|
Serwis Edukacyjny w I-LO w Tarnowie
Materiały dla uczniów liceum |
Wyjście Spis treści Wstecz Dalej
Autor artykułu: mgr Mirosław Ilków |
©2026 mgr Jerzy Wałaszek
|
Zadanie opracowane na podstawie książki "Fizyka z komputerem", autor Maciej Zawacki, wydawnictwo Helion edukacja.

Pewne ciało porusza się ruchem zmiennym, w którym droga jest następującą funkcją czasu:

Naszym zadaniem jest otrzymanie wykresów drogi, prędkości chwilowej oraz przyspieszenia chwilowego w funkcji czasu t.
Przez prędkość chwilową rozumiemy prędkość ciała, którą posiada ono w danym punkcie czasu. Np. policjant mierzy radarem prędkość jadącego samochodu i jest to prędkość, którą ten samochód ma w momencie pomiaru. Za chwilę, spostrzegłszy policjanta, kierowca zwolni i prędkość samochodu będzie mniejsza, ale nic z tego - radar zarejestrował poprzednią prędkość chwilową i jeśli przekroczyła ona dozwoloną wartość, to kierowcę czeka mandacik. Zrozumiałe?
Tak samo przyspieszenie chwilowe oznacza przyspieszenie ciała w danym punkcie czasu. W innym punkcie przyspieszenie to może posiadać inną wartość.
Z wykresem drogi nie będzie problemu - robimy go dokładnie wg metody opisanej w poprzedniej lekcji:
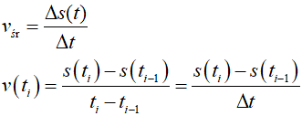
Wykres prędkości chwilowej otrzymamy obliczając wartości tej prędkości w kolejnych punktach t1, t2, ..., tn-1 na podstawie wzoru:

Otrzymane wartości prędkości v(ti) umożliwią nam uzyskanie odpowiedniego wykresu.
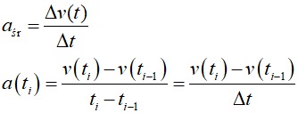
Podobnie obliczymy wartości chwilowe przyspieszenia dla punktów t2, t3, ... tn-1:

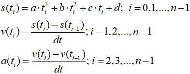
Mamy wszystkie wzory:
![]() |
Przystępujemy do tworzenia arkusza. Najpierw wpisz etykiety tekstowe do odpowiednich komórek kolumny A. Ustaw szerokość kolumny oraz wyrównaj do prawego marginesu wszystkie etykiety:

W kolumnie B umieść przykładowe dane (potrzebne są, aby formuły miały co obliczać). Liczby sformatuj z dwoma cyframi po przecinku. W kolumnie C umieść jednostki

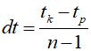
W komórce B9 należy umieścić formułę, która oblicza odległość w czasie pomiędzy dwoma sąsiednimi punktami czasu, czyli dt. Wzór określiliśmy na poprzedniej lekcji:
![]() |

Dane dla wykresów umieścimy w kolumnach D,E,F,G i H. Najpierw wpisz tam etykiety kolumn w pierwszym i w drugim wierszu. Etykiety wyśrodkuj:

Kolumnę D wypełnij kolejnymi liczbami od 0 do 100 w komórkach od D3 do D103 (dopasuj szerokość kolumny):

Kolumny E, F, G i H (zaznacz je wspólnie przeciągając wciśniętym lewym przyciskiem myszki po oznaczeniach kolumn u góry arkusza) sformatuj do wyświetlania liczb z dwoma miejscami po przecinku oraz w kolorze czerwonym dla wartości ujemnych. Dostęp do okienka dialogowego uzyskujesz przez opcję menu Format →komórki

W kolumnie E będą kolejne punkty czasu ti. Wzór podaliśmy na poprzedniej lekcji:
![]() |
Do komórki E3 wprowadź formułę. Adresy bezwzględne uzyskujesz przez kliknięcie myszką w komórkę i wciśnięcie klawisza F4:

Wciśnij klawisz Enter, wróć do komórki E3, chwyć za uchwyt kopiowania w prawym dolnym rogu i przeciągnij go aż do komórki E103. Pojawią się kolejne punkty czasu:

Przechodzimy do wprowadzania wartości funkcji drogi, która wyraża się wzorem:
![]() |
Do komórki F3 wpisz formułę:

Wciśnij klawisz Enter, wróć kursorem do komórki F3, chwyć za uchwyt kopiowania w prawym dolnym rogu kursora i przeciągnij w dół aż do komórki F103. Otrzymasz wartości drogi dla wyznaczonych w kolumnie E punktów w czasie.

Wartości ujemne drogi oznaczają, iż ciało cofnęło się poza punkt startowy, czyli porusza się w kierunku przeciwnym. Jeśli w kolumnie F pojawią się zamiast liczb znaki ######, to oznacza to, iż liczby nie mieszczą się w komórkach. W takim przypadku kliknij szybko dwukrotnie lewym przyciskiem myszki pomiędzy oznaczeniami kolumn F i G, wtedy kolumna F automatycznie dopasuje swoją szerokość do zawartości.
W kolumnie G mają się znaleźć wartości prędkości chwilowej dla punktów t1, t2, ... tn-1. Liczymy je wg wzoru:

Zwróć uwagę, że nie ma prędkości w punkcie początkowym t0. Wynika to z różnicowej natury naszego wzoru. Dla tego punktu nie mamy wartości poprzedniej drogi, wg której moglibyśmy obliczyć v0. Dlatego wprowadzanie formuły rozpocznij od komórki G4, a nie od G3:

Wprowadzoną formułę skopiuj w dół aż do komórki F103. Otrzymasz kolejne wartości chwilowych prędkości w wyznaczonych punktach czasu:

Wartości ujemne oznaczają, iż ciało porusza się w kierunku przeciwnym, czyli cofa się.
Ostatnią czynnością przed utworzeniem wykresów jest przygotowanie kolumny G z wartościami chwilowego przyspieszenia, wg wzoru:

Zwróć uwagę, iż pierwszym przyspieszeniem może być dopiero a2, ponieważ wcześniejszych wartości nie ma z czego obliczyć. Do komórki H5 wpisz formułę (zwróć uwagę, że możesz ją również przekopiować z komórki G5, gdyż posiada identyczną budowę!):

Formułę przekopiuj na pozostałe komórki do H103. Otrzymasz wartości chwilowego przyspieszenia w wyznaczonych punktach czasu t2, t3 ... tn-1:

Ujemna wartość przyspieszenia oznacza, iż ciało przyspiesza do tyłu.
Dane dla wykresów są gotowe. Zaznacz kolumny E i F i utwórz dla nich wykres punktowy xy z wygładzonymi liniami. Wykres sformatuj i umieść obok kolumny H:

Zaznacz kolumny E i G (najpierw kliknij w oznaczenie kolumny E, następnie przytrzymaj wciśnięty klawisz Ctrl i kliknij w oznaczenie kolumny G) i utwórz kolejny wykres XY (Punktowy). Umieść go pod poprzednim wykresem:

Na koniec zaznacz kolumny E i H, utwórz wykres przyspieszenia w funkcji czasu:


![]() |
Zespół Przedmiotowy Chemii-Fizyki-Informatyki w I Liceum Ogólnokształcącym im. Kazimierza Brodzińskiego w Tarnowie ul. Piłsudskiego 4 ©2026 mgr Jerzy Wałaszek |
Materiały tylko do użytku dydaktycznego. Ich kopiowanie i powielanie jest dozwolone pod warunkiem podania źródła oraz niepobierania za to pieniędzy.
Pytania proszę przesyłać na adres email:
Serwis wykorzystuje pliki cookies. Jeśli nie chcesz ich otrzymywać, zablokuj je w swojej przeglądarce.
Informacje dodatkowe.