![]() |
Autor artykułu: mgr Jerzy Wałaszek, wersja 1.0 |
©2008 mgr
Jerzy Wałaszek
|
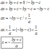
Mamy dane równanie:

a,b -
współczynniki, dowolne liczby rzeczywiste
x - poszukiwana niewiadoma
Rozwiązanie równania polega na znalezieniu takiej wartości niewiadomej x (zwanej również pierwiastkiem równania), aby przy danych współczynnikach zachodziła podana na początku równość. Dokonajmy prostych przekształceń algebraicznych:

Otrzymaliśmy wzór, który pozwala wyliczać wartość niewiadomej x przy danych współczynnikach a i b. Zwróć jednakże uwagę, iż w otrzymanym wzorze mamy dzielenie przez współczynnik a. Jeśli będzie on równy zero, to otrzymamy błąd, gdyż operacja dzielenia przez zero daje wynik nieokreślony. Dlatego algorytm obliczający wartość niewiadomej x wg tego wzoru powinien najpierw sprawdzić, czy współczynnik a jest różny od 0. Jeśli tak, algorytm powinien wyliczyć x. Jeśli nie, algorytm powinien zgłosić błąd obliczeniowy.
Jeśli współczynniki a i b są otrzymywane w drodze obliczeń, to mogą być obarczone błędami zaokrągleń. Dlatego zamiast sprawdzać, czy a = 0, lepiej sprawdzić, czy a jest w otoczeniu zera o promieniu ε:

Dane wejściowe:
| a,b | - współczynniki rzeczywiste |
| ε | - dokładność porównania z zerem |
Dane wyjściowe:
x - wartość niewiadomej, która spełnia równanie
lub napis "BRAK X", jeśli współczynnik a jest równy zero z
dokładnością do ε.
Lista kroków:
| K01: | Czytaj a,b,ε |
| K02: | Jeśli |a| ≤ ε, to idź do K06 |
| K03: | ![]() |
| K04: | Pisz x |
| K05: | Zakończ |
| K06: | Pisz "BRAK X" |
| K07: | Zakończ |
Schemat blokowy:

Program:
Ćwiczenie na lekcji
Dany jest układ dwóch równań liniowych:

a,b,c,d,e,f - współczynniki rzeczywiste
x,y - poszukiwane niewiadome
W tym przypadku rozwiązaniem układu równań są dwie takie liczby x i y, iż obie nierówności są jednocześnie spełnione. Istnieje kilka metod rozwiązywania układów równań liniowych (zainteresowanych odsyłam do artykułu o Algorytmach Wyszukiwania). Ponieważ nasz układ równań jest bardzo prosty, wyliczymy x i y metodami algebraicznych przekształceń:
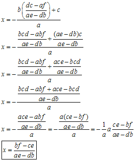
Z pierwszego równania wyprowadzamy wzór na x, który będzie zależny od wartości niewiadomej y:

Teraz w drugim równaniu w miejscu x wstawiamy otrzymany wzór na x i wyliczamy niewiadomą y:

W otrzymanym wzorze mamy dzielenie przez ae-db. Zatem różnica ta musi być różna od 0, aby istniało rozwiązanie układu równań. Jeśli teraz wstawimy do wzoru na x w miejsce y wyprowadzony wzór, to:

Zwróć uwagę, iż we wzorze na x również mamy dzielenie przez ae-db. Wynika z tego, iż układ równań będzie posiadał rozwiązanie, jeśli ta różnica jest różna od 0.
Dane wejściowe:
| a,b,c,d,e,f | - współczynniki rzeczywiste |
| ε | - dokładność porównania z zerem |
Dane wyjściowe:
x,y - wartości niewiadomych, która spełniają układ
równań
lub napis "BRAK X I Y", jeśli różnica ae-db jest równa zero z
dokładnością do ε.
Lista kroków:
| K01: | Czytaj a,b,c,d,e,f,ε |
| K02: | w ← ae - db |
| K03: | Jeśli |w| ≤ ε, to idź do K08 |
| K04: | ![]() |
| K05: | ![]() |
| K06: | Pisz x,y |
| K07: | Zakończ |
| K08: | Pisz "BRAK X i Y" |
| K09: | Zakończ |
Schemat blokowy:

Program:
Ćwiczenie na lekcji
Dane jest równanie kwadratowe:

a,b,c - współczynniki rzeczywiste
x - poszukiwana niewiadoma
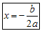
Jeśli współczynnik a jest równy 0 z dokładnością do ε , to równanie redukuje się do równania liniowego:

i, o ile współczynnik b jest różny od 0 z dokładnością do ε, rozwiązanie wyliczamy ze wzoru:

W przeciwnym razie wyliczamy tzw. wyróżnik Δ:

Teraz w zależności od wartości wyróżnika Δ mamy trzy przypadki (kolejność ich rozpatrywania jest bardzo ważna dla algorytmu!):
|Δ| ≤ ε - istnieje pierwiastek podwójny:

Δ < 0 - brak pierwiastków rzeczywistych (istnieją pierwiastki zespolone, ale liczby zespolone nie są nauczane w liceum). Zwróć uwagę, iż pierwszy przypadek eliminuje konieczność sprawdzania z otoczeniem zera.
Δ > 0 - dwa pierwiastki:

Dane wejściowe:
| a,b,c | - współczynniki rzeczywiste |
| ε | - dokładność porównania z zerem |
Dane wyjściowe:
x - jeśli równanie posiada jeden pierwiastek
(podwójny)
x1,x2 - jeśli równanie posiada dwa
pierwiastki rzeczywiste
lub napis "BRAK X", jeśli równanie nie ma rozwiązania
Lista kroków:
| K01: | Czytaj a,b,c,ε |
| K02: | Jeśli |a| ≤ ε, to idź do K13 |
| K03: | Δ ← b2 - 4ac |
| K04: | Jeśli |Δ| ≤ ε, to idź do K10 |
| K05: | Jeśli Δ < 0, to idź do K16 |
| K06: | ![]() |
| K07: | ![]() |
| K08: | Pisz x1,x2 |
| K09: | Zakończ |
| K10: | ![]() |
| K11: | Pisz x |
| K12: | Zakończ |
| K13 | Jeśli |b| ≤ ε, to idź do K16 |
| K14: | ![]() |
| K15: | Idź do K11 |
| K16: | Pisz "BRAK X" |
| K17: | Zakończ |
Schemat blokowy:
Ćwiczenie na lekcji
Program:
Ćwiczenie na lekcji
![]() | I Liceum Ogólnokształcące |
Pytania proszę przesyłać na adres email: i-lo@eduinf.waw.pl
W artykułach serwisu są używane cookies. Jeśli nie chcesz ich otrzymywać,
zablokuj je w swojej przeglądarce.
Informacje dodatkowe