![]() |
Autor artykułu: mgr Jerzy Wałaszek, wersja1.0 |
©2010 mgr
Jerzy Wałaszek
|
Arkusz kalkulacyjny (ang. electronic spreadsheet) jest aplikacją, która służy do wykonywania obliczeń, analiz oraz wykresów. Stosowany jest powszechnie przez matematyków, inżynierów, handlowców. Opanowanie zasad pracy z arkuszem kalkulacyjnym umożliwia sprawne wykonywanie wszelkich obliczeń, z którymi ma do czynienia uczeń w liceum.

Arkusz kalkulacyjny zbudowany jest z prostokątnych komórek ułożonych w kolumny i wiersze. Jedna z komórek arkusza jest wyróżniona czarnym prostokątem - to jest kursor, który wskazuje aktywną komórkę, czyli taką, którą użytkownik może edytować.
Kolumny oznaczamy kolejnymi literami alfabetu A, B, C.... Za pomocą klawisza → przesuń kursor do kolumny Z. Ponieważ literki pojedyncze się skończyły, kolejne kolumny posiadają dalej oznaczenia dwuliterowe: AA, AB, AC, ... Przesuń się dalej do kolumny AZ. Następne kolumny mają oznaczenia BA. BB, BC...
Teraz naciśnij klawisz End a następnie →. Spowoduje to przejście do ostatniej kolumny w arkuszu. Ma ona oznaczenie IV. Dziwne. Spodziewalibyśmy się raczej ZZ. Tak jednak nie jest. Jeśli ponumerowalibyśmy kolejne kolumny, to otrzymalibyśmy następujący wynik:
A = 1
B = 2
C = 3
...
IV = 256
Ostatnia kolumna ma zatem numer 256. Komputer wewnętrznie pracuje w systemie binarnym i dla niego liczba 256 jest równą liczbą:
256 = 1000000002
Przyjmij po prostu, że tak jest mu wygodniej. My i tak nie będziemy potrzebowali aż 256 kolumn.
Wiersze są numerowane kolejnymi liczbami 1,2,3... Naciśnij klawisz End i ↓. Spowoduje to przejście do ostatniego wiersza arkusza. I znów niespodzianka. Ostatni wiersz posiada numer 65536, a nie 100000. Uzasadnienie jest podobne jak wyżej. W systemie binarnym, w którym wykonuje obliczenia komputer, jest to ładna, równa liczba:
65536 = 100000000000000002
Wróć na początek arkusza naciskając Ctrl + Home.
Literowe oznaczenia kolumn oraz numery wierszy tworzą siatkę współrzędnych, które pozwalają identyfikować położenie komórki na arkuszu. Za ich pomocą tworzymy adresy komórek. Na przykład, pierwsza komórka arkusza ma adres A1 - leży w kolumnie A i w wierszu nr 1. Komórka o adresie D6 leży w kolumnie D i w wierszu nr 6.
Położenie komórki z kursorem możesz odczytać w lewym górnym rogu arkusza - jest to tzw. pole nazwy, które pełni kilka funkcji.

Jedną z tych funkcji jest szybkie przechodzenie do odpowiedniej komórki w arkuszu. Na przykład chcemy znaleźć się w komórce EQ25387. Klikamy w pole nazwy i wpisujemy adres EQ25387. Po wciśnięciu klawisza Enter kursor znajdzie się w pożądanej komórce.
Do każdej komórki arkusza możemy wprowadzić dowolny tekst. Wpisz do kolejnych komórek następujące wyrazy (wpisuj po jednym wyrazie, przesuwaj się do kolejnych komórek za pomocą klawiszy kursora lub klikaj w nie myszką):

Jeśli chcesz zmienić zawartość jakiejś komórki, to po prostu wskazujesz ją kursorem i wpisujesz nowy tekst. Czasami jednak zawartość komórki może być cenna i nie chcesz jeszcze raz wprowadzaj jej od początku (np. gdy zawiera skomplikowany tekst). W takim przypadku możemy edytować zawartość komórki. W tym celu wskaż komórkę kursorem, a następnie naciśnij klawisz F2 (lub kliknij ją szybko dwukrotnie lewym przyciskiem myszki). Kursor tekstowy (pionowa, mrugająca kreska) pojawi się wtedy wewnątrz komórki i będziesz mógł coś dopisać, usunąć, wstawić.

Inną możliwością edycji zawartości komórki jest wykorzystanie paska formuły - pola tekstowego, które znajduje się ponad arkuszem:

W tym celu wybierz kursorem komórkę do edycji, a następnie kliknij myszką tekst widoczny na pasku formuły. Pojawi się tam kursor tekstowy i będziesz mógł edytować zawartość komórki.
Tekst wprowadzony do komórki możemy w różny sposób formatować. Wybierz jedną z komórek arkusza, a następnie:
aby pogrubić tekst, kliknij na pasku narzędziowym ikonę B lub naciśnij klawisze Ctrl+B
aby pochylić tekst, kliknij na pasku narzędziowym ikonę I lub naciśnij klawisze Ctrl+I
aby podkreślić tekst, kliknij na pasku narzędziowym ikonę U lub naciśnij klawisze Ctrl+U

aby zmienić krój czcionki, wybierz nowy krój za pomocą narzędzia Czcionka na pasku narzędziowym
aby zmienić wielkość czcionki, wybierz ją za pomocą narzędzia Rozmiar czcionki na pasku narzędziowym

Jeśli po zmianie rozmiaru czcionki treść nie mieści się w kolumnie, to wskaż myszką na pasku oznaczeń kolumn prawą krawędź kolumny, którą chcesz dopasować. Gdy kursor zmieni się na strzałki w prawo/lewo, kliknij szybko dwukrotnie lewym przyciskiem myszki - szerokość kolumny zostanie automatycznie dopasowana do treści zawartych w tej kolumnie.
| Uwaga: W pracowni często się zdarza, iż uczniowie usuwają paski narzędziowe. Aby je przywrócić, wybieramy z menu opcję Widok / Paski narzędzi, a następnie zaznaczamy dwa pierwsze: Standardowy oraz Formatowanie. |
aby pokolorować tekst w komórce, wybierz z paska narzędziowego narzędzie Kolor czcionki - jeśli klikniesz w ikonę A, to zostanie wybrany kolor, który znajduje się pod literką. Jeśli chcesz wybrać inny kolor, kliknij w strzałeczkę obok ikony. Otworzy się wtedy paleta z większą liczbą kolorów do wyboru.

Kolor standardowy otrzymasz, wybierając opcję Automatyczny.
aby pokolorować tło komórki, z paska narzędziowego wybierz narzędzie Kolor wypełnienia. Jeśli klikniesz w nie myszką, to komórka otrzyma taki kolor, jaki widnieje pod ikoną. Jeśli chcesz wybrać inny kolor, to, podobnie jak dla czcionki, kliknij w znajdującą się po prawej stronie strzałkę i wybierz pożądany odcień koloru z palety.

Jeśli chcesz usunąć wypełnienie, wybierz opcję Brak wypełnienia.
| Uwaga: Format możesz jednocześnie zastosować do wielu wybranych komórek. Komórki do formatowania wybierasz przeciągając po nich myszką z wciśniętym lewym klawiszem. Jeśli przeciągniesz na ukos, to zostanie zaznaczony obszar prostokątny. Jeśli chcesz zaznaczyć kilka różnych obszarów, to przed zaznaczeniem kolejnego obszaru wciśnij i przytrzymaj wciśnięty klawisz Ctrl. |
aby zmienić wyrównanie tekstu w komórce
(lub zaznaczonych komórkach), wybierz z paska formatowania jedną z
ikon: Wyrównaj do lewej, Wyśrodkuj lub Wyrównaj do prawej - tekst w
komórkach jest standardowo wyrównywany do lewej krawędzi, lepiej wtedy
wygląda w kolumnie.
![]()
aby zmienić wysokość kolumny, umieść kursor myszki pomiędzy
dwoma numerami wierszy i, gdy zmieni kształt na strzałki w górę i w dół,
wciśnij lewy przycisk myszki i przeciągaj w górę lub w dół.

aby zmienić wyrównanie w pionie, kliknij prawym przyciskiem myszki w wybraną komórkę (lub zaznaczony obszar komórek), z menu kontekstowego wybierz opcję Formatuj komórki. W okienku dialogowym, które się pojawi na ekranie, przejdź do zakładki wyrównanie. Tutaj możesz w różny sposób wyrównywać tekst względem komórki.

Szczególnie ciekawa jest zmiana orientacji tekstu. Dzięki tej opcji możesz uzyskać tekst pionowy lub pisany pod wybranym katem - często się to przydaje, gdy np. musimy na arkuszu opisać kolumny. Zastosowanie tekstu pionowego zmniejsza ich szerokość.

Na spodzie arkusza są trzy zakładki:
![]()
Kliknij w zakładkę Arkusz2. Dostaniesz nowy arkusz, na którym poćwiczysz wprowadzanie liczb oraz ich formatowanie. W kolejnych komórkach wpisz:

Zwróć uwagę, iż liczby, przeciwnie do tekstu, są automatycznie dosuwane do prawej krawędzi komórki. W takim położeniu lepiej się je czyta w kolumnach. Oczywiście liczby możesz formatować identycznie jak tekst. Dosuń liczby w kolumnie A do lewej krawędzi komórki:

Liczby w kolumnie lepiej wyglądają, gdy posiadają równą ilość miejsc po przecinku. Zaznacz kolumnę B i użyj narzędzia Zwiększ dziesiętne, aby ustawić 2 miejsca po przecinku. Drugie narzędzie, Zmniejsz dziesiętnie, zmniejsza ilość miejsc po przecinku. Użyj go do kolumny C, aby ustawić w przechowywanych tam liczbach jedno miejsce po przecinku.
![]()

Zwróć uwagę, na pewną rzecz. Gdy ustawiliśmy w kolumnie C jedno miejsce po przecinku dla umieszczonych tam liczb, to zostały one zaokrąglone. Np. w C1 było 3,17, a jest 3,2. W C2 było 11,66666, a jest 11,7. Z kolei C3 zmieniło się z 0,05 na 0,1. Faktycznie w komórkach pozostały poprzednie wartości - zmianie uległ tylko sposób ich prezentacji na arkuszu. Aby się o tym przekonać, umieść kursor na komórce C1 i popatrz na pasek formuły, który przedstawia rzeczywistą zawartość komórki:

Zawartość komórek możemy wyświetlać jako sumy pieniężne. W tym celu zaznacz kolumnę B i na pasku narzędziowym kliknij narzędzie Waluta:


Możemy również prezentować ułamki dziesiętne od 0 do 1 jako procenty od 0% do 100%. Zaznacz wiersz 3 i kliknij narzędzie Zapis procentowy:


Więcej opcji formatowania liczb otrzymasz klikając wybraną komórkę (lub grupę zaznaczonych komórek) prawym przyciskiem myszki i wybierając z menu kontekstowego opcję Formatuj komórki. W okienku dialogowym wybierz zakładkę Liczby. Przejrzyj dostępne opcje.

Formuły są to wzory, wg których arkusz wykonuje obliczenia. Na spodzie arkusza wybierz zakładkę Arkusz3. Następnie w komórce A1 wpisz formułę:
= 5+12
Formuła zawsze rozpoczyna się od znaku =. Po nim piszemy treść wyrażenia, które Excel ma obliczyć. Gdy naciśniesz klawisz Enter, w komórce pojawi się wynik formuły. Treść formuły można zobaczyć na pasku formuły po wybraniu komórki z daną formułą:

W kolejnych komórkach wpisz poniższe formuły:
=7-3
=5*3
=12/4
=2^3
Ostatnia formuła zawiera potęgowanie. Znaki działań arytmetycznych nazywamy operatorami. Podsumujmy:
| operator | działanie |
| + | dodawanie |
| - | odejmowanie |
| * | mnożenie |
| / | dzielenie |
| ^ | potęgowanie |
Operacja potęgowania pozwala nam również obliczać pierwiastki.

Liczba x jest pierwiastkiem kwadratowym liczby y wtedy i tylko wtedy, gdy x pomnożone przez siebie daje y.
Z drugiej strony mamy znaną zależność matematyczną:

Stąd:



Pierwiastek danej liczby otrzymamy, podnosząc ją do potęgo 0,5. Wpisz w kolejne komórki formuły:
=4^0,5
=9^0,5
=2^0,5
Jeśli nie bardzo rozumiesz te wywody, to pierwiastek możesz również otrzymać za pomocą funkcji Excela Pierwiastek(). W sąsiednich komórkach kolumny B wpisz formuły:
=pierwiastek(4)
=pierwiastek(9)
=pierwiastek(2)
Wyniki będą identyczne.
Operatory arytmetyczne posiadają swoje priorytety, czyli ważność. Jeśli w wyrażeniu występują różne operatory, to działania są wykonywane w następującej kolejności:
^ : potęgowania
* / : mnożenia i dzielenia od strony lewej do prawej
+ - : dodawania i odejmowania od strony lewej do prawej
Dla przykładu zobaczmy, jak Excel oblicza formułę zawierającą różne operatory arytmetyczne:
=2+5^2*4-6/2
=2+25*4-6/2
=2+100-3
=99
Jeśli musimy zmienić kolejność działań, stosujemy nawiasy ( ). Oto przykładowe formuły Excela:

W formułach Excela możemy stosować adresy komórek. W takim przypadku formuła do obliczeń przyjmie zawartość adresowanej komórki.
Zaznacz wszystkie komórki arkusza, wciskając Ctrl+A. Następnie naciśnij klawisz Delete. Spowoduje to usunięcie poprzednio wprowadzonych formuł. Teraz wpisz w kolejne komórki arkusza trzy liczby:

W komórce A5 umieścimy formułę, która sumę komórek A1 i A2 pomnoży przez zawartość komórki A3. Przejdź kursorem do komórki A5 i wpisz =. Adresy komórek możemy wpisywać ręcznie lub komórki możemy wskazywać na arkuszu klikając je lewym przyciskiem myszki. W komórce A5 wpisz formułę:

Gdy wciśniesz Enter, komputer wyliczy wartość formuły i wyświetli wynik 9. Ponieważ formuła zawiera adresy komórek A1, A2 i A3, to jej wartość zależy bezpośrednio od tego, co się w tych komórkach znajduje. Zmień po kolei zawartość poszczególnych komórek A1, A2 i A3 i obserwuj wynik w komórce A5:

Po zmianie każdej z komórek, formuła przyjmowała nową wartość. Tutaj tkwi moc arkusza kalkulacyjnego Excel. Formuły wprowadzamy do komórek raz. Formuły te korzystają z danych umieszczonych w innych komórkach na arkuszu. Zmiana tych danych pozwala wykonywać nowe obliczenia (zmiana raz wprowadzonych formuł nie jest już konieczna).
Usuń zawartość poprzedniego arkusza (Ctrl+A i Delete). W końcowej części lekcji stworzymy prosty arkusz kalkulacyjny, który będzie wykonywał obliczenia na różnych danych. Tworzenie i wykorzystanie każdego arkusza kalkulacyjnego składa się z trzech faz:
Analiza - w tej fazie określamy dane oraz pożądane wyniki. Bez analizy nie da się utworzyć dobrego arkusza kalkulacyjnego.
Na podstawie analizy tworzymy formuły obliczeniowe i umieszczamy je w komórkach arkusza.
Wykonujemy obliczenia za pomocą utworzonego w ten sposób arkusza kalkulacyjnego.
Naszym zadaniem będzie zaprojektowanie arkusza kalkulacyjnego, który oblicza pole, obwód oraz przekątną prostokąta o znanych bokach a i b:
|
Dane: a,b - boki prostokąta Szukane: |
Arkusz kalkulacyjny wykona za nas obliczenia, jednakże nie rozwiąże zadania. Tutaj potrzebny jest rozum człowieka. Na szczęście zadanie jest bardzo proste i wzory na szukane wielkości nie sprawią trudności:
Pole prostokąta jest równe iloczynowi podstawy przez jego wysokość:

Obwód jest sumą długości wszystkich boków:

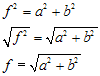
Przekątną obliczymy w prosty sposób z twierdzenia Pitagorasa dla trójkąta prostokątnego (taki trójkąt tworzy przekątna f z bokami a i b):

Gdy mamy już wyprowadzone wszystkie wzory obliczeniowe, możemy przystąpić do tworzenia arkusza. W kolumnie A umieścimy opisy, w kolumnie B umieścimy dane i formuły. Najpierw wpisz do arkusza teksty opisujące zawartości komórek i odpowiednio je sformatuj:

Przejdź do kolumny B. W komórkach B2 i B3 wpisz przykładowe długości boków, np:

Zaznacz komórki od B2 do B8 i ustaw w nich wyświetlanie liczb z dwoma miejscami po przecinku (wykorzystaj narzędzie Zwiększ dziesiętne).

Teraz wpiszemy formuły zgodnie z wyprowadzonymi w analizie wzorami:
|
|
![]() |
Wykorzystując utworzony arkusz, uzupełnij tabelkę (do arkusza wpisuj wartości boków a i b, a następnie odczytaj i zapisz w tabelce pole, obwód oraz przekątną):
| Lp. | a | b | P | O | f |
| 1. | 12,76 | 128,52 | |||
| 2. | 33,10 | 16,98 | |||
| 3. | 1282,00 | 785,00 |
![]() | I Liceum Ogólnokształcące |
Pytania proszę przesyłać na adres email: i-lo@eduinf.waw.pl
W artykułach serwisu są używane cookies. Jeśli nie chcesz ich otrzymywać,
zablokuj je w swojej przeglądarce.
Informacje dodatkowe