![]() |
Autor artykułu: mgr Jerzy Wałaszek, wersja1.0 |
©2011 mgr
Jerzy Wałaszek
|
Dla prostoty umówmy się, że nasze ściany są kwadratami. Ścianę definiujemy za pomocą następujących struktur:
struct vertex3D
{
double x,y,z;
};
struct vertex2D
{
Sint32 x,y;
};
struct face3D
{
int v1,v2,v3,v4;
Uint32 color;
};
Struktura vertex3D definiuje punkt w przestrzeni trójwymiarowej. Punkt ten posiada trzy współrzędne rzeczywiste x,y,z.
Struktura vertex2D służy do definiowania punktu na powierzchni graficznej, która składa się z pikseli. Piksele posiadają współrzędne całkowite, dlatego w strukturze wykorzystywany jest typ całkowity do przechowywania współrzędnych piksela, który odpowiada rzutowi punktu na powierzchnię graficzną.
Struktura face3D definiuje ścianę. Zawiera ona numery punktów, które tworzą wierzchołki ściany oraz kolor powierzchni ściany. Umawiamy się, że wierzchołki v1...v4 są podane zgodnie z ruchem wskazówek zegara, gdy patrzymy na przód ściany.
Przez odległość ściany do punktu obserwatora będziemy rozumieli odległość jej środka od punktu obserwatora:

Przypominam, że punkt obserwatora leży na ujemnej połówce osi Z w odległości d od środka układu współrzędnych.
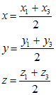
Środek ściany kwadratowej wyznaczymy ze wzorów:

gdzie x1,y1,z1 i x3,y3,z3 są odpowiednio współrzędnymi wierzchołków v1 i v3.
Mając punkt środka ściany, obliczamy kwadrat odległości do punktu obserwatora wg wzoru (do dalszych obliczeń wystarczy nam kwadrat):

Wzór ten można w prosty sposób wyprowadzić z twierdzenia Pitagorasa jako przekątną równoległoboku, co proponuję dociekliwym.
Odległości liczymy dla wszystkich ścian, a następnie sortujemy te ściany względem malejących odległości - na początku mają się znaleźć ściany najbardziej odległe, a na końcu ściany coraz bliższe punktowi obserwatora. Posortowane ściany rysujemy od najdalszej do najbliższej.
Poniższy program demonstruje tę metodę.
Program wykorzystuje bibliotekę newgfx.
| Code::Blocks |
// Zasłanianie ścian
// (C)2012 Koło Informatyczne
// I LO w Tarnowie
//-------------------------------
#include "newgfx.h"
#include <cmath>
const double PI=3.1415926535897;
// Definicja typów danych
struct vertex3D
{
double x,y,z;
};
struct vertex2D
{
Sint32 x,y;
};
struct face3D
{
int v1,v2,v3,v4;
Uint32 color;
};
// Definicja wierzchołków figury
const int VN = 16; // Liczba wierzchołków
vertex3D V[] = {{-1,-1,-0.5},{-1,-1,0.5},
{ 0,-1,-0.5},{ 0,-1,0.5},
{ 0, 0,-0.5},{ 0, 0,0.5},
{ 1, 0,-0.5},{ 1, 0,0.5},
{ 1, 1,-0.5},{ 1, 1,0.5},
{ 0, 1,-0.5},{ 0, 1,0.5},
{-1, 1,-0.5},{-1, 1,0.5},
{-1, 0,-0.5},{-1, 0,0.5}};
vertex3D VG[VN];
// Definicja ścian figury
const int FN = 14; // Liczba ścian
face3D F[] ={{ 0, 1, 3, 2,0xffffff},
{ 2, 3, 5, 4,0xff0000},
{ 4, 5, 7, 6,0xffff00},
{ 6, 7, 9, 8,0x00ff00},
{ 9, 8,10,11,0x00ffff},
{11,10,12,13,0x00ffff},
{15,14,12,13,0x0000ff},
{ 0, 1,15,14,0x0000ff},
{ 0, 2, 4,14,0x7f00ff},
{14, 4,10,12,0x7f00ff},
{ 4, 6, 8,10,0x7f00ff},
{ 3, 1,15, 5,0xff007f},
{ 5,15,13,11,0xff007f},
{ 7, 5,11, 9,0xff007f}};
// Tablica współrzędnych ekranowych wierzchołków
vertex2D VE[VN];
// Tworzy macierz jednostkową
void identity(double x[][4])
{
for(int i = 0; i < 4; i++)
for(int j = 0; j < 4; j++)
x[i][j] = i == j ? 1 : 0;
}
// Mnoży macierze X = X x Y
void multiply(double x[][4], double y[][4])
{
double c[4][4]; // macierz na wynik tymczasowy
int i,j;
// mnożymy C = X x Y
for(i = 0; i < 4; i++)
for(j = 0; j < 4; j++)
c[i][j] = x[i][0]*y[0][j] + x[i][1]*y[1][j] + x[i][2]*y[2][j] + x[i][3]*y[3][j];
// Kopiujemy X = C
for(i = 0; i < 4; i++)
for(j = 0; j < 4; j++) x[i][j] = c[i][j];
}
// Dołącza translację do macierzy przekształcenia
void translate(double g[][4], double Tx, double Ty, double Tz)
{
double t[4][4];
identity(t); // tworzymy w t macierz jednostkową
t[3][0] = Tx; // wstawiamy przesunięcia
t[3][1] = Ty;
t[3][2] = Tz;
multiply(g,t); // dołączamy translację do przekształcenia
}
// Dołącza skalowanie do macierzy przekształcenia
void scale(double g[][4], double Sx, double Sy, double Sz)
{
double s[4][4];
identity(s); // tworzymy w t macierz jednostkową
s[0][0] = Sx; // wstawiamy skale
s[1][1] = Sy;
s[2][2] = Sz;
multiply(g,s); // dołączamy skalowanie do przekształcenia
}
// Dołącza rotację do macierzy przekształcenia
void rotate_x(double g[][4], double alpha)
{
double r[4][4],sa,ca;
sa = sin(alpha);
ca = cos(alpha);
identity(r); // tworzymy w t macierz jednostkową
r[1][1] = ca; r[1][2] = sa;
r[2][1] = -sa; r[2][2] = ca;
multiply(g,r); // dołączamy obrót do przekształcenia
}
void rotate_y(double g[][4], double alpha)
{
double r[4][4],sa,ca;
sa = sin(alpha);
ca = cos(alpha);
identity(r); // tworzymy w t macierz jednostkową
r[0][0] = ca; r[0][2] = -sa;
r[2][0] = sa; r[2][2] = ca;
multiply(g,r); // dołączamy obrót do przekształcenia
}
void rotate_z(double g[][4], double alpha)
{
double r[4][4],sa,ca;
sa = sin(alpha);
ca = cos(alpha);
identity(r); // tworzymy w t macierz jednostkową
r[0][0] = ca; r[0][1] = sa;
r[1][0] = -sa; r[1][1] = ca;
multiply(g,r); // dołączamy obrót do przekształcenia
}
int main(int argc, char *argv[])
{
int waiting = 1;
SDL_Surface * screen;
SDL_Event event;
double kx = PI, ky = 0, kz = 0; // Kąty pozycji na elipsie
double alpha = 0; // Kąt obrotu sześcianu
double sx = 0, sy = 100, sz = 6000; // Współrzędne środka elipsy
double rx = 700, ry = 600, rz = 5900; // Promienie elipsy
double tx,ty,tz; // Wektor przesunięcia
double d = 1000; // Punkt obserwatora
double m; // Mnożnik
SDL_Rect r; // Prostokąt wymazywania
double G[4][4]; // Macierz przekształcenia
if(!SDL_Init(SDL_INIT_VIDEO))
{
atexit(SDL_Quit);
screen = SDL_SetVideoMode(1280, 1024, 32, SDL_HWSURFACE | SDL_FULLSCREEN);
// Ustawiamy prostokąt wymazywania
r.x = r.y = 0;
r.w = screen->w;
r.h = screen->h;
do
{
// Obliczamy wektor przesunięcia
tx = sx + rx * cos(kx);
ty = sy + ry * sin(ky);
tz = sz + rz * cos(kz);
// modyfikujemy kąty
kx += 0.005;
ky += 0.0075;
kz += 0.0125;
if(kx > PI+PI) kx = 0;
if(ky > PI+PI) ky = 0;
if(kz > PI+PI) kz = 0;
identity(G); // zerujemy przekształcenie
scale(G,500,700,900); // obracamy oś obrotu figury na oś OX
rotate_z(G,-PI/4);
rotate_y(G,-PI/4);
rotate_x(G,-PI/4);
rotate_x(G,alpha); // dokonujemy obrotu o kąt alpha
rotate_x(G,PI/4); // obracamy oś obrotu do poprzedniego położenia
rotate_y(G,PI/4);
rotate_z(G,PI/4);
translate(G,tx,ty,tz+500); // dołączamy translację, przesuwając obiekt na tor ruchu
alpha += 0.05; if(alpha > PI+PI) alpha = 0;
// Obliczamy współrzędne ekranowe
for(int i = 0; i < VN; i++)
{
// wyliczamy współrzędne po przekształceniu
VG[i].x = G[0][0]*V[i].x + G[1][0]*V[i].y + G[2][0]*V[i].z + G[3][0];
VG[i].y = G[0][1]*V[i].x + G[1][1]*V[i].y + G[2][1]*V[i].z + G[3][1];
VG[i].z = G[0][2]*V[i].x + G[1][2]*V[i].y + G[2][2]*V[i].z + G[3][2];
m = d / (VG[i].z + d); // obliczamy mnożnik
VE[i].x = (screen->w >> 1) + m * VG[i].x;
VE[i].y = (screen->h >> 1) + m * VG[i].y;
}
// Tablica odległości ścian
double FDist[FN];
// Tablica numerów ścian
int FNT[FN];
// Obliczamy odległości ścian
for(int i = 0; i < FN; i++)
{
FNT[i] = i;
double x,y,z;
x = (VG[F[i].v1].x + VG[F[i].v3].x) / 2;
y = (VG[F[i].v1].y + VG[F[i].v3].y) / 2;
z = (VG[F[i].v1].z + VG[F[i].v3].z) / 2;
FDist[i] = x*x + y*y + (z+d)*(z+d);
}
// Sortujemy ściany wg odległości
for(int j = 0; j < FN - 1; j++)
{
int pmin = j;
for( int i = j+1; i < FN; i++) if(FDist[i] > FDist[pmin]) pmin = i;
// Wymieniamy odległości w tablicy FDist[]
double xd = FDist[pmin];
FDist[pmin] = FDist[j];
FDist[j] = xd;
// Wymieniamy numery ścian w tablicy FNT[]
int xn = FNT[pmin];
FNT[pmin] = FNT[j];
FNT[j] = xn;
}
if(SDL_MUSTLOCK(screen)) SDL_LockSurface(screen);
// Rysujemy ściany wg kolejności ich numerów w FNT
for(int i = 0; i < FN; i++)
{
Sint32 fig[100];
// Tworzymy łamaną
fig[0] = 5;
fig[1] = VE[F[FNT[i]].v1].x;
fig[2] = VE[F[FNT[i]].v1].y;
fig[3] = VE[F[FNT[i]].v2].x;
fig[4] = VE[F[FNT[i]].v2].y;
fig[5] = VE[F[FNT[i]].v3].x;
fig[6] = VE[F[FNT[i]].v3].y;
fig[7] = VE[F[FNT[i]].v4].x;
fig[8] = VE[F[FNT[i]].v4].y;
fig[9] = VE[F[FNT[i]].v1].x;
fig[10] = VE[F[FNT[i]].v1].y;
fig[11] = 0;
// Łamaną wypełniamy kolorem ściany
gfxFillPoly(screen,fig,F[FNT[i]].color);
}
if(SDL_MUSTLOCK(screen)) SDL_UnlockSurface(screen);
SDL_UpdateRect(screen, 0, 0, 0, 0); // Uaktualniamy ekran
if(SDL_MUSTLOCK(screen)) SDL_LockSurface(screen);
// Wymazujemy szkielet figury
SDL_FillRect(screen, &r, 0);
if(SDL_MUSTLOCK(screen)) SDL_UnlockSurface(screen);
// Czekamy na klawisz ESCAPE
if (SDL_PollEvent(&event))
if ((event.type == SDL_QUIT) ||
((event.type == SDL_KEYDOWN) &&
(event.key.keysym.sym == SDLK_ESCAPE))) waiting = 0;
} while(waiting);
}
return 0;
}
|
![]() | I Liceum Ogólnokształcące |
Pytania proszę przesyłać na adres email: i-lo@eduinf.waw.pl
W artykułach serwisu są używane cookies. Jeśli nie chcesz ich otrzymywać,
zablokuj je w swojej przeglądarce.
Informacje dodatkowe