|
Serwis Edukacyjny w I-LO w Tarnowie
Materiały dla uczniów liceum |
Wyjście Spis treści Wstecz Dalej
Autor artykułu: mgr Jerzy Wałaszek |
©2026 mgr Jerzy Wałaszek
|
SPIS TREŚCI |
|
00 Informacje wstępne 01 Grafika rastrowa 02 Grafika wektorowa 03 Ćwiczenia z procesorem tekstu 04 Prezentacje 05 Strony WWW Formatowanie tekstu Tabela Wzory matematyczne |
Uruchom procesor tekstu LibreOffice Writer i przekopiuj do niego poniższy tekst:
Mars
Mars – czwarta według oddalenia od Słońca planeta Układu Słonecznego. Nazwa planety pochodzi od imienia rzymskiego boga wojny – Marsa. Zawdzięcza ją swej barwie, która przy obserwacji z Ziemi wydaje się rdzawo-czerwona i kojarzyła się starożytnym z pożogą wojenną. Postrzegany odcień wynika stąd, że powierzchnia planety zawiera tlenki żelaza. Mars jest planetą wewnętrzną z cienką atmosferą, o powierzchni usianej kraterami uderzeniowymi, podobnie jak powierzchnia Księżyca. Występują tu także inne rodzaje terenu, podobne do ziemskich: wulkany, doliny, pustynie i polarne czapy lodowe. Okres obrotu wokół własnej osi jest niewiele dłuższy niż Ziemi i wynosi 24,6229 godziny (24 h 37 min 22s). Na Marsie znajduje się najwyższa góra w Układzie Słonecznym – Olympus Mons i największy kanion – Valles Marineris. Gładki obszar równinny Vastitas Borealis na półkuli północnej obejmuje 40% powierzchni planety i może być pozostałością ogromnego uderzenia. W przeciwieństwie do Ziemi, Mars jest geologicznie i tektonicznie nieaktywny.
Do czasu pierwszego przelotu sondy Mariner 4 obok Marsa w 1965 roku spekulowano na temat obecności ciekłej wody na powierzchni planety. Podstawą spekulacji były obserwowane okresowe zmiany jasności obszarów powierzchni, w szczególności w pobliżu biegunów, które w obserwacjach teleskopowych wydawały się morzami i kontynentami. Długie ciemne linie na powierzchni, nazwane kanałami marsjańskimi, były interpretowane przez niektórych jako kanały nawadniające wybudowane przez istoty rozumne. Ich obserwacje wytłumaczono później jako złudzenie optyczne, ale ze wszystkich planet w Układzie Słonecznym poza Ziemią, występowanie na Marsie wody, a tym samym warunków do życia, jest najbardziej prawdopodobne. Badania geologiczne zebrane przez bezzałogowe misje sugerują, że Mars posiadał kiedyś duże zasoby wody na powierzchni, a małe wypływy wód podobne do gejzerów mogły mieć miejsce w ciągu ostatniej dekady. W roku 2005 dane radarowe wykazały obecność dużych ilości lodu zarówno na biegunach, jak i na średnich szerokościach geograficznych. Lądownik Phoenix 31 lipca 2008 roku stwierdził bezpośrednio obecność wody w próbce regolitu, pobranej w okolicach biegunowych. 28 września 2015 roku NASA ogłosiła, że znaleziono dowody na obecność ciekłej słonej wody na powierzchni planety. W miesiącach letnich woda w stanie ciekłym spływa ze zboczy kanionów i ścian kraterów w postaci strug i pozostawia ciemne plamy, które mogą mieć długość do kilkuset metrów. Badacze uważają, że odkrycie to zwiększa prawdopodobieństwo istnienia życia na Marsie.
Mars ma dwa księżyce, Fobosa i Deimosa, które są małe i mają nieregularny kształt. Mogą one być przechwyconymi planetoidami, podobnymi do planetoidy trojańskiej (5261) Eureka, krążącej na orbicie planety, chociaż obecnie zyskuje na popularności hipoteza, że powstały one z materii wyrzuconej z Marsa. Wokół Marsa krążą trzy sztuczne satelity, 2001 Mars Odyssey, Mars Express i Mars Reconnaissance Orbiter. Na powierzchni są aktywne łaziki Opportunity misji Mars Exploration Rover i Curiosity misji Mars Science Laboratory oraz kilka innych, nieaktywnych, lądowników z zarówno udanych, jak i nieudanych misji.
Pod kierunkiem nauczyciela wykonaj poniższe operacje.
Utwórz tabelkę z podziałem godzin na poniedziałek. W pierwszej kolumnie mają być numery lekcji, w drugiej kolumnie czas rozpoczęcia i zakończenia lekcji (minuty jako indeksy górne), w trzeciej kolumnie nazwy przedmiotów. Komórki tabelki odpowiednio pokoloruj.
Zapisz plik na swoim dysku pod nazwą Nazwisko Imię 2.odt, np. Kryczka Łukasz 2.odt.
Wybierz z menu edytora opcje:
Widok → Paski Narzędzi → Wstaw
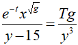
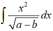
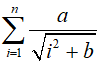
Otrzymany pasek narzędziowy umieść w polu pasków u góry ekranu. Z paska wybierz narzędzie Formuła i za jego pomocą wpisz poniższe wzory matematyczne pod kierunkiem nauczyciela:



Zapisz plik na swoim dysku pod nazwą Nazwisko Imię 3.odt, np. Kryczka Łukasz 3.odt.
Zapisane pliki prześlij do oceny przy pomocy programu Filezilla.
![]() |
Zespół Przedmiotowy Chemii-Fizyki-Informatyki w I Liceum Ogólnokształcącym im. Kazimierza Brodzińskiego w Tarnowie ul. Piłsudskiego 4 ©2026 mgr Jerzy Wałaszek |
Materiały tylko do użytku dydaktycznego. Ich kopiowanie i powielanie jest dozwolone pod warunkiem podania źródła oraz niepobierania za to pieniędzy.
Pytania proszę przesyłać na adres email:
Serwis wykorzystuje pliki cookies. Jeśli nie chcesz ich otrzymywać, zablokuj je w swojej przeglądarce.
Informacje dodatkowe.