przybliżeniu 90-ciu dniom.
- proponuje uczniowi samodzielne rozszerzenia treści zadania; poszukajmy kwadratur planet dolnych Merkurego i Wenus względem Ziemi.

 

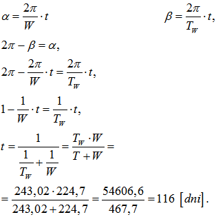
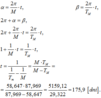
Zadanie nr 4

Przyjmując dane liczbowe zamieszczone w tabelce, oblicz długość doby słonecznej na Merkurym i Wenus, przy założeniu orbit kołowych obu planet.

 

Planeta Okres obiegu dookoła Słońca
[doby]
Gwiazdowy okres rotacji
[doby]
Merkury

Wenus

87,969

224,70

58,647

-243,02

Uwaga: Znak minus przy okresie rotacji Wenus oznacza obrót wsteczny.

[LV OA, I ETAP]

Rys. 4a

H - horyzont obserwatora,

M - okres obiegu Merkurego dookoła Słońca,

TM - gwiazdowy okres rotacji Merkurego,

Doba na Merkurym trwa 176 dni ziemskich
i jest dwukrotnie dłuższa od roku merkuriańskiego.

       Rys. 4b

H - horyzont obserwatora,

W - okres obiegu Wenus dookoła Słońca,

TW - gwiazdowy okres rotacji Wenus,

Ze względu na rotację wsteczną, długość doby
słonecznej jest znacznie mniejsza od dnia
gwiazdowego i wynosi 116 dni (ziemskich).

ODP.

Długość doby słonecznej na Merkurym wynosi 176 dni ziemskich, dla Wenus – 116 dni.

 

Zadanie nr 5

Wyjaśnij termin ruchu wstecznego ciała w Układzie Planetarnym i podaj jego przykład.

[XL OA I ETAP]

Rys. 5

       - rysunek obok nie przedstawia żadnej konfiguracji planet w naszym Układzie Słonecznym (zbyt ciasne orbity),
- pewna przesada ma służyć poglądowości sytuacji, jeżeli chodzi o retrogradacje planet,

- pozycje na sferze:
- 1,2, …. 6,7 obrazują ruch prosty na sferze,
- 3,4,5 - ruch wsteczny.

 

Na ogół planety górne  (od Marsa do Neptuna) przesuwają się wśród gwiazd z zachodu na wschód, w kierunku ro-snącej rektascensji, ale w pobliżu opozycji obserwujemy charakterystyczny ruch wsteczny, kiedy to rektascensja maleje. To cofanie planet na tle znaków Zodiaku nosi nazwę RETROGRADACJI. Ruch wsteczny wykazują również planety górne Merkury i Wenus, planetoidy, księżyce planet, obiekty Pasa Kuipera, satelity poruszające się wokół Ziemi po orbitach powyżej orbity geostacjonarnej lub gdy inklinacja orbity satelity zawiera się w przedziale 90º - 180º.

 

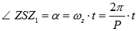
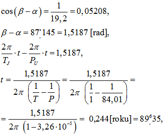
Zadanie nr 6

Zakładając, że Ziemia i Saturn krążą wokół Słońca po współśrodkowych i leżących w jednej płaszczyźnie okręgach o promieniach 1 au i 9,539 au (jednostki astronomicznej), oblicz ile czasu trwa ruch wsteczny Saturna.

[XLVI OA, I ETAP]

Rys. 6a

       - ruch wsteczny planet górnych występuje pobliżu opozycji,
- oznaczamy:
S - Słońce, Z1, Z2 - Ziemia,
S1, S2 - Saturn,
- przyjmujemy:

- rzutujemy współrzędne punktów Z2 i S2 na osie układu:

Rys. 6b

       Program: Graphmatica for Windows v.2.4

Współrzędne:

 

Planeta d
[au]
T
[lata]
ω
[rok-1]
Czas pętli z wykresu
[dni]
Dokładna wartość (2016)
[dni]
Mars 1,523 1,88 3,3421 74
Jowisz 5,203 11,86 0,5298 122
Saturn 9,539 29,46 0,2132 141

[5], [6].

ODP.

Saturn zakreśla pętlę raz na rok, czas przebywania w pętli 138,8 dni.
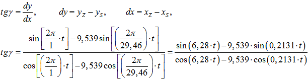
Wartość dokładna - 141 dni, zjawisko to ma miejsce od 25.03 do 13.08; planeta przebywa cały czas w gwiazdozbiorze STRZELCA. Przetestowaliśmy jeszcze działanie naszego programu graficznego dla Marsa i Jowisza, uzyskaliśmy:

- dla Marsa 73 dni (dokładna wartość -74 dni) i odpowiednio:

- dla Jowisza 117 dni (122 dni).

- pewne rozbieżności wynikają z upraszających założeń przyjętych w tekście zadania, jak również – z niedokładności odczytu wykresów.

 

 

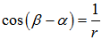
Zadanie nr 7

Po epicyklu o promieniu r porusza się punkt P ze stałą prędkością kątową ωr, natomiast środek tego epicyklu porusza się ze stała prędkością kątową ωR po deferencie o promieniu R.

Wykaż, że przy pewnych założeniach punkt P zakreśli elipsę. Podaj te założenia oraz znajdź wzór pozwalający obliczyć wartość mimośrodu tej elipsy.

[XXX OA III ETAP]

DEFERENT - w astronomii starożytnej i średniowiecznej główne koło orbitalne (circulus deferens, orbis deferent), unoszące w swym obrocie ciało niebieskie przytwierdzone na jego obwodzie. W teorii geocentrycznej po deferensach bezpośrednio poruszają się ruchem jednostajnym Słońce i Księżyc, przy czym środki ich deferensów znajdują się poza Ziemią (ekwanty); powstaje wówczas orbita mimośrodkowa (ekscentryk), na której ciało niebieskie zmienia swą odległość, przechodząc od punktu przyziemnego (perygeum) do odziemnego (apogeum).

EPICYKL - okrąg, po którego obwodzie porusza się ruchem jednostajnym planeta, a środek epicykla porusza się również ruchem jednostajnym po deferensie.

- oznaczamy:
P - punkt epicyklu,
E - środek epicyklu,
D - środek deferensu,
- promień deferentu i jego składowe,
- promień epicyklu i jego składowe.

Elipsa (lub okrąg) powstają wtedy, gdy drgania poziome i pionowe (prostopadłe) mają tę samą częstotliwość, ale są przesunięte w fazie o π/2.Ponadto, gdy ich amplitudy:
- są równe - uzyskujemy okrąg
- gdy są różne - elipsę:
Rys. 7a

       - wypadkowy promień wodzący punktu P:

- składowe promienia wodzącego zrzutowane na osie układu:

- ruch po epicyklu ma kierunek przeciwny do ruchu punktu deferentu,
- rzutujemy prostopadle promienie wodzące na osie układu:

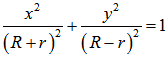
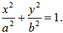
 - równanie parametryczne elipsy

- podnosimy stronami do kwadratu i dodajemy:

- otrzymujemy postać analityczną elipsy, gdzie R + r = a oraz R - r = b , a, b – półosie elipsy,
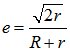
- korzystając z wzoru na odległość apocentrum, znajdujemy wyrażenie pozwalające znaleźć wartość mimośrodu elipsy:

ODP.

Mimośród elipsy przy założeniach:

a) wartości częstości kołowych obydwu ruchów są identyczne (ωR = ωr),

b) wektory prędkości kątowych są antyrównoległe  (ωR = -ωr). Jest to zarazem jedna z najprostszych figur Lissajous.

Zadanie to należy uznać za bardzo trudne; wymaga dużej wiedzy z matematyki (funkcje zadane parametrycznie) oraz z fizyki (elementarna teoria drgań). Jeżeli czytelnik chciałby pogłębić wiedzę w tym temacie proponuję prościutkie programy w języku FreeBasic, które pozwalają na wizualizację omawianego wyżej problemu:

PROGRAM 1 Opis
'deferens, epicykl, elipsa

Screen 9
Window(-320, 175)-(319, -174):Color 3,63
Line (-250,0)-(250,0),40:Line (0,170)-(0,-170),40
Const PI=3.1415927
Const re=50: Const rd=100 
Dim As Double a,xd,yd,xe,ye
 
For a=0 To 2*PI Step 0.001
   xd=rd*cos(a)
   yd=rd*sin(a)
   xe=re*cos(a):
   ye=re*sin(a):
   Pset (xd,yd),5         'rysowanie deferentu
    
   Pset (xe,rd+ye),1
   Pset (xe+rd,ye),1      'zaznaczanie epicykli
   Pset (xd+xe,yd-ye),2   'epicykl (krzywa)
Next a
Sleep
End
- język FreeBasic nie rozróżnia małych i dużych liter
przy deklarowaniu zmiennych programu, podobnie
jak indeksów przy nich, dlatego:

- proponuję użytkownikowi tego programu
przeprowadzenie dyskusji matematycznej wzoru:

dla i porównać je.

 

Rys. 7a

     Rys. 7b

     Rys. 7c

re = 10  rd = 100   re = 25  rd = 100   re = 50  rd = 100

 

 

PROGRAM 2 Opis
'epicykloidy i przejście do epicykli
 
For a=0 To 2*Pi Step 0.001
  
   x=(rd)*cos(a)-re*cos((rd+re)/re*a)
   y=(rd)*sin(a)-re*sin((rd+re)/re*a) 
   pset (rd*cos(a), rd*sin(a)),4         'deferens 
   pset(re*cos(a),rd+re*sin(a)),5        'epicykl 
   pset(rd+re*cos(a),re*sin(a)),5            
  'sleep
   pset (x,y),3                           'epicykl (krzywa)
Next a
Sleep
End
- korzystamy z przedstawienia parametrycznego
epicykloidy tj. krzywej, jaką zakreśla ustalony punkt okręgu
toczącego się bez poślizgu na zewnątrz innego,
nieruchomego okręgu.

- uzyskujemy po modyfikacji pętlę retrogradacyjną:

 

Rys. 7e

     Rys. 7f

     Rys. 7g

rd = 100  re = 25   rd = 100  re = 40   rd = 100  re = 50

 

Zauważmy, że ładne graficznie rysunki uzyskuje się dla całkowitych
na przykład: lub

Kiedy stosunek obu częstotliwości kątowych jest liczbą wymierną, czyli może być wyrażony przez iloraz dwóch liczb całkowitych, to tor ruchu jest krzywą zamkniętą, tzn. ruch jest okresowy. Nasz program pozwala dostrzec piękno i często fantazyjne kształty tych krzywych.

 

Zespół Przedmiotowy
Chemii-Fizyki-Informatyki

w I Liceum Ogólnokształcącym
im. Kazimierza Brodzińskiego
w Tarnowie
ul. Piłsudskiego 4
©2026 mgr Jerzy Wałaszek

Materiały tylko do użytku dydaktycznego. Ich kopiowanie i powielanie jest dozwolone pod warunkiem podania źródła oraz niepobierania za to pieniędzy.
Pytania proszę przesyłać na adres email: i-lo@eduinf.waw.pl
Serwis wykorzystuje pliki cookies. Jeśli nie chcesz ich otrzymywać, zablokuj je w swojej przeglądarce.

Informacje dodatkowe.