Wymagane jest zapoznanie się z następującymi podrozdziałami:
P019 - Pierwszy program dla Windows
OL031 - Instalacja biblioteki SDL w środowisku Dev-C++
OL032 - Inicjalizacja biblioteki SDL
OL033 - Powierzchnie graficzne w SDL
OL034 - Przygotowanie plików własnej biblioteki graficznej
OL035 - Rysowanie po powierzchni graficznej
UWAGA!!!Bieżące opracowanie NIE JEST KURSEM programowania biblioteki SDL. Są to materiały przeznaczone do zajęć na kole informatycznym w I LO w Tarnowie.
Przed pracą z tym rozdziałem utwórz w środowisku Dev-C++ nowy projekt SDL i dołącz do niego pliki SDL_gfx.cpp oraz SDL_gfx.h. Jeśli nie przeczytałeś zalecanych rozdziałów, koniecznie zrób to, a wszystko stanie się jasne. W przeciwnym razie odpuść sobie również ten rozdział. Opis funkcji bibliotecznych znajdziesz w podsumowaniu SDL002.
Artykuł nie jest już rozwijany
W rozdziale OL035 zaprojektowaliśmy funkcję gfxPlot() rysującą pojedyncze punkty na powierzchni graficznej. Dalej, bazując na tym rozwiązaniu, opracowaliśmy funkcje rysowania linii poziomych gfxHLine(), pionowych gfxVLine i ramek gfxRectangle(). Następnym krokiem będzie zaprojektowanie funkcji gfxLine() do rysowania odcinka linii prostej pomiędzy punktem początkowym xp,yp a punktem końcowym xk,yk. W tym celu zastosujemy popularny algorytm Bresenhama, który stosowany jest w urządzeniach rastrowych do kreślenia odcinków za pomocą pikseli.
Idea algorytmu Bresenhama jest następująca:
Mamy siatkę punktów. Każdy punkt posiada odpowiednie współrzędne całkowite x,y. Oś y jest skierowana w dół.

Na siatce wybieramy dwa punkty o współrzędnych x1,y1 oraz x2,y2. Współrzędne odnoszą się do środka piksela. Bez zmniejszania ogólności załóżmy, iż punkty te wybrano, tak aby odcinek
(x1,y1)-(x2,y2) tworzył z osią OX kąt w przedziale od 0 do 45°. Inne przypadki, jak zobaczymy dalej w artykule, da się prosto sprowadzić do tego przypadku przy pomocy prostych transformacji współrzędnych. Wybrane punkty mają być połączone odcinkiem.

Zadanie sprowadza się do pokolorowania kolejnych pikseli, których środki leżą najbliżej punktu na odcinku o tej samej współrzędnej, co piksel. Zwróć uwagę, iż ze względu na nasze założenie, w kierunku X współrzędne kolejnych pikseli są zwiększane zawsze co 1, natomiast w kierunku Y odbywa się to mniej często. Kierunek X nazwiemy szybkim, a kierunek Y wolnym.

Algorytm Bresenhama określa, kiedy należy wykonać ruch w kierunku wolnym Y (bo w kierunku szybkim X ruch wykonujemy zawsze!). Rozważmy równanie prostej przechodzącej przez dwa punkty (x1,y1) i (x2,y2):

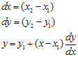
W powyższym równaniu x oznacza współrzędną środka kolejnego piksela (punkty niebieskie). Współrzędna y natomiast odnosi się do punktu leżącego na prostej zawierającej odcinek (punkty czerwone). Środek piksela jest zwykle w pewnej odległości od odpowiadającego mu punktu na odcinku. Oznaczmy tą odległość przez ddy, a współrzędną y środka piksela przez yp. Zatem możemy zapisać:
Wstawmy to wyrażenie do równania prostej:
Teraz przekształćmy wyrażenie następująco:

Wyrażenie -ddy•dx jest tzw. wyrażeniem błędu (ang. error term). Zgodnie ze wzorem krok w kierunku szybkim X powoduje zmniejszenie wyrażenia błędu o dy. Jeśli wartość wyrażenia będzie ujemna, to wykonujemy krok w kierunku wolnym Y, czyli zwiększamy je o dx. Ponieważ dx ≥ dy, to wyrażenie błędu sprowadzi się znów do wartości dodatniej lub 0. Na tej podstawie algorytm Bresenhama określa kiedy należy wykonać ruch w kierunku Y - stara się zawsze utrzymać wyrażenie błędu w zakresie liczb dodatnich i zera. Wartości ddy wcale nie musimy obliczać. Bardzo ważna jest wartość początkowa wyrażenia błędu. Zwykle przyjmuje się ją równą dx/2.
Sformułujmy algorytm Bresenhama dla tego przypadku:
Wejście
x1,y1 - całkowite współrzędne punktu startowego
x2,y2 - całkowite współrzędne punktu końcowego
Założenie: x2 > x1, y2 > y1, x2 - x1 > y2 - y1
Wyjście
Rysunek rastrowy odcinka łączącego punkt x1,y1 z punktem x2,y2.
Zmienne pomocnicze
dx - odległość x2 od x1
dy - odległość y2 od y1
e - wartość wyrażenia błęduLista kroków
K01: dx ← x2 - x1 ; obliczamy odległości dx i dy K02: dy ← y2 - y1 K03: e ← dx / 2 ; ustalamy wartość początkową wyrażenia błędu K05: Zapal piksel x1,y1 ; zapalamy pierwszy piksel odcinka K04: Wykonuj dx razy kroki K06...K10 ; w pętli zapalamy kolejne piksele K06: x1 ← x1 + 1 ; ruch w kierunku szybkim K07: e ← e - dy ; modyfikujemy po ruchu wyrażenie błędu K08: Jeśli e ≥ 0, idź do kroku K11 ; jeśli e nieujemne, pomijamy ruch w kierunku wolnym K09: y1 ← y1 + 1 ; ruch w kierunku wolnym K10: e ← e + dx ; po ruchu wolnym modyfikujemy wyrażenie błędu K11: Zapal piksel x1,y1 ; zapalamy kolejne piksele odcinka K12: Koniec Prześledzimy działanie tego algorytmu na prostym przypadku.
Lp. Obrazek Opis 1. Połączymy odcinkiem punkty: (1,1) i (7,5) Zatem:
x1 = 1, y1 = 1
x2 = 7, y2 = 5
dx = x2 - x1 = 7 - 1 = 6
dy = y2 - y1 = 5 - 1 = 4
e = dx/2 = 6/2 = 32. Zapalamy pierwszy punkt na współrzędnych x1,y1, czyli (1,1) 3. Na osi X przesuwamy się o 1 (kierunek szybki):
x1 = x1 + 1 = 1 + 1 = 2
Modyfikujemy wyrażenie błędu:
e = e - dy = 3 - 4 = -1.
Ponieważ e jest ujemne, wykonujemy ruch w kierunku wolnym Y:
y1 = y1 + 1 = 1 + 1 = 2
Modyfikujemy wyrażenie błędu:
e = e + dx = -1 + 6 = 5
Zapalamy punkt (x1,y1), czyli (2,2).4. Na osi X przesuwamy się o 1.
x1 = x1 + 1 = 2 + 1 = 3
Obliczamy wyrażenie błędu:
e = e - dy = 5 - 4 = 1
Ponieważ e nie jest ujemne , nie przesuwamy się na osi Y. Zapalamy punkt (3,2).5. Na osi X przesuwamy się o 1 i wyliczamy nowe wyrażenie błędu:
x1 = x1 + 1 = 3 + 1 = 4
e = e - dy = 1 - 4 = -3.
Ponieważ e jest ujemne, wykonujemy ruch w kierunku wolnym Y:
y1 = y1 + 1 = 2 + 1 = 3
Modyfikujemy wyrażenie błędu:
e = e + dx = -3 + 6 = 3
Zapalamy punkt (x1,y1), czyli (4,3).6. Na osi X przesuwamy się o 1 i wyliczamy e
x1 = x1 + 1 = 4 + 1 = 5
e = e - dy = 3 - 4 = -1.
Ponieważ e jest ujemne, wykonujemy ruch w kierunku wolnym Y:
y1 = y1 + 1 = 3 + 1 = 4
Modyfikujemy wyrażenie błędu:
e = e + dx = -1 + 6 = 5
Zapalamy punkt (x1,y1), czyli (5,4).7. Na osi X przesuwamy się o 1 i wyliczamy nowe e:
x1 = x1 + 1 = 5 + 1 = 6
e = e - dy = 5 - 4 = 1
Ponieważ e nie jest ujemne , nie przesuwamy się na osi Y. Zapalamy punkt (6,4).8. Ostatni krok algorytmu: x1 = x1 + 1 = 6 + 1 = 7
e = e - dy = 1 - 4 = -3.
Ponieważ e jest ujemne, wykonujemy ruch w kierunku wolnym Y:
y1 = y1 + 1 = 4 + 1 = 5
e = e + dx = -3 + 6 = 3
Zapalamy punkt (x1,y1), czyli (7,5). Jest to końcowy punkt odcinka. Zadanie wykonane.Przedstawiony powyżej algorytm Bresenhama działa poprawnie jedynie dla przypadku, gdy odcinek tworzy z osią OX kąt mniejszy lub równy 45°. Pokażemy teraz, jak rozwiązać pozostałe przypadki.
Poniżej przedstawiamy pełny algorytm Bresenhama, który rysuje odcinki pomiędzy dowolnymi punktami na powierzchni graficznej. Inne przypadki nachyleń są sprowadzane do przypadku podstawowego przez odpowiednią podmianę współrzędnych punktów odcinka.
Wejście
x1,y1 - całkowite współrzędne punktu startowego
x2,y2 - całkowite współrzędne punktu końcowego
Wyjście
Rysunek rastrowy odcinka łączącego punkt x1,y1 z punktem x2,y2. Współrzędne są dowolne, całkowite.
Dane pomocnicze
dx - odległość współrzędnych x1 i x2
dy - odległość współrzędnych y1, y2
kx - krok po osi X, 1 lub -1
ky - krok po osi y, 1 lub -1
e - wartość wyrażenia błędu
Lista kroków
K01: Jeżeli x1 ≤ x2, to kx ← 1, inaczej kx ← -1 ; określamy krok X od x1 do x2 K02: Jeżeli y1 ≤ y2, to ky ← 1, inaczej ky ← -1 ; określamy krok Y od y1 do y2 K03: dx ← |x2 - x1| ; odległość pomiędzy x1 i x2 K04: dy ← |y2 - y1| ; odległość pomiędzy y1 i y2 K05: Zapal piksel x1,y1 ; pierwszy piksel odcinka K06: Jeżeli dx < dy, idź do kroku K16 ; dla kątów > 45° wykonujemy wersję algorytmu z przestawionymi współrzędnymi K07: e ← dx / 2 ; obliczamy wartość początkową wyrażenia błędu K08: Powtarzaj dx razy kroki K09...K14 ; rysujemy pozostałe piksele w pętli K09: x1 ← x1 + kx ; przesuwamy się w odpowiednią stronę w kierunku szybkim K10: e ← e - dy ; obliczamy wyrażenie błędu K11: Jeżeli e ≥ 0, idź do kroku K14 ; jeśli wyrażenie błędu jest nieujemne, pomijamy ruch w kierunku wolnym K12: y1 ← y1 + ky ; przesuwamy się w odpowiednią stronę w kierunku wolnym K13: e ← e + dx ; obliczamy nowe wyrażenie błędu K14: Zapal piksel x1.y1 ; kolejny piksel odcinka K15: Zakończ K16: e ← dy / 2 ; wersja algorytmu Bresenhama ze zamienionymi współrzędnymi x i y K17: Powtarzaj dy razy kroki K18...K23 K18: y1 ← y1 + ky K19: e ← e - dx K20: Jeżeli e ≥ 0, idź do kroku K23 K21: x1 ← x1 + kx K22: e ← e + dy K23: Zapal piksel x1,y1 K24: Zakończ Na podstawie podanego powyżej algorytmu tworzymy funkcję biblioteczną gfxLine(), rysującą dowolny odcinek w obszarze graficznym. Funkcja jest już zoptymalizowana w celu przyspieszenia obliczeń adresów pikseli. Jednakże realizuje ona dokładnie algorytm Bresenhama:
UWAGA: Poniższy kod funkcji gfxLine() dopisz do końca pliku SDL_gfx.cpp.
// gfxLine() rysuje odcinek pomiędzy zadanymi punktami // screen - wskaźnik struktury SDL_Surface // x1,y1 - współrzędne punktu startowego // x2,y2 - współrzędne punktu końcowego // color - kolor odcinka //------------------------------------------------------------------ void gfxLine(SDL_Surface * screen, Sint32 x1, Sint32 y1, Sint32 x2, Sint32 y2, Uint32 color) { Uint8 * p; int dx, dy, kx, ky, e; kx = (x1 <= x2) ? 4 : -4; ky = (y1 <= y2) ? screen->pitch : -screen->pitch; dx = x2 - x1; if(dx < 0) dx = -dx; dy = y2 - y1; if(dy < 0) dy = -dy; p = (Uint8 *)screen->pixels + y1 * screen->pitch + (x1 << 2); * (Uint32 *) p = color; if(dx >= dy) { e = dx >> 1; for(int i = 0; i < dx; i++) { p += kx; e -= dy; if(e < 0) { p += ky; e += dx; } * (Uint32 *) p = color; } } else { e = dy >> 1; for(int i = 0; i < dy; i++) { p += ky; e -= dx; if(e < 0) { p += kx; e += dy; } * (Uint32 *) p = color; } } }UWAGA: Na końcu pliku nagłówkowego SDL_gfx.h dopisz:
void gfxLine(SDL_Surface * screen, Sint32 x1, Sint32 y1, Sint32 x2, Sint32 y2, Uint32 color);Funkcja gfxLine() posiada następujące parametry:
screen - wskaźnik do zainicjowanej struktury typu SDL_Surface. Utworzona wcześniej powierzchnia musi zawierać piksele 32 bitowe oraz być zablokowana x1, y1 - współrzędne punktu startowego odcinka - muszą się zawierać w obszarze graficznym x2, y2 - współrzędne punktu końcowego odcinka - muszą się zawierać w obszarze graficznym color - 32 bitowy kod koloru odcinka Rysowanie linii otwiera przed nami świat grafiki komputerowej, ograniczony jedynie naszą wyobraźnią i umiejętnościami. Poniższy program, oprócz testowania nowej funkcji bibliotecznej gfxLine(), rysuje całkiem fajny obrazek.
// I Liceum Ogólnokształcące // w Tarnowie // Koło informatyczne // // P008 - test linii //------------------ #include <windows.h> #include <SDL/SDL_gfx.h> const int SCRX = 320; // stałe określające szerokość i wysokość const int SCRY = 240; // ekranu w pikselach int main(int argc, char *argv[]) { if(SDL_Init(SDL_INIT_VIDEO)) { MessageBox(0, SDL_GetError(), "Błąd inicjalizacji SDL", MB_OK); exit(-1); } atexit(SDL_Quit); SDL_Surface * screen; if(!(screen = SDL_SetVideoMode(SCRX, SCRY, 32, SDL_HWSURFACE))) { MessageBox(0, SDL_GetError(), "Błąd tworzenia bufora obrazowego", MB_OK); exit(-1); } if(SDL_MUSTLOCK(screen)) if(SDL_LockSurface(screen) < 0) { MessageBox(0, SDL_GetError(), "Błąd blokady bufora obrazowego", MB_OK); exit(-1); } const int MAXP = 30; // określa liczbę rysowanych linii int x,y; // do wyliczania współrzędnych Uint32 c,r,g,b; // kolor // Rysujemy MAXP linii. for(int i = 0; i < MAXP; i++) { // Obliczamy położenia punktów równomiernie rozłożonych na brzegach ekranu x = ((screen->w - 1) * i) / (MAXP - 1); y = ((screen->h - 1) * i) / (MAXP - 1); // Teraz wyznaczamy składowe koloru RGB na podstawie numeru linii r = (127 * i) / (MAXP - 1); b = (255 * i) / (MAXP - 1); g = 128 - r; // Tworzymy z nich kod koloru piksela c = (r << 16) | (g << 8) | b; // Rysujemy linie gfxLine(screen, x, 0, 0, screen->h - y - 1, c); gfxLine(screen, screen->w - x - 1, screen->h - 1, screen->w - 1, y, c ^ 0xffffff); } if(SDL_MUSTLOCK(screen)) SDL_UnlockSurface(screen); SDL_UpdateRect(screen, 0, 0, 0, 0); MessageBox(0, "Kliknij przycisk OK", "Koniec", MB_OK); return 0; }

Kolejny program generuje n punktów o losowych współrzędnych, a następnie łączy je ze sobą liniami - powstaje graf zupełny. Wygenerowane punkty zapamiętujemy w tablicy. Wybieramy z tablicy kolejne punkty od 0 do n - 2 (czyli do przedostatniego), i-ty punkt łączymy ze wszystkimi następnymi punktami w tablicy. W ten sposób każda para punktów zostanie połączona odcinkiem.
// I Liceum Ogólnokształcące // w Tarnowie // Koło informatyczne // // P009 - n wierzchołkowy graf zupełny //------------------------------------ #include <windows.h> #include <SDL/SDL_gfx.h> #include <time.h> const int SCRX = 320; // stałe określające szerokość i wysokość const int SCRY = 240; // ekranu w pikselach int main(int argc, char *argv[]) { if(SDL_Init(SDL_INIT_VIDEO)) { MessageBox(0, SDL_GetError(), "Błąd inicjalizacji SDL", MB_OK); exit(-1); } atexit(SDL_Quit); SDL_Surface * screen; if(!(screen = SDL_SetVideoMode(SCRX, SCRY, 32, SDL_HWSURFACE))) { MessageBox(0, SDL_GetError(), "Błąd tworzenia bufora obrazowego", MB_OK); exit(-1); } if(SDL_MUSTLOCK(screen)) if(SDL_LockSurface(screen) < 0) { MessageBox(0, SDL_GetError(), "Błąd blokady bufora obrazowego", MB_OK); exit(-1); } const int N = 15; // liczba wierzchołków w grafie; int i,j,x[N], y[N]; srand((unsigned)time(NULL)); // inicjujemy generator liczb pseudolosowych // generujemy N punktów o losowych współrzędnych for(i = 0; i < N; i++) { x[i] = rand() % screen->w; y[i] = rand() % screen->h; } // rysujemy krawędzie grafu for(i = 0; i < N - 1; i++) for(j = i + 1; j < N; j++) gfxLine(screen, x[i], y[i], x[j], y[j], 0x7700ff); if(SDL_MUSTLOCK(screen)) SDL_UnlockSurface(screen); SDL_UpdateRect(screen, 0, 0, 0, 0); MessageBox(0, "Kliknij przycisk OK", "Koniec", MB_OK); return 0; }

Przy rysowaniu wielu figur zbudowanych z łamanych niewygodne jest każdorazowe przesyłanie do funkcji współrzędnych początku i końca odcinka. Przydała by się nam funkcja rysująca odcinek, która zapamiętuje koniec poprzedniego odcinka, a nowy odcinek rysuje od zapamiętanego punktu do punktu podanego w parametrach wywołania. Punkt podany w parametrach zostaje zapamiętany, a przy kolejnym wywołaniu funkcji stanie się punktem początku nowego odcinka. Poniżej definiujemy dwie takie funkcje:
gfxMoveTo() - ustala punkt początkowy, od którego rozpoczyna się rysowanie.
gfxLineTo() - rysuje odcinek od końca poprzedniego do podanych współrzędnych, które stają się końcem odcinka dla następnego wywołania.
UWAGA: Poniższy kod funkcji gfxMoveTo() oraz gfxLineTo() dopisz do końca pliku SDL_gfx.cpp.
// współrzędne początku odcinka dla gfxLineTo //------------------------------------------------------------------ Sint32 gfx_x_coord = 0; Sint32 gfx_y_coord = 0; // Funkcja gfxMoveTo() ustawia współrzędne początku odcinka // x,y - współrzędne dla gfx_x_coord i gfx_y_coord //------------------------------------------------------------------ void gfxMoveTo(Sint32 x, Sint32 y) { gfx_x_coord = x; gfx_y_coord = y; } // Funkcja gfxLineTo() rysuje odcinek od zapamiętanych współrzędnych // do nowych współrzędnych, które po operacji są zapamiętywane. // screen - wskaźnik struktury SDL_Surface // x,y - współrzędne końca odcinka // color - kod koloru odcinka //------------------------------------------------------------------ void gfxLineTo(SDL_Surface * screen, Sint32 x, Sint32 y, Uint32 color) { gfxLine(screen, gfx_x_coord, gfx_y_coord, x, y, color); gfx_x_coord = x; gfx_y_coord = y; }UWAGA: Na końcu pliku nagłówkowego SDL_gfx.h dopisz:
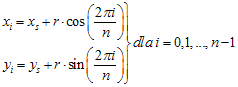
void gfxMoveTo(Sint32 x, Sint32 y); void gfxLineTo(SDL_Surface * screen, Sint32 x, Sint32 y, Uint32 color);Poniższy program wykorzystuje funkcje gfxMoveTo() i gfxLineTo() do narysowania okręgów - okręgi rysujemy jako wielokąty foremne o odpowiednio dużej liczbie boków, np. 100. Wyliczamy kolejne współrzędne wierzchołków wielokąta, które następnie łączymy odcinkami - powstaje koło. Wzory są następujące:
n - liczba wierzchołków
i - numer wierzchołka
xi, yi - współrzędne i-tego wierzchołka
xs, ys - współrzędne środka okręgu
r - promień okręguOkręgi powstałe tą metodą nie są najładniejsze - później poznamy lepsze algorytmy rysowania ładnych, gładkich okręgów, które zupełnie nie wymagają stosowania uciążliwych funkcji trygonometrycznych. Na razie zadowolimy się tym, co mamy.
// I Liceum Ogólnokształcące // w Tarnowie // Koło informatyczne // // P010 - rysowanie okręgów //------------------------- #include <windows.h> #include <SDL/SDL_gfx.h> #include <math.h> const int SCRX = 320; // stałe określające szerokość i wysokość const int SCRY = 240; // ekranu w pikselach int main(int argc, char *argv[]) { if(SDL_Init(SDL_INIT_VIDEO)) { MessageBox(0, SDL_GetError(), "Błąd inicjalizacji SDL", MB_OK); exit(-1); } atexit(SDL_Quit); SDL_Surface * screen; if(!(screen = SDL_SetVideoMode(SCRX, SCRY, 32, SDL_HWSURFACE))) { MessageBox(0, SDL_GetError(), "Błąd tworzenia bufora obrazowego", MB_OK); exit(-1); } if(SDL_MUSTLOCK(screen)) if(SDL_LockSurface(screen) < 0) { MessageBox(0, SDL_GetError(), "Błąd blokady bufora obrazowego", MB_OK); exit(-1); } const int N = 50; // liczba wierzchołków const int LO = 25; // liczba okręgów int xs = screen->w / 2; int ys = screen->h / 2; int rs = ys - 1; for(int k = 0; k < LO; k++) { int r = 1 + (rs * k) / (LO - 1); gfxMoveTo(xs + r, ys); for(int i = 1; i <= N; i++) gfxLineTo(screen, xs + r * cos(6.283185 * i / N), ys + r * sin(6.283185 * i / N), 0xffffff); } if(SDL_MUSTLOCK(screen)) SDL_UnlockSurface(screen); SDL_UpdateRect(screen, 0, 0, 0, 0); MessageBox(0, "Kliknij przycisk OK", "Koniec", MB_OK); return 0; }

Napisz programy tworzące następujące rysunki:
![]() |
![]() |
![]() |
![]() |
![]() |
![]() |
![]() | I Liceum Ogólnokształcące |
Pytania proszę przesyłać na adres email: i-lo@eduinf.waw.pl
W artykułach serwisu są używane cookies. Jeśli nie chcesz ich otrzymywać,
zablokuj je w swojej przeglądarce.
Informacje dodatkowe