![]() |
Autor artykułu: mgr Jerzy Wałaszek |
©2014 mgr
Jerzy Wałaszek
|

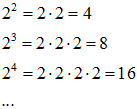
Potęgi ujemne wyrażamy przez dzielenia:

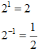
Dopiszmy do tego jeszcze następujące potęgi:

Powyższe wzory możemy zapisać ogólnie dla liczby a, która jest różna od zera oraz liczby naturalnej n:

Liczbę a będziemy nazywali podstawą, a liczbę n wykładnikiem potęgi.
Bezpośrednio z powyższych wzorów dostajemy podstawowe własności potęg:

Mnożenie potęg o tych samych podstawach jest równe potędze tej samej podstawy o wykładniku równym sumie wykładników mnożonych potęg. Brzmi zawile, ale do zapamiętania jest prosty wzór:
![]() lub
|
Z powyższego wynika, że:

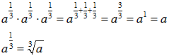
Wprowadźmy teraz wykładniki wymierne. Na przykład:

Co to za liczba? Załóżmy, że wykładniki wymierne spełniają wzór na mnożenie potęg:

Jaka liczba pomnożona przez samą siebie daje inną liczbę? Oczywiście pierwiastek kwadratowy:

i analogicznie:

Zapiszmy to ogólnie:
![]() |
A ile to będzie:

Postępujemy podobnie jak z pierwiastkiem kwadratowym:

i ogólnie:
![]() |
A jak policzyć potęgę:

W taki sam sposób, jak dotychczas. Ułamek w wykładniku rozbijamy na sumę ułamków i wykonujemy odpowiednie działania, pamiętając, że suma w wykładniku odpowiada iloczynowi potęg:

Zapiszmy to ogólnie:
![]() |
Teraz możemy przejść do logarytmów.
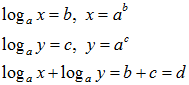
Logarytm z liczby x przy
podstawie a jest wykładnikiem potęgowym, do którego należy podnieść
podstawę, aby otrzymać liczbę x.

Brzmi zawile, lecz jest bardzo proste (po wyuczeniu się). Na przykład, ile wynosi:

Zapytajmy inaczej. Do jakiej potęgi należy podnieść 2, aby otrzymać 8?

Odpowiedź brzmi 3:

No i obliczyłeś logarytm przy podstawie 2 z liczby 8:

Podobnie:

Zapiszmy ogólnie:
![]() |
Dla nabycia wprawy oblicz wartość następujących logarytmów:


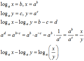
Zapiszmy to tak:

Otrzymaliśmy wykładnik d będący sumą wykładników b i c. Jeśli podstawa wynosi a, to wykładnik ten określa potęgę:

Czyli:

Wynika z tego prosty wniosek: suma logarytmów dwóch liczb jest równa logarytmowi iloczynu tych liczb.
A czemu jest równa różnica logarytmów:

Postępujemy podobnie:

Widzimy zatem, że różnica logarytmów jest równa logarytmowi ilorazu tych liczb.
Właśnie ten fakt zauważył Napier i wykorzystał do uproszczenia mnożenia i dzielenia. Załóżmy, że mamy policzone tablice logarytmów przy podstawie 2 potęg liczby 2:
| x | log2x | x | log2x | x | log2x | x | log2x |
| 2 | 1 | 512 | 9 | 131072 | 17 | 33554432 | 25 |
| 4 | 2 | 1024 | 10 | 262144 | 18 | 67108864 | 26 |
| 8 | 3 | 2048 | 11 | 524288 | 19 | 134217728 | 27 |
| 16 | 4 | 4096 | 12 | 1048576 | 20 | 268435456 | 28 |
| 32 | 5 | 8192 | 13 | 2097152 | 21 | 536870912 | 29 |
| 64 | 6 | 16384 | 14 | 4194304 | 22 | 1073741824 | 30 |
| 128 | 7 | 32768 | 15 | 8388608 | 23 | 2147483648 | 31 |
| 256 | 8 | 65536 | 16 | 16777216 | 24 | 4294967296 | 32 |
Chcemy policzyć iloczyn 8192 x 131072. Z tablicy szybko odczytujemy:
log28192 = 13
log2131072=17
Dodajemy te logarytmy:
13+17=30
W tablicy szukamy logarytmu o wartości 30 i otrzymujemy, że jest to logarytm liczby 1073741824. Liczba ta jest iloczynem dwóch pierwszych liczb, tzn:
8192 x 131072 = 1073741824
Ze wzorów na dodawanie i odejmowanie logarytmów wynikają ich własności:

Wyprowadźmy jeszcze jeden ważny wzór, który pozwoli nam przeliczać logarytmy z jednej podstawy na inną. Problem jest następujący:

Chcemy policzyć logarytm z liczby x przy innej podstawie:

Jak to zrobić? Zgodnie z definicją logarytmu mamy:

zatem dalej:

Aby otrzymać wartość logarytmu z x przy podstawie b, należy logarytm z x przy podstawie a podzielić przez logarytm przy podstawie a z b.
Rozwiążmy teraz kilka zadań z logarytmami. W rozwiązaniach zawsze wykorzystujemy poznane wzory!

Obustronnie logarytmujemy przy podstawie 2:

Upraszczamy wyrażenie po lewej stronie i zamieniamy stronami:


Wykorzystujemy definicję logarytmu:


Obliczamy:


Obliczamy:


Wykorzystując poznane własności logarytmów, piszemy:


Tutaj również korzystamy z własności logarytmów:


Wykorzystujemy własności logarytmów i piszemy:


Wykorzystujemy wzór na zmianę podstawy logarytmu:


Piszemy:

![]() | I Liceum Ogólnokształcące |
Pytania proszę przesyłać na adres email: i-lo@eduinf.waw.pl
W artykułach serwisu są używane cookies. Jeśli nie chcesz ich otrzymywać,
zablokuj je w swojej przeglądarce.
Informacje dodatkowe