![]() |
Autor artykułu: mgr Jerzy Wałaszek, wersja1.0 |
©2010 mgr
Jerzy Wałaszek
|
Dana jest figura geometryczna:

Ułóż arkusz kalkulacyjny, który dla danego wymiaru a obliczy pole oraz obwód tej figury.
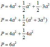
Czerwonymi liniami rozdzieliliśmy figurę na 6 figur prostszych: 4 kwadraty o boku a oraz dwa trójkąty o bokach a a b i 3a a c. Pole figury jest równe sumie pól tych figur:

Obwód jest równy sumie długości wszystkich boków.

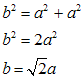
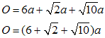
Boki b i c są przeciwprostokątnymi odpowiednich trójkątów prostokątnych i można je w prosty sposób wyliczyć z tw. Pitagorasa:

oraz

i ostatecznie:

W kolumnie A umieścimy etykiety:

W kolumnie B umieszczamy dane i formuły zgodne z wyprowadzonymi wzorami:

Wykorzystaj arkusz do wypełnienia poniższej tabelki:
| Lp. | a | Pole | Obwód |
| 1. | 1,00 | ||
| 2. | 11,87 | ||
| 3. | 138,12 |
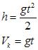
Ciało spada swobodnie z wysokości h z przyspieszeniem grawitacyjnym g = 9,81 [m/s2]. Ułóż arkusz kalkulacyjny, który obliczy czas spadku t oraz prędkość końcową Vk w [m/s] i [km/h]. Prędkość początkowa ciała wynosi 0. Dane są h i g.
Zakładamy, że w trakcie ruchu ciała przyspieszenie g jest stałe oraz na ciało nie działają opory powietrza. W takich warunkach ciało będzie się poruszało ruchem jednostajnie przyspieszonym. Obowiązują zatem wzory:

z pierwszego wzoru wyliczamy t:

Wstawiamy ten wzór zamiast t do drugiego wzoru i wyliczamy Vk:

Wzór ten da nam prędkość końcową wyrażoną w [m/s]. Aby otrzymać prędkość w [km/h] należy prędkość tą przemnożyć przez współczynnik 3,6.
Kolumna A będzie zawierała etykiety:

W kolumnie C umieszczamy oznaczenia jednostek:

W kolumnie B umieszczamy dane oraz formuły oraz formatujemy ją do wyświetlania liczb z dwoma miejscami po przecinku:

Wykorzystaj arkusz do wypełnienia tabelki:
| Lp. | h | t | Vk |
| [m] | [s] | [km/h] | |
| 1. | 1,00 | ||
| 2. | 10,00 | ||
| 3. | 100,00 | ||
| 4. | 1000,00 | ||
| 5, | 10000,00 |

Okręt podwodny w czasie wojny zlokalizował wrogi okręt, który oddala się w linii prostej ze stałą prędkością V. Ułóż arkusz kalkulacyjny, który dla danej odległości okrętu s1 i jego prędkości V wyliczy taką prędkość torpedy VT, aby osiągnęła ona okręt w zadanej odległości s2. Arkusz powinien również obliczać czas ruchu torpedy. Załóż, iż po opuszczeniu okrętu torpeda porusza się w wodzie ze stałą prędkością.
![]() | I Liceum Ogólnokształcące |
Pytania proszę przesyłać na adres email: i-lo@eduinf.waw.pl
W artykułach serwisu są używane cookies. Jeśli nie chcesz ich otrzymywać,
zablokuj je w swojej przeglądarce.
Informacje dodatkowe